Pimobendan

Pimobendan
Clinical data
Trade namesVetmedin, others
AHFS/Drugs.comInternational Drug Names
License data
Routes of
administration
By mouth
ATCvet code
Legal status
Legal status
Pharmacokinetic data
Bioavailability60 to 65%
Elimination half-life0.4 hours
ExcretionIn feces
Identifiers
IUPAC name
  • (RS)-6-[2-(4-Methoxyphenyl)-1H-benzimidazol-5-yl]-5-methyl-4,5-dihydropyridazin-3(2H)-one
CAS Number
PubChem CID
ChemSpider
UNII
KEGG
ChEMBL
CompTox Dashboard (EPA)
ECHA InfoCard100.168.193
Chemical and physical data
FormulaC19H18N4O2
Molar mass334.379 g·mol−1
3D model (JSmol)
ChiralityRacemic mixture
SMILES
  • CC1CC(=O)NN=C1C2=CC3=C(C=C2)N=C(N3)C4=CC=C(C=C4)OC
InChI
  • InChI=1S/C19H18N4O2/c1-11-9-17(24)22-23-18(11)13-5-8-15-16(10-13)21-19(20-15)12-3-6-14(25-2)7-4-12/h3-8,10-11H,9H2,1-2H3,(H,20,21)(H,22,24) ☒N
  • Key:GLBJJMFZWDBELO-UHFFFAOYSA-N ☒N
 ☒NcheckY (what is this?)  (verify)

Pimobendan (INN, or pimobendane), sold under the brand name Vetmedin among others, is a veterinary medication. It is a calcium sensitizer and a selective inhibitor of phosphodiesterase 3 (PDE3) with positive inotropic and vasodilator effects.

Pimobendan is used in the management of heart failure in dogs, most commonly caused by myxomatous mitral valve disease (also previously known as endocardiosis), or dilated cardiomyopathy.[3] Research has shown that as a monotherapy, pimobendan increases survival time and improves quality of life in canine patients with congestive heart failure secondary to mitral valve disease when compared with benazepril, an ACE inhibitor.[4] Under the brand name Acardi, it is available for human use in Japan.[5] It is available as a generic medication.[6]

Medical uses

Pimobendan is indicated for the management of the signs of mild, moderate, or severe congestive heart failure in dogs due to clinical myxomatous mitral valve disease (MMVD) or dilated cardiomyopathy (DCM);[1][7] and for use with concurrent therapy for congestive heart failure (e.g.,furosemide, etc.) as appropriate on a case-by-case basis.[1] It is also indicated for the delay of onset of congestive heart failure in dogs with Stage B2 preclinical myxomatous mitral valve disease (2019 ACVIM consensus guidelines for the diagnosis and treatment of myxomatous mitral valve disease in dogs).[2][8][9][10]

Mechanism of action

Pimobendan is a positive inotrope, and its main function is to increase myocardial contractility. It sensitizes and increases the binding efficiency of cardiac troponin in the myofibril to the calcium ions that are already present in systole. In healthy hearts, it elevates oxygen and energy consumption to a level comparable to that achieved with dobutamine; however, in pathological hearts, this effect may not occur.[11][12] Pimobendan also causes peripheral vasodilation by inhibiting the function of phosphodiesterase 3 (PDE3). This results in decreased resistance to blood flow through systemic arterioles, which decreases afterload (decreases the failing heart's workload) and reduces the amount of mitral regurgitation.[13][14]

Pharmacokinetics

Pimobendan is absorbed rapidly when given via the oral route and has a bioavailability of 60–65%.[15] Food decreases the bioavailability of the aqueous solution although the effect on the tablet form is unknown.[16] It is metabolized into an active metabolite (desmethylpimobendan) by the liver. The parent compound, pimobendan, is a potent calcium sensitizer while desmethylpimobendan is a more potent phosphodiesterase III inhibitor.[17] The half-life of pimobendan in the blood is 0.4 hours, and the half-life of its metabolite is two hours. Elimination is by excretion in the bile and then feces. Pimobendan is 90–95% bound to plasma proteins in circulation. This may have implications in patients with low blood protein levels (hypoproteinemia/hypoalbuminemia) and in patients that are on concurrent therapies that are also highly protein bound.

Combinations

Pimobendan is often used in combination with three other drugs to palliate dogs with heart failure (pulmonary edema, pleural effusion, ascites). These are:

Synthesis

Thieme Patents:[18][19]

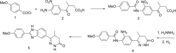
The reaction between p-anisoyl chloride [100-07-2] (1) and CID:20516917 (2) gives 4-[4-[(4-Methoxybenzoyl)amino]-3-nitrophenyl]-3-methyl-4-oxobutanoic acid, CID:20516902 (3). The reaction of this with hydrazine gives 5-methyl-6-[3-nitro-4-(4-methoxy-benzoylamino)-phenyl]-3-oxo-4,5-dihydro-2H-pyridazine [74149-73-8]. Catalytic hydrogenation reduces the nitro group giving [74149-74-9] (4). cyclization of the resulting ortho amino amide by means of a strong acid leads to the formation of the corresponding benzimidazole. There is thus obtained pimobendan (5).

