Mescaline
![]() | |
![]() | |
| Clinical data | |
|---|---|
| Other names | Mescalin; Mezcalin; Mezcaline; 3,4,5-Trimethoxyphenethylamine; 3,4,5-TMPEA; TMPEA |
| AHFS/Drugs.com | mescaline |
| Routes of administration | Oral, smoking, insufflation, intravenous[1][2] |
| Drug class | Serotonin receptor agonist; Serotonergic psychedelic; Hallucinogen |
| ATC code |
|
| Legal status | |
| Legal status |
|
| Pharmacokinetic data | |
| Bioavailability | Unknown (but ≥53%)[4][5] |
| Protein binding | Unknown[5] |
| Metabolism | Oxidative deamination, N-acetylation, O-demethylation, conjugation, other pathways[6][7] |
| Metabolites | • 3,4,5-Trimethoxyphenyl-acetaldehyde[6][1] • 3,4,5-Trimethoxyphenylacetic acid[1] • 3,4,5-Trimethoxyphenylethanol[7] • Others[6][7][2] |
| Onset of action | Oral: 0.5–0.9 hours (range 0.1–2.7 hours)[8][9][1] |
| Elimination half-life | 3.6 hours (range 2.6–5.3 hours)[8][10][9][4] |
| Duration of action | 6.4–14 hours (range 3.0–22 hours)[8][1][9] |
| Excretion | Urine (≥92%; 28–60% unchanged, ≥27–31% as TMPAA, 5% as N-Ac-3,4-DiMeO-5-OH-PEA, <0.1% as NAM)[1][4][11][2][6][7][12] |
| Identifiers | |
IUPAC name
| |
| CAS Number | |
| PubChem CID | |
| DrugBank | |
| ChemSpider | |
| UNII | |
| KEGG | |
| ChEBI | |
| ChEMBL | |
| PDB ligand | |
| CompTox Dashboard (EPA) | |
| ECHA InfoCard | 100.000.174 |
| Chemical and physical data | |
| Formula | C11H17NO3 |
| Molar mass | 211.261 g·mol−1 |
| 3D model (JSmol) | |
| Density | 1.067 g/cm3 |
| Melting point | 35 to 36 °C (95 to 97 °F) |
| Boiling point | 180 °C (356 °F) at 12 mmHg |
| Solubility in water | moderately soluble in water mg/mL (20 °C) |
SMILES
| |
InChI
| |
| (verify) | |
Mescaline, also known as mescalin or mezcalin,[13] and in chemical terms 3,4,5-trimethoxyphenethylamine, is a naturally occurring psychedelic protoalkaloid of the substituted phenethylamine class, found in cacti like peyote (Lophophora williamsii) and San Pedro (certain species of the genus Echinopsis) and known for its serotonergic hallucinogenic effects.[6][1][8]
Mescaline is typically taken orally and used recreationally, spiritually, and medically, with psychedelic effects occurring at doses from 100 to 1,000 mg, including microdosing below 75 mg, and it can be consumed in pure form or via mescaline-containing cacti. Mescaline induces a psychedelic experience characterized by vivid visual patterns, altered perception of time and self, synesthesia, and spiritual effects, with an onset of 0.5 to 0.9 hours and a duration that increases with dose, ranging from about 6 to 14 hours. Mescaline has a high median lethal dose across species, with the human LD50 estimated at approximately 880 mg/kg, making it very difficult to consume a fatal amount. Ketanserin blocks mescaline’s psychoactive effects, and while it's unclear if mescaline is metabolized by monoamine oxidase enzymes, but preliminary evidence suggests harmala alkaloids may potentiate its effects.
Mescaline primarily acts as a partial agonist at serotonin 5-HT2A receptors, with varying affinity and efficacy across multiple serotonin, adrenergic, dopamine, histamine, muscarinic, and trace amine receptors, but shows low affinity for most non-serotonergic targets. It is a relatively hydrophilic psychedelic compound structurally related to catecholamines but acting on the serotonergic system, first synthesized in 1919, with numerous synthetic methods and potent analogues developed since. Mescaline occurs naturally in various cacti species, with concentrations varying widely, and is biosynthesized in plants from phenylalanine via catecholamine pathways likely linked to stress responses.
Mescaline-containing cacti use dates back over 6,000 years.[6] Peyote was studied scientifically in the 19th and 20th centuries, culminating in the isolation of mescaline as its primary psychoactive compound, legal recognition of its religious use, and ongoing exploration of its therapeutic potential. Mescaline is largely illegal worldwide, though exceptions exist for religious, scientific, or ornamental use, and it has influenced many notable cultural figures through its psychoactive effects. Very few studies concerning mescaline's activity and potential therapeutic effects in people have been conducted since the early 1970s.
Uses
Mescaline is used recreationally, spiritually (as an entheogen), and medically.[1] It is typically taken orally.[2]
Dosing
Mescaline is used as a psychedelic at doses of 100 to 1,000 mg orally.[8][14][15] Low doses are 100 to 200 mg, an intermediate or "good effect" dose is 500 mg, and a high or ego-dissolution dose is 1,000 mg.[8][14] Microdosing involves the use of subthreshold mescaline doses of less than 75 mg.[8][14]
In addition to pure form, mescaline is used in the form of mescaline-containing cacti such as peyote and San Pedro.
Effects
Mescaline induces a psychedelic state comparable to those produced by LSD and psilocybin, but with unique characteristics.[16] Subjective effects may include altered thinking processes, an altered sense of time and self-awareness, and closed- and open-eye visual phenomena.[17]
Prominence of color is distinctive, appearing brilliant and intense. Recurring visual patterns observed during the mescaline experience include stripes, checkerboards, angular spikes, multicolor dots, and very simple fractals that turn very complex. The English writer Aldous Huxley described these self-transforming amorphous shapes as like animated stained glass illuminated from light coming through the eyelids in his autobiographical book The Doors of Perception (1954). Like LSD, mescaline induces distortions of form and kaleidoscopic experiences but they manifest more clearly with eyes closed and under low lighting conditions.[18]
Heinrich Klüver coined the term "cobweb figure" in the 1920s to describe one of the four form constant geometric visual hallucinations experienced in the early stage of a mescaline trip: "Colored threads running together in a revolving center, the whole similar to a cobweb". The other three are the chessboard design, tunnel, and spiral. Klüver wrote that "many 'atypical' visions are upon close inspection nothing but variations of these form-constants."[19]
An unusual but unique characteristic of mescaline use is the "geometrization" of three-dimensional objects. The object can appear flattened and distorted, similar to the presentation of a Cubist painting.[20]
Mescaline elicits a pattern of sympathetic arousal, with the peripheral nervous system being a major target for this substance.[21]
According to a research project in the Netherlands, ceremonial San Pedro use seems to be characterized by relatively strong spiritual experiences, and low incidence of challenging experiences.[22]
Onset and duration
The onset of the effects of mescaline given orally is 0.5 to 0.9 hours on average with a range of 0.1 to 2.7 hours.[8][9][1][2] Its effects peak after 1.9 to 4.0 hours with a range of 0.5 to 8.0 hours.[8][23][10][9]
The duration of mescaline appears to be dose-dependent, varying from 6.4 hours on average (range 3.0–10 hours) at a dose of 100 mg, 9.7 to 11 hours on average (range 5.6–22 hours) at moderate doses of 300 to 500 mg, and 14 hours on average (range 7.2–22 hours) at a dose of 800 mg.[8][9]
Overdose
The LD50 of mescaline has been measured in various animals: 212–315 mg/kg i.p. (mice), 132–410 mg/kg i.p. (rats), 328 mg/kg i.p. (guinea pigs), 54 mg/kg in dogs, and 130 mg/kg i.v. in rhesus macaques.[2][24] For humans, the LD50 of mescaline has been reported to be approximately 880 mg/kg.[24] It has been said that it would be very difficult to consume enough mescaline to cause death in humans.[2]
Interactions
The serotonin 5-HT2A receptor antagonist ketanserin has been found to block the psychoactive effects of mescaline.[9][25]
It is unclear whether mescaline is metabolized by monoamine oxidase (MAO) enzymes[2][26] or whether monoamine oxidase inhibitors (MAOIs) might increase the effects of mescaline.[27] However, there are preliminary reports that harmala alkaloids, which are reversible inhibitors of monoamine oxidase A (RIMAs), may potentiate the effects of mescaline in humans, and the combination of mescaline or mescaline-containing cacti with harmala alkaloids has been referred to as "peyohuasca".[27][28] In accordance with these findings, the harmala alkaloid and RIMA harmine has been reported to augment the effects of mescaline in animals.[28][26]
Pharmacology
Pharmacodynamics
| Target | Affinity (Ki, nM) |
|---|---|
| 5-HT1A | 1,841–4,600 |
| 5-HT1B | >10,000 |
| 5-HT1D | >10,000 |
| 5-HT1E | 5,205 |
| 5-HT1F | ND |
| 5-HT2A | 550–17,400 (Ki) 88–30,200 (EC50) 33–107% (Emax) |
| 5-HT2B | 793–800 (Ki) 1,100–>20,000 (EC50) 91% (Emax) |
| 5-HT2C | 300–17,000 20–19,500 (EC50) 22–109% (Emax) |
| 5-HT3 | >10,000 |
| 5-HT4 | ND |
| 5-HT5A | >10,000 |
| 5-HT6 | >10,000 |
| 5-HT7 | >10,000 |
| α1A | >15,000 |
| α1B | >10,000 |
| α1D | ND |
| α2A | 1,400–8,930 |
| α2B | >10,000 |
| α2C | 745 |
| β1–β2 | >10,000 |
| D1 | >10,000 |
| D2 | >10,000 |
| D3 | >17,000 |
| D4 | >10,000 |
| D5 | >10,000 |
| H1–H4 | >10,000 |
| M1–M5 | >10,000 |
| TAAR1 | 3,300 (Ki) (rat) 11,000 (Ki) (mouse) 3,700–4,800 (EC50) (rodent) >10,000 (EC50) (human) |
| I1 | 2,678 |
| σ1–σ2 | >10,000 |
| SERT | >30,000 (Ki) 367,000 (IC50) |
| NET | >30,000 (Ki) >900,000 (IC50) |
| DAT | >30,000 (Ki) 841,000 (IC50) |
