Clocental
![]() | |
![]() | |
| Clinical data | |
|---|---|
| Other names | Dolcental |
| Identifiers | |
IUPAC name
| |
| CAS Number |
|
| PubChem CID | |
| ChemSpider |
|
| UNII | |
| CompTox Dashboard (EPA) | |
| Chemical and physical data | |
| Formula | C10H14N2O3 |
| Molar mass | 210.233 g·mol−1 |
| 3D model (JSmol) | |
SMILES
| |
InChI
| |
Clocental (dolcental) is a carbamate-derived sedative hypnotic.[1][2]
Synthesis
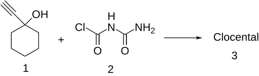
Clocental was first prepared by the acylation of 1-ethynylcyclohexanol with allophanyl chloride.[3]
See also
References
- ↑ Keil W, Muschaweck R, Rademacher E (August 1954). "[Sedative and hypnotic effect of the 1-ethinyl-cyclohexyl-allophante-(1)]". Arzneimittel-Forschung (in German). 4 (8): 477–479. PMID 13198744.
- ↑ Preuss R, Kopp R (April 1959). "[Analysis of the renal excretion products of 1-ethinyl-cyclohexylacarbamate (valamine) & 1-ethinyl-cyclohexyl-allophanate (dolcental)]". Arzneimittel-Forschung (in German). 9 (4): 255–262. PMID 13651050.
- ↑ US patent 2822379, Grimme W, Emde H, "Allophanates of alpha-ethynylcarbinols", issued 1958-02-04, assigned to Rheinpreussen AG fuer Bergbau und Chemie
| Alcohols |
|
|---|---|
| Barbiturates |
|
| Benzodiazepines |
|
| Carbamates | |
| Flavonoids |
|
| Imidazoles | |
| Kava constituents |
|
| Monoureides |
|
| Neuroactive steroids |
|
| Nonbenzodiazepines | |
| Phenols | |
| Piperidinediones | |
| Pyrazolopyridines | |
| Quinazolinones | |
| Volatiles/gases |
|
| Others/unsorted |
|
See also: Receptor/signaling modulators • GABA receptor modulators • GABA metabolism/transport modulators | |
This article is issued from WikiProjectMed. The text is available under Creative Commons Attribution-ShareAlike License unless otherwise noted. Additional terms may apply for the media files.