References

  1. 1 2 3 "Vetmedin- pimobendan tablet, chewable". DailyMed. 19 October 2023. Archived from the original on 15 April 2024. Retrieved 30 April 2024.
  2. 1 2 "Vetmedin-CA1- pimobendan tablet, chewable". DailyMed. 28 July 2022. Retrieved 30 April 2024.
  3. Gordon SG, Miller MW, Saunders AB (2006). "Pimobendan in heart failure therapy—a silver bullet?". Journal of the American Animal Hospital Association. 42 (2): 90–3. doi:10.5326/0420090. PMID 16527909.
  4. Häggström J, Boswood A, O'Grady M, et al. (July 2008). "Effect of Pimobendan or Benazepril Hydrochloride on Survival Times in Dogs with Congestive Heart Failure Caused by Naturally Occurring Myxomatous Mitral Valve Disease: The QUEST Study". J. Vet. Intern. Med. 22 (5): 1124–35. CiteSeerX 10.1.1.661.3009. doi:10.1111/j.1939-1676.2008.0150.x. PMID 18638016.
  5. "Kusuri-no-Shiori Drug Information Sheet". RAD-AR Council, Japan. April 2005. Archived from the original on 22 July 2011. Retrieved 6 August 2008.
  6. "FDA Approves First Generic Pimobendan for Management of Congestive Heart Failure in Dogs". U.S. Food and Drug Administration (FDA). 25 April 2024. Archived from the original on 29 April 2024. Retrieved 30 April 2024.
  7. "NADA 141-273 VETMEDIN Pimobendan Chewable Tablets Dogs". Public Domain This article incorporates text from this source, which is in the public domain.
  8. "Application Number 141-556 Vetmedin®-CA1 (pimobendan) Chewable Tablets Dogs". Archived from the original on 29 November 2022. Public Domain This article incorporates text from this source, which is in the public domain.
  9. "FDA Conditionally Approves First Drug to Delay Onset of Congestive Heart Failure in Dogs". U.S. Food and Drug Administration (FDA). 16 June 2022. Archived from the original on 1 December 2023. Retrieved 30 April 2024. Public Domain This article incorporates text from this source, which is in the public domain.
  10. Keene BW, Atkins CE, Bonagura JD, Fox PR, Häggström J, Fuentes VL, et al. (May 2019). "ACVIM consensus guidelines for the diagnosis and treatment of myxomatous mitral valve disease in dogs". Journal of Veterinary Internal Medicine. 33 (3): 1127–1140. doi:10.1111/jvim.15488. PMC 6524084. PMID 30974015.
  11. Hata K, Goto Y, Futaki S, Ohgoshi Y, Yaku H, Kawaguchi O, et al. (October 1992). "Mechanoenergetic effects of pimobendan in canine left ventricles. Comparison with dobutamine". Circulation. 86 (4): 1291–301. doi:10.1161/01.cir.86.4.1291. PMID 1394935.
  12. Goto Y, Hata K (1997). "Mechanoenergetic effect of pimobendan in failing dog hearts". Heart and Vessels. Suppl 12: 103–5. PMID 9476556.
  13. Verdouw PD, Hartog JM, Duncker DJ, Roth W, Saxena PR (July 1986). "Cardiovascular profile of pimobendan, a benzimidazole-pyridazinone derivative with vasodilating and inotropic properties". European Journal of Pharmacology. 126 (1–2): 21–30. doi:10.1016/0014-2999(86)90733-8. PMID 2875884.
  14. Kanno N, Kuse H, Kawasaki M, Hara A, Kano R, Sasaki Y (April 2007). "Effects of pimobendan for mitral valve regurgitation in dogs". The Journal of Veterinary Medical Science. 69 (4): 373–7. doi:10.1292/jvms.69.373. PMID 17485924.
  15. "NADA 141-273, Approved by FDA Vetmedin (pimobendan) Chewable Tablets Cardiac drug for oral use in dogs only" (PDF). Boehringer Ingelheim Vetmedica, Inc. 2007. Archived from the original (PDF) on 6 February 2015. Retrieved 2 December 2014.
  16. McManamey AK, DeFrancesco TC, Meurs KM, Papich MG (November 2023). "Pharmacokinetics of pimobendan after oral administration to dogs with myxomatous mitral valve disease". Journal of Veterinary Internal Medicine. 37 (6): 2003–2010. doi:10.1111/jvim.16891. PMC 10658550. PMID 37776546.
  17. Hanzlicek AS, Gehring R, Kukanich B, Kukanich KS, Borgarelli M, Smee N, et al. (December 2012). "Pharmacokinetics of oral pimobendan in healthy cats". Journal of Veterinary Cardiology. 14 (4): 489–96. doi:10.1016/j.jvc.2012.06.002. PMID 23116650.
  18. DE 2837161, Austel V, Diederen W, Eberlein W, Haarmann W, Heider J, "5-Alkyl:pyridazinyl substd. benzimidazole derivs. - useful as cardiovascular agents, antivirals, interferon inducers and ulcer inhibitors", published 6 March 1980, assigned to Boehringer Ingelheim Pharma GmbH and Co KG
  19. US 4361563, Austel V, Heider J, Eberlein W, Diederen W, Haarmann W, "Pyridazinone-substituted benzimidazoles and salts", issued 30 November 1982, assigned to Dr. Karl Thomae Gesellschaft Mit Beschrankter Haftung

Further reading