| Notes: The smaller the value, the more avidly the drug binds to the site. All proteins are human unless otherwise specified. Refs: [29][30][8][1] [31][32][33][34][35][36][37] | |
In humans, mescaline acts similarly to other psychedelic agents.[38] It acts as an agonist,[39] binding to and activating the serotonin 5-HT2A receptor.[40][9] Its EC50 at the serotonin 5-HT2A receptor is approximately 10,000 nM and at the serotonin 5-HT2B receptor is greater than 20,000 nM.[1] How activating the 5-HT2A receptor leads to psychedelic effects is still unknown, but it is likely that somehow it involves excitation of neurons in the prefrontal cortex.[41] In addition to the serotonin 5-HT2A and 5-HT2B receptors, mescaline is also known to bind to the serotonin 5-HT2C receptor and a number of other targets.[1][33][31][42]
Mescaline lacks affinity for the monoamine transporters, including the serotonin transporter (SERT), norepinephrine transporter (NET), and dopamine transporter (DAT) (Ki > 30,000 nM).[1] However, it has been found to increase levels of the major serotonin metabolite 5-hydroxyindoleacetic acid (5-HIAA) at high doses in rodents.[1][7][2][43] This finding suggests that mescaline might inhibit the reuptake and/or induce the release of serotonin at such doses.[1][7][44] In any case, this possibility has not yet been further assessed or demonstrated.[1] Besides serotonin, mescaline might also weakly induce the release of dopamine, but this is probably of modest significance, if it occurs.[7][2][45] In accordance, there is no evidence of the drug showing addiction or dependence.[2][7] Mescaline appears to be inactive in terms of norepinephrine release induction and indirect sympathomimetic activity.[46] Other psychedelic phenethylamines, including the closely related 2C, DOx, and TMA drugs, are inactive as monoamine releasing agents and reuptake inhibitors.[47][48] However, an exception is trimethoxyamphetamine (TMA), the amphetamine analogue of mescaline, which is a very low-potency serotonin releasing agent (EC50 = 16,000 nM).[47] The possible monoamine-releasing effects of mescaline would likely be related to its structural similarity to substituted amphetamines and related compounds.[2][7]
Mescaline is a relatively low-potency psychedelic, with active doses in the hundreds of milligrams and micromolar affinities for the serotonin 5-HT2A receptor.[6][1] For comparison, psilocybin is approximately 20-fold more potent (doses in the tens of milligrams) and lysergic acid diethylamide (LSD) is approximately 2,000-fold more potent (doses in the tens to hundreds of micrograms).[1] There have been efforts to develop more potent analogues of mescaline.[6] Difluoromescaline and trifluoromescaline are more potent than mescaline, as is its amphetamine homologue TMA.[49][50] Escaline and proscaline are also both more potent than mescaline, showing the importance of the 4-position substituent with regard to receptor binding.[51]
There is no evidence of acute tolerance with mescaline.[4] However, tolerance to mescaline builds with repeated use, lasting for a few days. The drug causes cross-tolerance with other serotonergic psychedelics such as LSD and psilocybin.[52]
The cryo-EM structures of the serotonin 5-HT2A receptor with mescaline, as well as with various other psychedelics and serotonin 5-HT2A receptor agonists, have been solved and published by Bryan L. Roth and colleagues.[53][54]
Pharmacokinetics
Absorption
Mescaline is usually taken orally, although it may also be insufflated, smoked, or given intravenously.[2] Taken orally, it is rapidly absorbed from the gastrointestinal tract.[2][11] The oral bioavailability of mescaline is unknown.[5] However, since at least 53% of orally administered mescaline is excreted in urine unchanged, the bioavailability appears to be at least 53%.[4] Peak concentrations of mescaline occur after approximately 1.6 to 2.3 hours on average (range 1.0–6.0 hours).[8][10][9] The pharmacokinetics of mescaline are dose-proportional over an oral dose range of 100 to 800 mg.[8][9]
Distribution
Mescaline is distributed to the liver, spleen, and kidneys at many times higher levels than blood or brain based on animal studies.[11][2][1] It is said that a great proportion of mescaline is combined with hepatic proteins, which is said to delay its onset and elimination half-life.[2][1] The exact portion bound to plasma proteins appears to be unknown.[5]
Mescaline appears to have relatively poor blood–brain barrier permeability due to its low lipophilicity.[7][2][4] However, it is still able to cross into the central nervous system and produce psychoactive effects at sufficiently high doses.[7][2][4] The poor central permeability of mescaline appears to be responsible for its delayed onset of effects and is also thought to contribute to its low potency.[4][55]
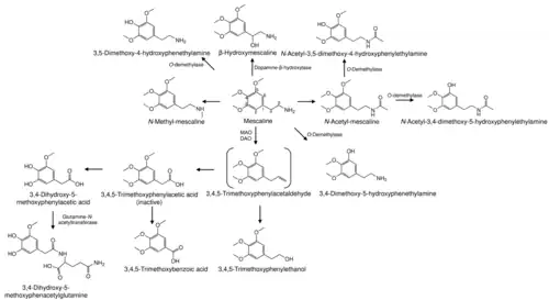
Metabolism

Mescaline given orally appears to be subject to first-pass metabolism of about 50%.[4] Following the first pass, mescaline appears to be subject to relatively limited metabolism.[4]
The primary metabolic pathway of mescaline is oxidative deamination.[2][6][1][26] The specific enzymes mediating the deamination of mescaline are controversial however.[2][26][56] Monoamine oxidase (MAO), diamine oxidase (DAO; histamine oxidase), and/or other enzymes may be responsible.[2][26][56] Preclinical studies of mescaline given in combination with inhibitors of MAO and/or DAO, such as iproniazid, pargyline, and semicarbazide, have been conducted, but findings have been conflicting.[2][26][11][57][56] Mescaline has been reported to be a poor or negligible substrate of highly purified human MAO in-vitro.[26][11][58]
Mescaline appears not to be subject to metabolism by CYP2D6 based on in-vitro studies with human liver microsomes.[59] Similarly, the in-vitro cytotoxicity of mescaline does not appear to be affected by cytochrome P450 (CYP450) enzyme inhibitors.[60] Conversely, it was potentiated by the MAO-A inhibitor clorgiline but not by the MAO-B inhibitor rasagiline.[60] These findings were in contrast to those with the related compound 2C-B, which was potentiated by rasagiline but not by clorgiline.[60]
Circulating peak and area-under-the-curve concentrations of mescaline and 3,4,5-trimethoxyphenylacetic acid (TMPAA) are similar with oral administration of mescaline.[9][4] Conversely, levels of N-acetylmescaline (NAM) are far lower than those of mescaline or TMPAA and are thought not to be of clinical relevance.[9][4] Intravenous injection of mescaline may result in less hepatic deamination than with oral administration.[1][4]
Active metabolites of mescaline might contribute to its psychoactive effects.[7][2][6] However, both TMPAA and NAM have been said to be inactive based on human tests.[12] Similarly, 3,4,5-trimethoxyphenylethanol (TMPE), 3,4,5-trimethoxyphenylacetaldehyde (TMPA), and NAM all failed to produce mescaline-like effects in rodent drug discrimination tests.[6][61][62]
3,4,5-Trimethoxyamphetamine (TMA), the α-methyl analogue of mescaline and an MAO-resistant psychedelic, is only about twice as potent as mescaline as a psychedelic in humans despite having similar serotonin receptor affinity.[61] This suggests that the deamination of mescaline has a relatively limited impact on its potency, compared to for example the 2C series of psychedelics.[61]
Elimination
Mescaline given orally is excreted 87% in urine within 24 hours and 92% in urine within 48 hours.[1][11][63][12] During the first hour after administration, 81.4% of mescaline is excreted unchanged while 13.2% is excreted as its deaminated metabolite 3,4,5-trimethoxyphenylacetic acid (TMPAA).[2][1][12] However, after the first hour, the percentage excreted as unchanged mescaline declines and the percentage excreted as TMPAA rises.[1][12] Ultimately, mescaline is excreted in urine 28 to 60% unchanged, 27 to 30% or more as TMPAA, 5% as N-acetyl-3,4-dimethoxy-5-hydroxyphenylethylamine, and less than 0.1% as N-acetylmescaline.[2][11][12] Other minor or trace excreted metabolites have also been observed.[2][12] In a more modern study published in 2025, mescaline was eliminated in urine 53% as unchanged mescaline and 31% as TMPAA.[4]
Mescaline was originally reported to have an elimination half-life of 6 hours based on a study conducted in the 1960s.[2][1][10][12] However, subsequent research published in the 2020s found that its half-life is actually about 3.6 hours (range 2.6–5.3 hours).[8][10][9][4] The previous higher estimate is believed to have been due to small sample numbers and collective measurement of mescaline metabolites.[10] The elimination half-life of mescaline does not appear to be dose-dependent.[8][10] TMPAA has a half-life of about 3.7 to 4.1 hours, similar to that of mescaline.[4] Mescaline has a similar half-life as LSD yet has a longer duration.[8] This is due to mescaline having slower absorption and onset rather than a longer half-life.[8][10]
Chemistry
Mescaline, also known as 3,4,5-trimethoxyphenethylamine (3,4,5-TMPEA), is a substituted phenethylamine derivative.[64][7] It is closely structurally related to the dopamine (3,4-dihydroxyphenethylamine), norepinephrine (3,4,β-trihydroxyphenethylamine), and epinephrine (3,4,β-trihydroxy-N-methylphenethylamine).[64] In contrast to the catecholamine neurotransmitters however, mescaline acts on the serotonergic system rather than on the dopaminergic or adrenergic systems.
