Mesoridazine

Mesoridazine
Clinical data
Trade namesSerentil
AHFS/Drugs.comMicromedex Detailed Consumer Information
MedlinePlusa682306
Routes of
administration
Oral, intravenous
Drug classTypical antipsychotic
ATC code
Legal status
Legal status
  • BR: Class C1 (Other controlled substances)[1]
  • In general: ℞ (Prescription only)
Pharmacokinetic data
Protein binding4%
MetabolismHepatic/renal
Elimination half-life24 to 48 hours
ExcretionBiliary and renal
Identifiers
IUPAC name
  • 10-[2-(1-methylpiperidin-2-yl)ethyl]-2-methylsulfinylphenothiazine
CAS Number
PubChem CID
IUPHAR/BPS
DrugBank
ChemSpider
UNII
KEGG
ChEBI
ChEMBL
CompTox Dashboard (EPA)
Chemical and physical data
FormulaC21H26N2OS2
Molar mass386.57 g·mol−1
3D model (JSmol)
Melting point130 °C (266 °F)
Solubility in waterinsoluble mg/mL (20 °C)
SMILES
  • O=S(c2cc1N(c3c(Sc1cc2)cccc3)CCC4N(C)CCCC4)C
InChI
  • InChI=1S/C21H26N2OS2/c1-22-13-6-5-7-16(22)12-14-23-18-8-3-4-9-20(18)25-21-11-10-17(26(2)24)15-19(21)23/h3-4,8-11,15-16H,5-7,12-14H2,1-2H3 checkY
  • Key:SLVMESMUVMCQIY-UHFFFAOYSA-N checkY
  (verify)

Mesoridazine (Serentil) is a phenothiazine class drug that is used in the treatment of schizophrenia.[2] It is one of the active metabolites of thioridazine. The drug's name is derived from the methylsulfoxy and piperidine functional groups in its chemical structure.

It has central antiadrenergic, antidopaminergic, antiserotonergic and weak muscarinic anticholinergic effects.

Serious side effects include akathisia, tardive dyskinesia and the potentially fatal neuroleptic malignant syndrome.

Mesoridazine was withdrawn from the United States market in 2004 due to dangerous side effects, namely irregular heart beat and QT-prolongation of the electrocardiogram.[3]

Mesoridazine is on the FDA's Discontinued Drug Product List.[4]

Synthesis

Thieme Synthesis:[5][6] Patent:[7]

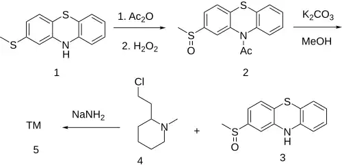
2-Methylthiophenothiazine [7643-08-5] (1) is treated with acetic anhydride] to give the protected amide, ie 10-acetyl-2-methylthiophenothiazine, CID:69367526. Oxidation of this by means of hydrogen peroxide and removal of the acetyl protecting group with potassium carbonate in methanol solution gives 2-methylsulfonylphenothiazine [23503-68-6] (3). Introduction of the sidechain by alkylation with 2-(2-chlorethyl)-1-methylpiperidine [50846-01-0] (6) in the presence of sodamide, afforded the desired mesoridazine (5).

References

  1. Anvisa (2023-03-31). "RDC Nº 784 - Listas de Substâncias Entorpecentes, Psicotrópicas, Precursoras e Outras sob Controle Especial" [Collegiate Board Resolution No. 784 - Lists of Narcotic, Psychotropic, Precursor, and Other Substances under Special Control] (in Brazilian Portuguese). Diário Oficial da União (published 2023-04-04). Archived from the original on 2023-08-03. Retrieved 2023-08-16.
  2. Gershon S, Sakalis G, Bowers PA (December 1981). "Mesoridazine -- a pharmacodynamic and pharmacokinetic profile". The Journal of Clinical Psychiatry. 42 (12): 463–9. PMID 7031039.
  3. American Society of Health-System Pharmacists (AHFS). "Mesoridazine". Medline Plus. U.S. National Library of Medicine.
  4. Food and Drug Administration (April 2021). "Determination That SERENTIL (Mesoridazine Besylate) Tablets, 10 Milligrams, 25 Milligrams, 50 Milligrams, and 100 Milligrams, Were Not Withdrawn From Sale for Reasons of Safety or Effectiveness". National Register. U.S. Government.
  5. Bourquin, J.-P.; Schwarb, G.; Gamboni, G.; Fischer, R.; Ruesch, L.; Guldimann, S.; Theus, V.; Schenker, E.; Renz, J. (1958). "Synthesen auf dem Phenothiazin-Gebiet. 1. Mitteilung. Mercaptophenothiazin-Derivate". Helvetica Chimica Acta. 41 (4): 1061–1072. doi:10.1002/hlca.19580410419.
  6. Bourquin, J.-P.; Schwarb, G.; Gamboni, G.; Fischer, R.; Ruesch, L.; Guldimann, S.; Theus, V.; Schenker, E.; Renz, J. (1958). "Synthesen auf dem Phenothiazin-Gebiet. 2. Mitteilung. N-substituierte Mercaptophenothiazin-Derivate". Helvetica Chimica Acta. 41 (4): 1072–1108. doi:10.1002/hlca.19580410420.
  7. Schwarb Gustav, Renz Jany, Bourquin Jean-Pierre, U.S. patent 3,084,161 (1963 to Sandoz Ltd).