Tybamate

Tybamate
Clinical data
ATC code
  • none
Identifiers
IUPAC name
  • [2-(Carbamoyloxymethyl)-2-methylpentyl] N-butylcarbamate
CAS Number
PubChem CID
ChemSpider
UNII
KEGG
CompTox Dashboard (EPA)
ECHA InfoCard100.022.050
Chemical and physical data
FormulaC13H26N2O4
Molar mass274.361 g·mol−1
3D model (JSmol)
SMILES
  • CCCCNC(=O)OCC(C)(CCC)COC(=O)N
InChI
  • InChI=1S/C13H26N2O4/c1-4-6-8-15-12(17)19-10-13(3,7-5-2)9-18-11(14)16/h4-10H2,1-3H3,(H2,14,16)(H,15,17) checkY
  • Key:PRBORDFJHHAISJ-UHFFFAOYSA-N checkY

Tybamate (INN; Solacen, Tybatran, Effisax) is an anxiolytic of the carbamate family.[1] It is a prodrug for meprobamate in the same way as the better known drug carisoprodol. It has liver enzyme inducing effects similar to those of phenobarbital but much weaker.[2]

As the trade name Tybatran (Robins), it was formerly available in capsules of 125, 250, and 350 mg, taken 3 or 4 times a day for a total daily dosage of 750 mg to 2 g. The plasma half-life of the drug is three hours. At high doses in combination with phenothiazines, it could produce convulsions.[3]

Synthesis

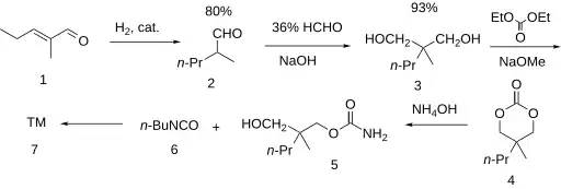
Catalytic hydrogenation of 2-methyl-2-pentenal (1) gives the aldehyde 2-methylpentanal (2). Treatment with formaldehyde gives a crossed Cannizzaro reaction yielding 2,2-bis(hydroxymethyl)pentane (3). Cyclisation of this diol with diethyl carbonate gives (4), which reacts with ammonia to provide the carbamate (5). Lastly, treatment with butyl isocyanate (6) produces tybamate.[4][5][6]

References

  1. Index Nominum 2000: International Drug Directory. Taylor & Francis. January 2000. p. 1077. ISBN 978-3-88763-075-1.
  2. Segelman FH, Kelton E, Terzi RM, Kucharczyk N, Sofia RD (June 1985). "The comparative potency of phenobarbital and five 1,3-propanediol dicarbamates for hepatic cytochrome P450 induction in rats". Research Communications in Chemical Pathology and Pharmacology. 48 (3): 467–70. PMID 4023427.
  3. American Medical Association Dept of Drugs (1977). AMA Drug Evaluations (3rd ed.). Littleton, Mass.: Pub. Sciences Group. p. 406. ISBN 978-0-88416-175-2. OCLC 1024170745.
  4. Ludwig BJ, Piech EC (1951). "Some Anticonvulsant Agents Derived from 1,3-Propanediols". Journal of the American Chemical Society. 73 (12): 5779–5781. Bibcode:1951JAChS..73.5779L. doi:10.1021/ja01156a086.
  5. Reisberg P, Kress J, Bodin JI (1975). Tybamate. Analytical Profiles of Drug Substances. Vol. 4. pp. 494–515. doi:10.1016/S0099-5428(08)60025-8. ISBN 978-0-12-260804-9.
  6. "Tybamate". Pharmaceutical Substances. Thieme. Retrieved 2024-07-08.