The drug is relatively hydrophilic with low fat solubility.[7] Its predicted log P (XLogP3) is 0.7.[64]
The physical properties and general chemistry of mescaline have been reviewed.[11]
Synthesis


Mescaline was first synthesized in 1919 by Ernst Späth from 3,4,5-trimethoxybenzoyl chloride.[66] Several approaches using different starting materials have been developed since, including the following:
- Hofmann rearrangement of 3,4,5-trimethoxyphenylpropionamide.[67]
- Cyanohydrin reaction between potassium cyanide and 3,4,5-trimethoxybenzaldehyde followed by acetylation and reduction.[68][69]
- Henry reaction of 3,4,5-trimethoxybenzaldehyde with nitromethane followed by nitro compound reduction of ω-nitrotrimethoxystyrene.[70][71][72][73][74][75][76]
- Ozonolysis of elemicin followed by reductive amination.[77]
- Ester reduction of Eudesmic acid's methyl ester followed by halogenation, Kolbe nitrile synthesis, and nitrile reduction.[78][79][80]
- Amide reduction of 3,4,5-trimethoxyphenylacetamide.[81]
- Reduction of 3,4,5-trimethoxy(2-nitrovinyl)benzene with lithium aluminum hydride.[17]
- Treatment of tricarbonyl-(η6-1,2,3-trimethoxybenzene) chromium complex with acetonitrile carbanion in THF and iodine, followed by reduction of the nitrile with lithium aluminum hydride.[78]
Analogues
A large number of structural analogues of mescaline that act as psychedelics have been developed. These drugs often have far greater potency than mescaline itself. Examples include scalines like escaline, 3Cs like 3,4,5-trimethoxyamphetamine (TMA or TMA-1; α-methylmescaline), 2Cs like 2C-B, and DOx drugs like DOM, among others. Other notable analogues of mescaline include N-methylmescaline (found in Pachycereus pringlei), trichocereine (N,N-dimethylmescaline), mescaline-FLY, and NBOMe-mescaline, among others.
Natural occurrence
It occurs naturally in several species of cacti. It is also reported to be found in small amounts in certain members of the bean family, Fabaceae, including Senegalia berlandieri (syn. Acacia berlandieri),[82] although these reports have been challenged and have been unsupported in any additional analyses.[83]
| Plant source | Amount of mescaline (% of dry weight) |
|---|---|
| Echinopsis lageniformis (Bolivian torch cactus, syns. Echinopsis scopulicola, Trichocereus bridgesii)[84] | Average 0.56; 0.85 in one cultivar of Echinopsis scopulicola[84][85] |
| Leucostele terscheckii (syns Echinopsis terscheckii, Trichocereus terscheckii)[86] | 0.005 - 2.375[87][88] |
| Peyote cactus (Lophophora williamsii)[89] | 0.01-5.5[90] |
| Trichocereus macrogonus var. macrogonus (Peruvian torch, syns Echinopsis peruviana, Trichocereus peruvianus)[91] | 0.01-0.05;[87] 0.24-0.81[85] |
| Trichocereus macrogonus var. pachanoi (San Pedro cactus, syns Echinopsis pachanoi, Echinopsis santaensis, Trichocereus pachanoi)[92] | 0.23-4.7;[85] 0.32 under its synonym Echinopsis santaensis[85] |
| Trichocereus uyupampensis (syn. Echinopsis uyupampensis) | 0.05[85] |
| Trichocereus tacaquirensis (subsp. taquimbalensis syn. Trichocereus taquimbalensis) | 0.005-2.7[93] |

As shown in the accompanying table, the concentration of mescaline in different specimens can vary largely within a single species. Moreover, the concentration of mescaline within a single specimen varies as well.[94]
In plants, mescaline may be the end-product of a pathway utilizing catecholamines as a method of stress response, similar to how animals may release such compounds and others such as cortisol when stressed. The in vivo function of catecholamines in plants has not been investigated, but they may function as antioxidants, as developmental signals, and as integral cell wall components that resist degradation from pathogens. The deactivation of catecholamines via methylation produces alkaloids such as mescaline.[95]
Biosynthesis

Mescaline is biosynthesized from tyrosine, which, in turn, is derived from phenylalanine by the enzyme phenylalanine hydroxylase. In Lophophora williamsii (Peyote), dopamine converts into mescaline in a biosynthetic pathway involving m-O-methylation and aromatic hydroxylation.[96]
Tyrosine and phenylalanine serve as metabolic precursors towards the synthesis of mescaline. Tyrosine can either undergo a decarboxylation via tyrosine decarboxylase to generate tyramine and subsequently undergo an oxidation at carbon 3 by a monophenol hydroxylase or first be hydroxylated by tyrosine hydroxylase to form L-DOPA and decarboxylated by DOPA decarboxylase. These create dopamine, which then experiences methylation by a catechol-O-methyltransferase (COMT) by an S-adenosyl methionine (SAM)-dependent mechanism. The resulting intermediate is then oxidized again by a hydroxylase enzyme, likely monophenol hydroxylase again, at carbon 5, and methylated by COMT. The product, methylated at the two meta positions with respect to the alkyl substituent, experiences a final methylation at the 4 carbon by a guaiacol-O-methyltransferase, which also operates by a SAM-dependent mechanism. This final methylation step results in the production of mescaline.
