Trimethobenzamide
![]() | |
![]() | |
| Names | |
|---|---|
| Trade names | Tigan, Tebamide, others |
IUPAC name
| |
| Clinical data | |
| Drug class | Antihistamine[1] |
| Main uses | Nausea, vomiting[1] |
| Side effects | Blurry vision, sleepiness, muscle cramps[1] |
| Pregnancy category |
|
| Routes of use | By mouth, rectal, intramuscular |
| Onset of action | Within 40 min[1] |
| Duration of action | Up to 4 hrs[1] |
| External links | |
| AHFS/Drugs.com | Monograph |
| MedlinePlus | a682693 |
| Legal | |
| Legal status |
|
| Pharmacokinetics | |
| Bioavailability | 60-100% |
| Elimination half-life | 7 to 9 hours (mean) |
| Excretion | Urine (30-50%), faeces |
| Chemical and physical data | |
| Formula | C21H28N2O5 |
| Molar mass | 388.464 g·mol−1 |
| 3D model (JSmol) | |
SMILES
| |
InChI
| |
Trimethobenzamide, sold under the brand name Tigan among others, is a medication used to treat nausea and vomiting.[1] This includes that due to surgery and gastroenteritis.[1] It is taken by mouth or by injection into a muscle.[1] Onset occurs within 40 minutes and lasts up to 4 hours.[1]
Common side effects include blurry vision, sleepiness, and muscle cramps.[1] Other side effects may include liver problems and allergic reactions.[1] Safety in pregnancy and breastfeeding is unclear.[2] Use in children with viral infections is not recommended due to concerns of Reye syndrome.[3] It is an antihistamine and believed to work by blocking the chemoreceptor trigger zone.[1]
Trimethobenzamide was approved for medical use in the United States in 1974.[1] It is available as a generic medication.[1] In the United States 30 doses cost less than 20 USD as of 2021.[4]
Medical uses
Dosage
The typical dose is 300 mg by mouth 3 to 4 times per day or 200 mg by injection 3 to 4 times per day.[5]
Side effects
Possible side effects include drowsiness, dizziness, headache, muscle cramps, and blurred vision. More serious adverse effects include skin rash, tremors, parkinsonism, and jaundice.
Mechanism of action
Trimethobenzamide is an antagonist of the D2 receptor.[6] It is believed to affect the chemoreceptor trigger zone (CTZ) of the medulla oblongata to suppress nausea and vomiting.
Society and culture
Formulations
Trimethobenzamide is marketed under the brand names Tebamide and Tigan, manufactured by GlaxoSmithKline and King Pharmaceuticals, respectively. It is available as oral capsules and injectable formulations.
Trimethobenzamide was also available as a rectal suppository, but such formulations were banned by the U.S. Food and Drug Administration on April 6, 2007 due to unproven efficacy.[7]
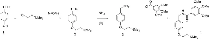
Synthesis

Alkylation of the sodium salt of p-hydroxybenzaldehyde (1) with 2-dimethylaminoethyl chloride affords the ether (2). Reductive amination of the aldehyde in the presence of ammonia gives diamine (3). Acylation of that product with 3,4,5-trimethoxybenzoyl chloride affords trimethobenzamide (4).
See also
References
- ↑ 1.00 1.01 1.02 1.03 1.04 1.05 1.06 1.07 1.08 1.09 1.10 1.11 1.12 1.13 "Trimethobenzamide Monograph for Professionals". Drugs.com. Archived from the original on 21 August 2021. Retrieved 20 September 2021.
- ↑ "Trimethobenzamide Use During Pregnancy". Drugs.com. Archived from the original on 24 November 2020. Retrieved 20 September 2021.
- ↑ Learning, Jones & Bartlett (29 June 2010). 2011 Nurse's Drug Handbook. Jones & Bartlett Publishers. p. 1062. ISBN 978-1-4496-5372-9. Archived from the original on 22 September 2021. Retrieved 20 September 2021.
- ↑ "Trimethobenzamide Prices and Trimethobenzamide Coupons - GoodRx". GoodRx. Archived from the original on 10 September 2016. Retrieved 20 September 2021.
- ↑ "Nausea and Vomiting Related to Cancer Treatment (PDQ®)–Health Professional Version - National Cancer Institute". www.cancer.gov. 27 August 2021. Archived from the original on 11 July 2021. Retrieved 20 September 2021.
- ↑ Smith HS, Cox LR, Smith BR (2012). "Dopamine receptor antagonists". Ann Palliat Med. 1 (2): 137–42. doi:10.3978/j.issn.2224-5820.2012.07.09. PMID 25841474.
- ↑ Waknine, Yael (April 6, 2007). "FDA Bans Suppositories With Trimethobenzamide". Medscape. Archived from the original on 2007-04-16. Retrieved 2007-04-06.
External links
| Identifiers: |
|---|

