Butaperazine

Butaperazine
Clinical data
ATC code
Legal status
Legal status
  • BR: Class C1 (Other controlled substances)[1]
Identifiers
IUPAC name
  • 1-[10-[3-(4-Methylpiperazin-1-yl)propyl]phenothiazin-2-yl]butan-1-one
CAS Number
PubChem CID
DrugBank
ChemSpider
UNII
KEGG
ChEBI
ChEMBL
CompTox Dashboard (EPA)
ECHA InfoCard100.010.450
Chemical and physical data
FormulaC24H31N3OS
Molar mass409.59 g·mol−1
3D model (JSmol)
SMILES
  • O=C(c2cc1N(c3c(Sc1cc2)cccc3)CCCN4CCN(C)CC4)CCC
InChI
  • InChI=1S/C24H31N3OS/c1-3-7-22(28)19-10-11-24-21(18-19)27(20-8-4-5-9-23(20)29-24)13-6-12-26-16-14-25(2)15-17-26/h4-5,8-11,18H,3,6-7,12-17H2,1-2H3 checkY
  • Key:DVLBYTMYSMAKHP-UHFFFAOYSA-N checkY
  (verify)

Butaperazine (Repoise, Tyrylen) is a typical antipsychotic of the phenothiazine class.[2] It was approved in 1967, and possibly discontinued in the 1980s.

Synthesis

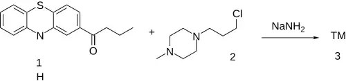
Synthesis of butaperazine

Butaperazine can be synthesized starting from 2-butyrylphenothiazine (1).[3] It is prepared in a manner that is comparable to the method used in the synthesis of propiomazine and propiopromazine. The phenothiazine is alkylated with 1-(γ-chloropropyl)-4-methylpiperazine (2), which is prepared in the conventional way by alkylating 1-methylpiperazine with 1-bromo-3-chloropropane.

See also

References

  1. Anvisa (2023-03-31). "RDC Nº 784 - Listas de Substâncias Entorpecentes, Psicotrópicas, Precursoras e Outras sob Controle Especial" [Collegiate Board Resolution No. 784 - Lists of Narcotic, Psychotropic, Precursor, and Other Substances under Special Control] (in Brazilian Portuguese). Diário Oficial da União (published 2023-04-04). Archived from the original on 2023-08-03. Retrieved 2023-08-16.
  2. "Evaluation of a new antipsychotic agent. Butaperazine maleate (repoise maleate)". JAMA. 206 (10): 2307–8. December 1968. doi:10.1001/jama.206.10.2307. PMID 4386884.
  3. Dr Ulrich Hoerlein, Dr Klaus-Heinz Risse, Dr Wolfgang Wirth, DE 1120451 (1961 to Bayer Ag).