Phenylalanine serves as a precursor by first being converted to L-tyrosine by L-amino acid hydroxylase. Once converted, it follows the same pathway as described above.[95][97]
History
Archaeological evidence from sites in the United States, Mexico, and Peru indicates that mescaline-containing cacti have been used for over 6,000 years.[6] Europeans recorded use of peyote in Native American religious ceremonies upon early contact with the Huichol people in Mexico.[98] Other mescaline-containing cacti such as the San Pedro have a long history of use in South America, from Peru to Ecuador.[99][100][101][102] While religious and ceremonial peyote use was widespread in the Aztec Empire and northern Mexico at the time of the Spanish conquest, religious persecution confined it to areas near the Pacific coast and up to southwest Texas. However, by 1880, peyote use began to spread north of South-Central America with "a new kind of peyote ceremony" inaugurated by the Kiowa and Comanche people. These religious practices, incorporated legally in the United States in 1920 as the Native American Church, have since spread as far as Saskatchewan, Canada.[103]
In traditional peyote preparations, the top of the cactus is cut off, leaving the large tap root along with a ring of green photosynthesizing area to grow new heads. These heads are then dried to make disc-shaped buttons. Buttons are chewed to produce the effects or soaked in water to drink. However, the taste of the cactus is bitter, so modern users will often grind it into a powder and pour it into capsules to avoid having to taste it. The typical dose is 200 to 400 mg of mescaline sulfate or 178 to 356 mg of mescaline hydrochloride.[104][105] The average 76 mm (3.0 in) peyote button contains about 25 mg mescaline.[106] Some analyses of traditional preparations of San Pedro cactus have found doses ranging from 34 mg to 159 mg of total alkaloids, a relatively low and barely psychoactive amount. It appears that patients who receive traditional treatments with San Pedro ingest sub-psychoactive doses and do not experience psychedelic effects.[107]
Botanical studies of peyote began in the 1840s and the drug was listed in the Mexican pharmacopeia.[7] The first use of mescal buttons was published by John Raleigh Briggs in 1887.[7] In 1887, the German pharmacologist Louis Lewin received his first sample of the peyote cactus, found numerous new alkaloids and later published the first methodical analysis of it.[108] Mescaline was first isolated and identified in 1897 by the German chemist Arthur Heffter.[7][2][109] He showed that mescaline was exclusively responsible for the psychoactive or hallucinogenic effects of peyote.[7] However, other components of peyote, such as hordenine, pellotine, and anhalinine, are also active.[7] Mescaline was first synthesized in 1919 by Ernst Späth.[2][66]
In 1955, English politician Christopher Mayhew took part in an experiment for BBC's Panorama, in which he ingested 400 mg of mescaline under the supervision of psychiatrist Humphry Osmond. Though the recording was deemed too controversial and ultimately omitted from the show, Mayhew praised the experience, calling it "the most interesting thing I ever did".[110]
Studies of the potential therapeutic effects of mescaline started in the 1950s.[7]
The mechanism of action of mescaline, activation of the serotonin 5-HT2A receptors, became known in the 1990s.[7]
Society and culture
Legal status
United States
In the United States, mescaline was made illegal in 1970 by the Comprehensive Drug Abuse Prevention and Control Act, categorized as a Schedule I hallucinogen.[111] The drug is prohibited internationally by the 1971 Convention on Psychotropic Substances.[112] Mescaline is legal only for certain religious groups (such as the Native American Church by the American Indian Religious Freedom Act of 1978) and in scientific and medical research. In 1990, the Supreme Court ruled that the state of Oregon could ban the use of mescaline in Native American religious ceremonies. The Religious Freedom Restoration Act (RFRA) in 1993 allowed the use of peyote in religious ceremony, but in 1997, the Supreme Court ruled that the RFRA is unconstitutional when applied against states.[113] Many states, including the state of Utah, have legalized peyote usage with "sincere religious intent", or within a religious organization, regardless of race.[114] Synthetic mescaline, but not mescaline derived from cacti, was officially decriminalized in the state of Colorado by ballot measure Proposition 122 in November 2022.[115]
While mescaline-containing cacti of the genus Echinopsis are technically controlled substances under the Controlled Substances Act, they are commonly sold publicly as ornamental plants.[116]
United Kingdom
In the United Kingdom, mescaline in purified powder form is a Class A drug. However, dried cactus can be bought and sold legally.[117]
Australia
Mescaline is considered a schedule 9 substance in Australia under the Poisons Standard (February 2020).[118] A schedule 9 substance is classified as "Substances with a high potential for causing harm at low exposure and which require special precautions during manufacture, handling or use. These poisons should be available only to specialised or authorised users who have the skills necessary to handle them safely. Special regulations restricting their availability, possession, storage or use may apply."[118]
Other countries
In Canada, France, The Netherlands and Germany, mescaline in raw form and dried mescaline-containing cacti are considered illegal drugs. However, anyone may grow and use peyote, or Lophophora williamsii, as well as Echinopsis pachanoi and Echinopsis peruviana without restriction, as it is specifically exempt from legislation.[89] In Canada, mescaline is classified as a schedule III drug under the Controlled Drugs and Substances Act, whereas peyote is exempt.[119]
In Russia mescaline, its derivatives and mescaline-containing plants are banned as narcotic drugs (Schedule I).[120]
Notable individuals
- Salvador Dalí experimented with mescaline believing it would enable him to use his subconscious to further his art potential.
- Antonin Artaud wrote 1947's The Peyote Dance, where he describes his peyote experiences in Mexico a decade earlier.[121]
- Jerry Garcia took peyote prior to forming The Grateful Dead but later switched to LSD and DMT since they were easier on the stomach.
- Allen Ginsberg took peyote. Part II of his poem "Howl" was inspired by a peyote vision that he had in San Francisco.[122]
- Ken Kesey took peyote prior to writing One Flew Over the Cuckoo's Nest.
- Jean-Paul Sartre took mescaline shortly before the publication of his first book, L'Imaginaire; he had a bad trip during which he imagined that he was menaced by sea creatures. For many years following this, he persistently thought that he was being followed by lobsters, and became a patient of Jacques Lacan in hopes of being rid of them. Lobsters and crabs figure in his novel Nausea.
- Havelock Ellis was the author of one of the first written reports to the public about an experience with mescaline (1898).[123][124][125]
- Stanisław Ignacy Witkiewicz, Polish writer, artist and philosopher, experimented with mescaline and described his experience in a 1932 book Nikotyna Alkohol Kokaina Peyotl Morfina Eter.[126]
- Aldous Huxley described his experience with mescaline in the essay "The Doors of Perception" (1954).
- Jim Carroll in The Basketball Diaries described using peyote that a friend smuggled from Mexico.
- Quanah Parker, appointed by the federal government as principal chief of the entire Comanche Nation, advocated the syncretic Native American Church alternative, and fought for the legal use of peyote in the movement's religious practices.
- Hunter S. Thompson wrote an extremely detailed account of his first use of mescaline in "First Visit with Mescalito", and it appeared in his book Songs of the Doomed, as well as featuring heavily in his novel Fear and Loathing in Las Vegas.
- Psychedelic research pioneer Alexander Shulgin said he was first inspired to explore psychedelic compounds by a mescaline experience.[127] In 1974, Shulgin synthesized 2C-B, a psychedelic phenylethylamine derivative, structurally similar to mescaline,[128] and one of Shulgin's self-rated most important phenethylamine compounds together with Mescaline, 2C-E, 2C-T-7, and 2C-T-2.[129]
- Bryan Wynter produced Mars Ascends after trying the substance for the first time.[130]
- George Carlin mentioned mescaline use during his youth while being interviewed in 2008.[131]
- Carlos Santana told about his mescaline use in a 1989 Rolling Stone interview.[132]
- Disney animator Ward Kimball described participating in a study of mescaline and peyote conducted by UCLA in the 1960s.[133]
- Michael Cera used real mescaline for the movie Crystal Fairy & the Magical Cactus, as expressed in an interview.[134]
- Philip K. Dick was inspired to write Flow My Tears, the Policeman Said after taking mescaline.[135]
- Arthur Kleps, a psychologist turned drug legalization advocate and writer whose Neo-American Church defended use of marijuana and hallucinogens such as LSD and peyote for spiritual enlightenment and exploration, bought, in 1960, by mail from Delta Chemical Company in New York 1 g of mescaline sulfate and took 500 mg. He experienced a psychedelic trip that caused profound changes in his life and outlook.
Research
Mescaline has a wide array of suggested medical usage, including treatment of depression, anxiety, PTSD,[136] and alcoholism.[137] However, its status as a Schedule I controlled substance in the Convention on Psychotropic Substances limits availability of the drug to researchers. Because of this, very few studies concerning mescaline's activity and potential therapeutic effects in people have been conducted since the early 1970s.[138][136][16]
See also
- List of psychedelic plants
- Mind at Large (concept in The Doors of Perception)
- The Psychedelic Experience: A Manual Based on the Tibetan Book of the Dead (1964)
- Der Meskalinrausch, seine Geschichte und Erscheinungsweise (1927)
References
- 1 2 3 4 5 6 7 8 9 10 11 12 13 14 15 16 17 18 19 20 21 22 23 24 25 26 Vamvakopoulou IA, Narine KA, Campbell I, Dyck JR, Nutt DJ (January 2023). "Mescaline: The forgotten psychedelic". Neuropharmacology. 222 109294. doi:10.1016/j.neuropharm.2022.109294. PMID 36252614.
- 1 2 3 4 5 6 7 8 9 10 11 12 13 14 15 16 17 18 19 20 21 22 23 24 25 26 27 28 29 30 Dinis-Oliveira RJ, Pereira CL, da Silva DD (2019). "Pharmacokinetic and Pharmacodynamic Aspects of Peyote and Mescaline: Clinical and Forensic Repercussions". Curr Mol Pharmacol. 12 (3): 184–194. doi:10.2174/1874467211666181010154139. PMC 6864602. PMID 30318013.
- ↑ Anvisa (24 July 2023). "RDC Nº 804 - Listas de Substâncias Entorpecentes, Psicotrópicas, Precursoras e Outras sob Controle Especial" [Collegiate Board Resolution No. 804 - Lists of Narcotic, Psychotropic, Precursor, and Other Substances under Special Control] (in Brazilian Portuguese). Diário Oficial da União (published 25 July 2023). Archived from the original on 27 August 2023. Retrieved 27 August 2023.
- 1 2 3 4 5 6 7 8 9 10 11 12 13 14 15 16 Mueller L, Klaiber A, Ley L, Becker AM, Thomann J, Luethi D, et al. (July 2025). "Pharmacokinetics, Pharmacodynamics, and Urinary Recovery of Oral Mescaline Hydrochloride in Healthy Participants". Clin Pharmacokinet. 64 (10): 1495–1506. doi:10.1007/s40262-025-01544-x. PMID 40658345.
The low affinity of mescaline for 5-HT2A receptors [3] and poor blood–brain barrier permeability [20] contribute to the comparatively high oral doses of 300–800 mg of mescaline hydrochloride (HCl) that are typically required to induce a full psychedelic experience in humans compared with psilocybin dihydrate (20–40 mg) and LSD base (100–200 µg) [5, 21]. [...] We found that acute subjective efects of mescaline were closely linked to the plasma mescaline concentrations but occurred with a delay as seen in the counterclockwise hysteresis. Accordingly, our modeling approach that used an efect compartment that was connected to the plasma mescaline concentration using a frst-order equilibrium rate constant (ke0) adequately described the observed acute efects. This finding is consistent with a delayed central distribution of mescaline.
