Hexacyclonate
![]() | |
| Identifiers | |
|---|---|
IUPAC name
| |
| CAS Number | |
| PubChem CID | |
| ChemSpider | |
| UNII | |
| ChEMBL | |
| CompTox Dashboard (EPA) | |
| Chemical and physical data | |
| Formula | C9H16O3 |
| Molar mass | 172.224 g·mol−1 |
| 3D model (JSmol) | |
SMILES
| |
InChI
| |
| (verify) | |
Hexacyclonate (Gevilon) is a stimulant drug. It has been used for the treatment of alcoholism[1] and for increasing motivation in elderly patients,[2] but Gevilon (containing a different active substance - gemfibrozil) is now mainly used for the treatment of hyperlipoproteinaemia.[3][4] It is chemically similar to the anticonvulsant gabapentin, with a hydroxyl group replacing the amine.
The latter use may be incorrectly assigned, as "Gevilon" has been used as a trade name for gemfibrozil, a well-known drug for dislipidemia.
Synthesis

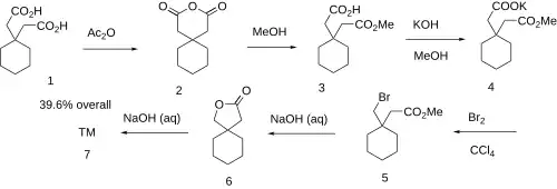
The treatment of 1,1-Cyclohexanediacetic acid [4355-11-7] (1) with acetic anhydride led to Cyclohexanediacetic anhydride [1010-26-0] (2). Esterification with methanol led to 1,1-Cyclohexanediacetic acid mono methyl ester [60142-94-1] (3). Treatment of the monoacid with potassium hydroxide gave the alkoxide (4). Treatment with bromine in the presence of tetrachloromethane gave Methyl 3,3-pentamethylene-4-bromobutyrate (5). Reaction with aqueous lye gave 2-Oxaspiro[4.5]decan-3-one (GO 177) [7236-78-4] (6). Further treatment with aqueous lye completed the synthesis of hexacyclonate (7).[5]
References
- ↑ Chesrow EJ, Sabatini R, Musci JP, Kaplitz SE, Marquardt GH (May 1962). "Adjunctive treatment of the chronic alcoholic with hexacyclonate sodium". The Illinois Medical Journal. 121: 546–8. PMID 13878809.
- ↑ Morrison BO (January 1962). "Pharmaco-motivation of the geriatric patient: a preliminary report on hexacyclonate". The Journal of the Louisiana State Medical Society. 114: 23–6. PMID 14476295.
- ↑ Milewicz A, Plamieniak Z, Bohdanowicz-Pawlak A (1992). "Therapeutic effect of gevilon in patients with hyperlipoproteinaemia". Materia Medica Polona. Polish Journal of Medicine and Pharmacy. 24 (2): 91–5. PMID 1307777.
- ↑ Gazdikova K, Korecka P, Springer V, Gazdik F (2003). "Pharmacoeconomic aspects of patients treated by hemodialysis". Bratislavske Lekarske Listy. 104 (10): 329–34. PMID 15055734.
- ↑ Robert I Meltzer, Jr John Shavel, Vigelius Wolf-Dieter, U.S. patent 3,007,940 (1961 to Warner Lambert Pharmaceutical).