- 1 2 3 4 "Mescaline: Uses, Interactions, Mechanism of Action". DrugBank Online. 3 July 2024. Retrieved 19 May 2025.
- 1 2 3 4 5 6 7 8 9 10 11 12 Cassels BK, Sáez-Briones P (October 2018). "Dark Classics in Chemical Neuroscience: Mescaline". ACS Chem Neurosci. 9 (10): 2448–2458. doi:10.1021/acschemneuro.8b00215. PMID 29847089.
- 1 2 3 4 5 6 7 8 9 10 11 12 13 14 15 16 17 18 19 20 21 Doesburg-van Kleffens M, Zimmermann-Klemd AM, Gründemann C (December 2023). "An Overview on the Hallucinogenic Peyote and Its Alkaloid Mescaline: The Importance of Context, Ceremony and Culture". Molecules. 28 (24): 7942. doi:10.3390/molecules28247942. PMC 10746114. PMID 38138432.
- 1 2 3 4 5 6 7 8 9 10 11 12 13 14 15 16 17 Holze F, Singh N, Liechti ME, D'Souza DC (May 2024). "Serotonergic Psychedelics: A Comparative Review of Efficacy, Safety, Pharmacokinetics, and Binding Profile". Biol Psychiatry Cogn Neurosci Neuroimaging. 9 (5): 472–489. doi:10.1016/j.bpsc.2024.01.007. PMID 38301886.
- 1 2 3 4 5 6 7 8 9 10 11 12 13 Klaiber A, Schmid Y, Becker AM, Straumann I, Erne L, Jelusic A, et al. (September 2024). "Acute dose-dependent effects of mescaline in a double-blind placebo-controlled study in healthy subjects". Translational Psychiatry. 14 (1) 395. doi:10.1038/s41398-024-03116-2. PMC 11442856. PMID 39349427.
- 1 2 3 4 5 6 7 8 Ley L, Holze F, Arikci D, Becker AM, Straumann I, Klaiber A, et al. (October 2023). "Comparative acute effects of mescaline, lysergic acid diethylamide, and psilocybin in a randomized, double-blind, placebo-controlled cross-over study in healthy participants". Neuropsychopharmacology. 48 (11): 1659–1667. doi:10.1038/s41386-023-01607-2. PMC 10517157. PMID 37231080.
- 1 2 3 4 5 6 7 8 Patel AR (1968). "Mescaline and Related Compounds". Fortschritte der Arzneimittelforschung / Progress in Drug Research / Progrès des recherches pharmaceutiques. Vol. 11. pp. 11–47. doi:10.1007/978-3-0348-7062-7_1. ISBN 978-3-0348-7064-1. PMID 4873202.
{{cite book}}:|journal=ignored (help) - 1 2 3 4 5 6 7 8 Charalampous KD, Walker KE, Kinross-Wright J (1966). "Metabolic fate of mescaline in man". Psychopharmacologia. 9 (1): 48–63. doi:10.1007/BF00427703. PMID 5989103.
- ↑ "Mescaline". PubChem. U.S. National Library of Medicine. Retrieved 22 October 2024.
- 1 2 3 Liechti ME, Holze F (2022). "Dosing Psychedelics and MDMA". Disruptive Psychopharmacology. Curr Top Behav Neurosci. Vol. 56. pp. 3–21. doi:10.1007/7854_2021_270. ISBN 978-3-031-12183-8. PMID 34734392.
- ↑ Luethi D, Liechti ME (October 2018). "Monoamine Transporter and Receptor Interaction Profiles in Vitro Predict Reported Human Doses of Novel Psychoactive Stimulants and Psychedelics". Int J Neuropsychopharmacol. 21 (10): 926–931. doi:10.1093/ijnp/pyy047. PMC 6165951. PMID 29850881.
- 1 2 Bender E (September 2022). "Finding medical value in mescaline". Nature. 609 (7929): S90 – S91. Bibcode:2022Natur.609S..90B. doi:10.1038/d41586-022-02873-8. PMID 36171368. S2CID 252548055.
- 1 2 Kovacic P, Somanathan R (1 January 2009). "Novel, unifying mechanism for mescaline in the central nervous system: electrochemistry, catechol redox metabolite, receptor, cell signaling and structure activity relationships". Oxidative Medicine and Cellular Longevity. 2 (4): 181–190. doi:10.4161/oxim.2.4.9380. PMC 2763256. PMID 20716904.
- ↑ Freye E, et al. (Joseph V. Levy) (2009). Pharmacology and Abuse of Cocaine, Amphetamines, Ecstasy and Related Designer Drugs: A Comprehensive Review on their Mode of Action, Treatment of Abuse and Intoxication. Springer Science & Business Media. p. 227. ISBN 978-90-481-2447-3.
- ↑ A Dictionary of Hallucations. Oradell, NJ.: Springer. 2010. p. 102.
- ↑ Giannini AJ, Slaby AE (1989). Drugs of Abuse. Oradell, NJ.: Medical Economics Books. pp. 207–239. ISBN 978-0-87489-499-8.
- ↑ Diaz J (1996). How Drugs Influence Behavior. Englewood Cliffs: Prentice Hall. ISBN 978-0-02-328764-0.
- ↑ Bohn A, Kiggen MH, Uthaug MV, van Oorsouw KI, Ramaekers JG, van Schie HT (5 December 2022). "Altered States of Consciousness During Ceremonial San Pedro Use". The International Journal for the Psychology of Religion. 33 (4): 309–331. doi:10.1080/10508619.2022.2139502. hdl:2066/285968. ISSN 1050-8619.
- ↑ Holze F, Liechti ME, Müller F (July 2024). "Pharmacological Properties of Psychedelics with a Special Focus on Potential Harms". Current Topics in Behavioral Neurosciences. Curr Top Behav Neurosci. doi:10.1007/7854_2024_510. PMID 39080236.
- 1 2 Buckingham J (2014). "Mescaline". Dictionary of Natural Products: 254–260.
- ↑ Klaiber A, Becker AM, Straumann I, Thomann J, Luethi D, Schmid Y, et al. (21 May 2024). "Supplementum 276: Abstracts of the 8th Annual Spring Congress of the Swiss Society of General Internal Medicine: P162. Acute subjective effects and pharmacokinetics of different doses of mescaline". Swiss Medical Weekly. 154 (5): 126S. doi:10.57187/s.3896. ISSN 1424-3997. PMID 38771022.
- 1 2 3 4 5 6 7 Kapadia GJ, Fayez MB (December 1970). "Peyote constituents: chemistry, biogenesis, and biological effects". J Pharm Sci. 59 (12): 1699–1727. Bibcode:1970JPhmS..59.1699K. doi:10.1002/jps.2600591202. PMID 5499699.
Some authors (398) postulated that mescaline oxidase is identical with diamine oxidase, while others (399-401) believe that the oxidative deamination of mescaline can be effected by monoamine oxidase or diamine oxidase or both. However, mescaline was found to be a poor substrate for highly purified human plasma monoamine oxidase (402) and for dopamine-β-oxidase (403). According to Seiler (404), who treated mescaline with mouse brain homogenates, the oxidation is not caused by diamine oxidase but by a monoamine oxidase leading to 3,4,5-trimethoxyphenylacetic acid (LXXIII). [...] rabbit liver preparations caused O-demethylation to VII and LX along with oxidation to LXXIII (407). The formation of this acid (LXXIII) was inhibited by iproniazid, semicarbazide, nicotinamide, and triphosphopyridine nucleotide. [...] Harmine was found to augment the effect of mescaline (260). [...] (260) H. Hoshikawa, Nippon Yakurigaku Zasshi, 58, 241, 261 (1962); through Chem. Abstr., 60, 7338(1964).
- 1 2 Ott J. "Pharmahuasca: On Phenethylamines and Potentiation" (PDF). MAPS Newsletter. 6 (3): 32–35.
[...] there is circumstantial evidence for traditional use of ayahuasca containing mescaline and/or other β-phenethylamines in Amazonian Peru. [...] preliminary human bioassays suggest that the β-carboline harmaline might in fact potentiate mescaline - low doses of 60 and 100 mg mescaline hydrochloride, corresponding to 51 and 86 mg base or 0.78 and 1.32 mg/kg respectively, were decidedly psychoactive. The combination of mescaline or mescaline-containing cacti with β-carbolines has been dubbed peyohuasca.(5,18)
- 1 2 Keeper Trout & friends (2013). Trout's Notes on The Cactus Alkaloids Nomenclature, Physical properties, Pharmacology & Occurrences (Sacred Cacti Fourth Edition, Part C: Cactus Chemistry: Section 1) (PDF). Mydriatic Productions/Better Days Publishing. pp. 118–119.
- ↑ "PDSP Database". UNC (in Zulu). Retrieved 5 November 2024.
- ↑ Liu T. "BindingDB BDBM50059891 1-amino-2-(3,4,5-trimethoxyphenyl)ethane::2-(3,4,5-trimethoxyphenyl)ethanamine::3,4,5-trimethoxybenzeneethanamine::3,4,5-trimethoxyphenethylamine::3,4,5-trimethoxyphenylethylamine::CHEMBL26687::Mescalin::Meskalin::TMPEA::US20240166618, Compound Mescaline::mescalina::mescaline::mezcalina". BindingDB. Retrieved 5 November 2024.
- 1 2 Ray TS (February 2010). "Psychedelics and the human receptorome". PLOS ONE. 5 (2) e9019. Bibcode:2010PLoSO...5.9019R. doi:10.1371/journal.pone.0009019. PMC 2814854. PMID 20126400.
- ↑ Rickli A, Luethi D, Reinisch J, Buchy D, Hoener MC, Liechti ME (December 2015). "Receptor interaction profiles of novel N-2-methoxybenzyl (NBOMe) derivatives of 2,5-dimethoxy-substituted phenethylamines (2C drugs)" (PDF). Neuropharmacology. 99: 546–553. doi:10.1016/j.neuropharm.2015.08.034. PMID 26318099.
- 1 2 Rickli A, Moning OD, Hoener MC, Liechti ME (August 2016). "Receptor interaction profiles of novel psychoactive tryptamines compared with classic hallucinogens" (PDF). European Neuropsychopharmacology. 26 (8): 1327–1337. doi:10.1016/j.euroneuro.2016.05.001. PMID 27216487. S2CID 6685927.
- ↑ Wallach J, Cao AB, Calkins MM, Heim AJ, Lanham JK, Bonniwell EM, et al. (December 2023). "Identification of 5-HT2A receptor signaling pathways associated with psychedelic potential". Nat Commun. 14 (1) 8221. Bibcode:2023NatCo..14.8221W. doi:10.1038/s41467-023-44016-1. PMC 10724237. PMID 38102107.
- ↑ Moya PR, Berg KA, Gutiérrez-Hernandez MA, Sáez-Briones P, Reyes-Parada M, Cassels BK, et al. (June 2007). "Functional selectivity of hallucinogenic phenethylamine and phenylisopropylamine derivatives at human 5-hydroxytryptamine (5-HT)2A and 5-HT2C receptors" (PDF). J Pharmacol Exp Ther. 321 (3): 1054–1061. doi:10.1124/jpet.106.117507. PMID 17337633.
- ↑ Gainetdinov RR, Hoener MC, Berry MD (July 2018). "Trace Amines and Their Receptors". Pharmacol Rev. 70 (3): 549–620. doi:10.1124/pr.117.015305. PMID 29941461.
- ↑ Simmler LD, Buchy D, Chaboz S, Hoener MC, Liechti ME (April 2016). "In Vitro Characterization of Psychoactive Substances at Rat, Mouse, and Human Trace Amine-Associated Receptor 1" (PDF). J Pharmacol Exp Ther. 357 (1): 134–144. doi:10.1124/jpet.115.229765. PMID 26791601. Archived from the original (PDF) on 9 May 2025.
- ↑ Nichols DE (February 2004). "Hallucinogens". Pharmacology & Therapeutics. 101 (2): 131–181. doi:10.1016/j.pharmthera.2003.11.002. PMID 14761703.
- ↑ Appel JB, Callahan PM (January 1989). "Involvement of 5-HT receptor subtypes in the discriminative stimulus properties of mescaline". European Journal of Pharmacology. 159 (1): 41–46. doi:10.1016/0014-2999(89)90041-1. PMID 2707301.
- ↑ Monte AP, Waldman SR, Marona-Lewicka D, Wainscott DB, Nelson DL, Sanders-Bush E, et al. (September 1997). "Dihydrobenzofuran analogues of hallucinogens. 4. Mescaline derivatives". Journal of Medicinal Chemistry. 40 (19): 2997–3008. CiteSeerX 10.1.1.690.9370. doi:10.1021/jm970219x. PMID 9301661.
- ↑ Béïque JC, Imad M, Mladenovic L, Gingrich JA, Andrade R (June 2007). "Mechanism of the 5-hydroxytryptamine 2A receptor-mediated facilitation of synaptic activity in prefrontal cortex". Proceedings of the National Academy of Sciences of the United States of America. 104 (23): 9870–9875. Bibcode:2007PNAS..104.9870B. doi:10.1073/pnas.0700436104. PMC 1887564. PMID 17535909.
- ↑ "Neuropharmacology of Hallucinogens". Erowid.org. 27 March 2009. Retrieved 7 September 2011.
- ↑ Freedman DX, Gottlieb R, Lovell RA (1970). "Psychotomimetic drugs and brain 5-hydroxytryptamine metabolism". Biochemical Pharmacology. 19. Elsevier BV: 1181–1188. doi:10.1016/0006-2952(70)90378-3. ISSN 0006-2952.
- ↑ Tilson HA, Sparber SB (June 1972). "Studies on the concurrent behavioral and neurochemical effects of psychoactive drugs using the push-pull cannula". J Pharmacol Exp Ther. 181 (3): 387–398. doi:10.1016/S0022-3565(25)29220-5. PMID 5033008.
- ↑ Trulson ME, Crisp T, Henderson LJ (December 1983). "Mescaline elicits behavioral effects in cats by an action at both serotonin and dopamine receptors". Eur J Pharmacol. 96 (1–2): 151–154. doi:10.1016/0014-2999(83)90544-7. PMID 6581976.
- ↑ Neumann J, Azatsian K, Höhm C, Hofmann B, Gergs U (February 2023). "Cardiac effects of ephedrine, norephedrine, mescaline, and 3,4-methylenedioxymethamphetamine (MDMA) in mouse and human atrial preparations". Naunyn Schmiedebergs Arch Pharmacol. 396 (2): 275–287. doi:10.1007/s00210-022-02315-2. PMC 9831963. PMID 36319858.
- 1 2 Nagai F, Nonaka R, Satoh Hisashi Kamimura K (March 2007). "The effects of non-medically used psychoactive drugs on monoamine neurotransmission in rat brain". European Journal of Pharmacology. 559 (2–3): 132–137. doi:10.1016/j.ejphar.2006.11.075. PMID 17223101.
- ↑ Eshleman AJ, Forster MJ, Wolfrum KM, Johnson RA, Janowsky A, Gatch MB (March 2014). "Behavioral and neurochemical pharmacology of six psychoactive substituted phenethylamines: mouse locomotion, rat drug discrimination and in vitro receptor and transporter binding and function". Psychopharmacology (Berl). 231 (5): 875–888. doi:10.1007/s00213-013-3303-6. PMC 3945162. PMID 24142203.
- ↑ Trachsel D (2012). "Fluorine in psychedelic phenethylamines". Drug Testing and Analysis. 4 (7–8): 577–590. doi:10.1002/dta.413. PMID 22374819. Archived from the original on 3 June 2013.
- ↑ Shulgin A. "#157 TMA - 3,4,5-TRIMETHOXYAMPHETAMINE". PiHKAL: A Chemical Love Story. Erowid.org. Retrieved 9 January 2013.
- ↑ Nichols DE (February 1986). "Studies of the relationship between molecular structure and hallucinogenic activity". Pharmacology, Biochemistry, and Behavior. 24 (2): 335–340. doi:10.1016/0091-3057(86)90362-x. PMID 3952123. S2CID 30796368.
- ↑ Smith MV. "Psychedelics and Society". Erowid.org. Retrieved 6 April 2012.
- ↑ Gumpper RH, Jain MK, Kim K, Sun R, Sun N, Xu Z, et al. (March 2025). "The structural diversity of psychedelic drug actions revealed". Nature Communications. 16 (1) 2734. Bibcode:2025NatCo..16.2734G. doi:10.1038/s41467-025-57956-7. PMC 11923220. PMID 40108183.
- ↑ Gumpper RH, DiBerto J, Jain M, Kim K, Fay J, Roth BL (September 2022). Structures of Hallucinogenic and Non-Hallucinogenic Analogues of the 5-HT2A Receptor Reveals Molecular Insights into Signaling Bias (PDF). University of North Carolina at Chapel Hill Department of Pharmacology Research Retreat September 16th, 2022 – William and Ida Friday Center.
- ↑ Pálenícek T, Balíková M, Bubeníková-Valesová V, Horácek J (January 2008). "Mescaline effects on rat behavior and its time profile in serum and brain tissue after a single subcutaneous dose". Psychopharmacology (Berl). 196 (1): 51–62. doi:10.1007/s00213-007-0926-5. PMID 17922234.
- 1 2 3 Smythies JR, Johnston VS, Bradley RJ (October 1967). "Alteration by pretreatment with iproniazid and an inactive mescaline analogue of a behaviour change induced by mescaline". Nature. 216 (5111): 196–197. Bibcode:1967Natur.216..196S. doi:10.1038/216196a0. PMID 6057240.
- ↑ Musacchio JM, Goldstein M (June 1967). "The metabolism of mescaline-14-C in rats". Biochem Pharmacol. 16 (6): 963–970. doi:10.1016/0006-2952(67)90268-7. PMID 6040403.
- ↑ McEwen CM (May 1965). "Human plasma monoamine oxidase. 1. Purification and identification". J Biol Chem. 240 (5): 2003–2010. doi:10.1016/S0021-9258(18)97417-X. PMID 5888801.
- ↑ Wu D, Otton SV, Inaba T, Kalow W, Sellers EM (June 1997). "Interactions of amphetamine analogs with human liver CYP2D6". Biochemical Pharmacology. 53 (11): 1605–1612. doi:10.1016/S0006-2952(97)00014-2. PMID 9264312.
- 1 2 3 Martins D, Gil-Martins E, Cagide F, da Fonseca C, Benfeito S, Fernandes C, et al. (August 2023). "Unraveling the In Vitro Toxicity Profile of Psychedelic 2C Phenethylamines and Their N-Benzylphenethylamine (NBOMe) Analogues". Pharmaceuticals (Basel). 16 (8): 1158. doi:10.3390/ph16081158. PMC 10458253. PMID 37631071.
- 1 2 3 Nichols DE (August 1981). "Structure-activity relationships of phenethylamine hallucinogens". J Pharm Sci. 70 (8): 839–849. Bibcode:1981JPhmS..70..839N. doi:10.1002/jps.2600700802. PMID 7031221.
- ↑ Browne RG, Ho BT (1975). "Discriminative stimulus properties of mescaline: mescaline or metabolite?". Pharmacol Biochem Behav. 3 (1): 109–114. doi:10.1016/0091-3057(75)90088-x. PMID 1129346.
- ↑ Leth-Petersen S, Bundgaard C, Hansen M, Carnerup MA, Kehler J, Kristensen JL (October 2014). "Correlating the metabolic stability of psychedelic 5-HT₂A agonists with anecdotal reports of human oral bioavailability". Neurochem Res. 39 (10): 2018–2023. doi:10.1007/s11064-014-1253-y. PMID 24519542.
Mescaline (11a in Fig. 4) is known to be metabolized very slowly in humans, with more than 87 % of the ingested dose being excreted [...] with the urine within 24 h [36].
- 1 2 3 "Mescaline". PubChem. Retrieved 6 November 2024.
- ↑ "Mescaline : D M Turner". www.mescaline.com.
- 1 2 Späth E (February 1919). "Über dieAnhalonium-Alkaloide I. Anhalin und Mezcalin". Monatshefte für Chemie und Verwandte Teile Anderer Wissenschaften (in German). 40 (2): 129–154. doi:10.1007/BF01524590. ISSN 0343-7329. S2CID 104408477.
- ↑ Slotta KH, Heller H (1930). "Über β-Phenyl-äthylamine, I. Mitteil.: Mezcalin und mezcalin-ähnliche Substanzen". Berichte der Deutschen Chemischen Gesellschaft (A and B Series). 63 (11): 3029–3044. doi:10.1002/cber.19300631117.
- ↑ Amos D (1964). "Preparation of Mescaline from Eucalypt Lignin". Australian Journal of Pharmacy. 49: 529.
- ↑ Kindler K, Peschke W (1932). "Über neue und über verbesserte Wege zum Aufbau von pharmakologisch wichtigen Aminen VI. Über Synthesen des Meskalins". Archiv der Pharmazie. 270 (7): 410–413. doi:10.1002/ardp.19322700709. S2CID 93188741.
- ↑ Benington F, Morin R (1951). "An Improved Synthesis of Mescaline". Journal of the American Chemical Society. 73 (3): 1353. Bibcode:1951JAChS..73Q1353B. doi:10.1021/ja01147a505.
- ↑ Shulgin A, Shulgin A (1991). PiHKAL: A Chemical Love Story. Lafayette, CA: Transform Press. p. 703. ISBN 9780963009609.
- ↑ Hahn G, Rumpf F (1938). "Über β-[Oxy-phenyl]-äthylamine und ihre Umwandlungen, V. Mitteil.: Kondensation von Oxyphenyl-äthylaminen mit α-Ketonsäuren". Berichte der Deutschen Chemischen Gesellschaft (A and B Series). 71 (10): 2141–2153. doi:10.1002/cber.19380711022.
- ↑ Toshitaka O, Hiroaka A (1992). "Synthesis of Phenethylamine Derivatives as Hallucinogen" (PDF). Japanese Journal of Toxicology and Environmental Health. 38 (6): 571–580. doi:10.1248/jhs1956.38.571. Archived (PDF) from the original on 9 October 2022. Retrieved 20 June 2014.
- ↑ Ramirez F, Erne M (1950). "Über die Reduktion von β-Nitrostyrolen mit Lithiumaluminiumhydrid". Helvetica Chimica Acta. 33 (4): 912–916. Bibcode:1950HChAc..33..912E. doi:10.1002/hlca.19500330420.
- ↑ Szyszka G, Slotta KH (1933). "Über β-Phenyl-äthylamine.III. Mitteilung: Neue Darstellung von Mescalin". Journal für Praktische Chemie. 137 (9–12): 339–350. doi:10.1002/prac.19331370907.
- ↑ Burger A, Ramirez FA (1950). "The Reduction of Phenolic β-Nitrostyrenes by Lithium Aluminum Hydride". Journal of the American Chemical Society. 72 (6): 2781–2782. Bibcode:1950JAChS..72.2781R. doi:10.1021/ja01162a521.
- ↑ Hahn G, Wassmuth H (1934). "Über β-[Oxyphenyl]-äthylamine und ihre Umwandlungen, I. Mitteil.: Synthese des Mezcalins". Berichte der Deutschen Chemischen Gesellschaft (A and B Series). 67 (4): 696–708. doi:10.1002/cber.19340670430.
- 1 2 Makepeace T (1951). "A New Synthesis of Mescaline". Journal of the American Chemical Society. 71 (11): 5495–5496. Bibcode:1951JAChS..73.5495T. doi:10.1021/ja01155a562.
- ↑ Dornow A, Petsch G (1952). "Über die Darstellung des Oxymezcalins und Mezcalins 2. Mitteilung". Archiv der Pharmazie. 285 (7): 323–326. doi:10.1002/ardp.19522850704. S2CID 97553172.
- ↑ Ikan R (1991). Natural Products: A Laboratory Guide 2nd Ed. San Diego: Academic Press, Inc. pp. 232–235. ISBN 978-0123705518.
- ↑ Banholzer K, Campbell TW, Schmid H (1952). "Notiz über eine neue Synthese von Mezcalin, N-Methyl- und N-Dimethylmezcalin". Helvetica Chimica Acta. 35 (5): 1577–1581. doi:10.1002/hlca.19520350519.
- ↑ Forbes TD, Clement BA. "Chemistry of Acacia's from South Texas" (PDF). Texas A&M Agricultural Research & Extension Center at Uvalde. Archived from the original (PDF) on 15 May 2011.
- ↑ "Acacia species with data conflicts". sacredcacti.com. 16 January 2015. Retrieved 13 March 2021.
- 1 2 Bury B (2 August 2021). "Could Synthetic Mescaline Protect Declining Peyote Populations?". Chacruna. Retrieved 2 November 2021.
- 1 2 3 4 5 Ogunbodede O, McCombs D, Trout K, Daley P, Terry M (September 2010). "New mescaline concentrations from 14 taxa/cultivars of Echinopsis spp. (Cactaceae) ("San Pedro") and their relevance to shamanic practice". Journal of Ethnopharmacology. 131 (2). Elsevier BV: 356–362. doi:10.1016/j.jep.2010.07.021. PMID 20637277.
- ↑ "Cardon Grande (Echinopsis terscheckii)". Desert-tropicals.com. Archived from the original on 5 April 2015. Retrieved 14 January 2015.
- 1 2 "Partial List of Alkaloids in Trichocereus Cacti". Thennok.org. Archived from the original on 11 February 2009. Retrieved 22 December 2017.
- ↑ "Forbidden Fruit Archives". Archived from the original on 28 November 2005.
- 1 2 Drug Identification Bible. Grand Junction, CO: Amera-Chem, Inc. 2007. ISBN 978-0-9635626-9-2.
- ↑ Klein MT, Kalam M, Trout K, Fowler N, Terry M (2015). "Mescaline Concentrations in Three Principal Tissues of Lophophora williamsii (Cactaceae): Implications for Sustainable Harvesting Practices". Haseltonia. 131 (2). Elsevier BV: 34–42. Bibcode:2015Hasel..20...34K. doi:10.2985/026.020.0107. S2CID 32474292.
- ↑ Ogunbodede O, McCombs D, Trout K, Daley P, Terry M (September 2010). "New mescaline concentrations from 14 taxa/cultivars of Echinopsis spp. (Cactaceae) ("San Pedro") and their relevance to shamanic practice". Journal of Ethnopharmacology. 131 (2): 356–362. doi:10.1016/j.jep.2010.07.021. PMID 20637277.
- ↑ Crosby DM, McLaughlin JL (December 1973). "Cactus alkaloids. XIX. Crystallization of mescaline HCl and 3-methoxytyramine HCl from Trichocereus pachanoi" (PDF). Lloydia. 36 (4): 416–418. PMID 4773270. Retrieved 13 December 2013.
- ↑ "Mescaline in Trichocereus". The Mescaline Garden. Archived from the original on 8 August 2024. Retrieved 9 August 2024.
- ↑ Van Der Sypt F (3 April 2022). "Validation and exploratory application of a simple, rapid and economical procedure (MESQ) for the quantification of mescaline in fresh cactus tissue and aqueous cactus extracts". PhytoChem & BioSub Journal. doi:10.5281/zenodo.6409376.
- 1 2 Kulma A, Szopa J (March 2007). "Catecholamies are active compounds in plants". Plant Science. 172 (3): 433–440. Bibcode:2007PlnSc.172..433K. doi:10.1016/j.plantsci.2006.10.013.
- ↑ Dewick PM (2009). Medicinal Natural Products: A Biosynthetic Approach. United Kingdom: John Wiley & Sons. pp. 335–336. ISBN 978-0-471-49641-0.
- ↑ Rosengarten H, Friedhoff AJ (1976). "A review of recent studies of the biosynthesis and excretion of hallucinogens formed by methylation of neurotransmitters or related substances". Schizophrenia Bulletin. 2 (1): 90–105. doi:10.1093/schbul/2.1.90. PMID 779022.
- ↑ Ruiz de Alarcón H (1984). Treatise on the Heathen Superstitions that Today Live Among the Indians Native to this New Spain, 1629. University of Oklahoma Press. ISBN 978-0806120317.
- ↑ Socha DM, Sykutera M, Orefici G (1 December 2022). "Use of psychoactive and stimulant plants on the south coast of Peru from the Early Intermediate to Late Intermediate Period". Journal of Archaeological Science. 148 105688. Bibcode:2022JArSc.148j5688S. doi:10.1016/j.jas.2022.105688. ISSN 0305-4403. S2CID 252954052.
- ↑ Bussmann RW, Sharon D (November 2006). "Traditional medicinal plant use in Northern Peru: tracking two thousand years of healing culture". Journal of Ethnobiology and Ethnomedicine. 2 47. doi:10.1186/1746-4269-2-47. PMC 1637095. PMID 17090303.
- ↑ Armijos C, Cota I, González S (February 2014). "Traditional medicine applied by the Saraguro yachakkuna: a preliminary approach to the use of sacred and psychoactive plant species in the southern region of Ecuador". Journal of Ethnobiology and Ethnomedicine. 10 26. doi:10.1186/1746-4269-10-26. PMC 3975971. PMID 24565054.
- ↑ Samorini G (1 June 2019). "The oldest archeological data evidencing the relationship of Homo sapiens with psychoactive plants: A worldwide overview". Journal of Psychedelic Studies. 3 (2): 63–80. doi:10.1556/2054.2019.008. S2CID 135116632.
- ↑ El-Seedi HR, De Smet PA, Beck O, Possnert G, Bruhn JG (October 2005). "Prehistoric peyote use: alkaloid analysis and radiocarbon dating of archaeological specimens of Lophophora from Texas". Journal of Ethnopharmacology. 101 (1–3): 238–242. doi:10.1016/j.jep.2005.04.022. PMID 15990261.
- ↑ "#96 M – Mescaline (3,4,5-Trimethoxyphenethylamine)". PIHKAL. Erowid.org. Retrieved 7 September 2011.
- ↑ Uthaug MV, Davis AK, Haas TF, Davis D, Dolan SB, Lancelotta R, et al. (March 2022). "The epidemiology of mescaline use: Pattern of use, motivations for consumption, and perceived consequences, benefits, and acute and enduring subjective effects". Journal of Psychopharmacology. 36 (3): 309–320. doi:10.1177/02698811211013583. PMC 8902264. PMID 33949246.
- ↑ Giannini AJ, Slaby AE, Giannini MC (1982). Handbook of Overdose and Detoxification Emergencies. New Hyde Park, NY.: Medical Examination Publishing Company. ISBN 978-0-87488-182-0.
- ↑ "San Pedro: Basic Info". ICEERS. 20 September 2019. Retrieved 6 June 2024.
- ↑ "Botany of Peyote". www.druglibrary.org. Retrieved 3 March 2025.
- ↑ "Arthur Heffter". Character Vaults. Erowid.org. Retrieved 9 January 2013.
- ↑ "Panorama: The Mescaline Experiment". February 2005. Archived from the original on 26 July 2012.
- ↑ United States Department of Justice. "Drug Scheduling". Archived from the original on 20 October 2008. Retrieved 2 November 2007.
- ↑ "List of psychotropic substances under international control" (PDF). International Narcotics Control Board. Archived from the original (PDF) on 5 December 2005. Retrieved 27 January 2008.
- ↑ "City of Boerne v. Flores". Federal Judicial Center. Retrieved 18 March 2025.
- ↑ "State v. Mooney". utcourts.gov. Retrieved 5 October 2012.
- ↑ "Colorado Proposition 122, Decriminalization and Regulated Access Program for Certain Psychedelic Plants and Fungi Initiative (2022)".
- ↑ Gupta RC (2018). Veterinary Toxicology: Basic and Clinical Principles (Third ed.). Academic Press. pp. 363–390. ISBN 9780123704672.
- ↑ "2007 U.K. Trichocereus Cacti Legal Case Regina v. Saul Sette". Erowid.org. June 2007. Retrieved 6 April 2012.
- 1 2 Poisons Standard February 2020. comlaw.gov.au
- ↑ "Justice Laws Search". laws-lois.justice.gc.ca. Retrieved 5 October 2012.
- ↑ "Постановление Правительства РФ от 30.06.1998 N 681 "Об утверждении перечня наркотических средств, психотропных веществ и их прекурсоров, подлежащих контролю в Российской Федерации" (с изменениями и дополнениями) - ГАРАНТ". base.garant.ru.
- ↑ Doyle P (20 May 2019). "Patti Smith Channels French Poet Antonin Artaud on Peyote". Rolling Stone. Retrieved 3 April 2022.
- ↑ "The Father of Flower Power". The New Yorker. 10 August 1968. Retrieved 3 April 2022.
- ↑ Ellis H (1898). "Mescal: A New Artificial Paradise". The Contemporary Review. Vol. LXXIII.
- ↑ Rudgley R (1993). "VI". The Alchemy of Culture: Intoxicants in Society. British Museum Press. ISBN 978-0-7141-1736-2.
- ↑ Giannini AJ (1997). Drugs of Abuse (Second ed.). Los Angeles: Practice Management Information Corp. ISBN 978-1-57066-053-5.
- ↑ Witkiewicz SI, Biczysko S (1932). Nikotyna, alkohol, kokaina, peyotl, morfina, eter+ appendix. Warsaw: Drukarnia Towarzystwa Polskiej Macierzy Szkolnej.
- ↑ "Alexander Shulgin: why I discover psychedelic substances". Luc Sala interview. Mexico. 1996. Archived from the original on 11 December 2021.
- ↑ Papaseit E, Farré M, Pérez-Mañá C, Torrens M, Ventura M, Pujadas M, et al. (2018). "Acute Pharmacological Effects of 2C-B in Humans: An Observational Study". Frontiers in Pharmacology. 9 206. doi:10.3389/fphar.2018.00206. PMC 5859368. PMID 29593537.
- ↑ "Mescaline". Psychedelic Science Review. 2 December 2019. Retrieved 30 October 2023.
- ↑ Bird M (2012). 100 Ideas that Changed Art. London: Laurence King Publishing.
- ↑ Dixit J (23 June 2008). "George Carlin's Last Interview". Psychology Today.
- ↑ Greene A (1989). "Dazed and Confused: 10 Classic Drugged-Out Shows". Rolling Stone.
Santana at Woodstock, 1969 - Mescaline
- ↑ "Ward Kimball's Final Farewell". cartoonician.com. 4 March 2016. Archived from the original on 6 March 2016. Retrieved 4 March 2016.
- ↑ Boardman M (10 July 2013). "Michael Cera Took Drugs On-Camera". Huffington Post.
- ↑ "FLOW MY TEARS". www.philipkdickfans.com. Retrieved 4 May 2018.
- 1 2 Agin-Liebes G, Haas TF, Lancelotta R, Uthaug MV, Ramaekers JG, Davis AK (April 2021). "Naturalistic Use of Mescaline Is Associated with Self-Reported Psychiatric Improvements and Enduring Positive Life Changes". ACS Pharmacology & Translational Science. 4 (2): 543–552. doi:10.1021/acsptsci.1c00018. PMC 8033766. PMID 33860184.
- ↑ "Could LSD treat alcoholism?". ABC News. 9 March 2012. Retrieved 5 October 2012.
- ↑ Carpenter DE (8 July 2021). "Mescaline is Resurgent (Yet Again) As a Potential Medicine". Lucid News. Retrieved 28 February 2022.
Further reading
- Jay M (2019). Mescaline: A Global History of the First Psychedelic. Yale University Press.
- Klüver H (1942). "Mechanisms of hallucinations." (PDF). In McNemar Q, Merrill MA (eds.). Studies in personality. McGraw-Hill. pp. 175–207.
- Pollan M (2021). This Is Your Mind on Plants. Penguin Press. ISBN 9780593296905.
External links
- Film of Christopher Mayhew's mescaline experiment on YouTube
- Mescaline: The Chemistry and Pharmacology of its Analogs, an essay by Alexander Shulgin
- Mescaline on the Mexican Border

