Adibendan
![]() | |
| Names | |
|---|---|
| Preferred IUPAC name
7,7-Dimethyl-2-(pyridin-4-yl)-5,7-dihydroimidazo[4,5-f]indol-6(1H)-one | |
| Identifiers | |
CAS Number |
|
3D model (JSmol) |
|
| ChEMBL | |
| ChemSpider | |
PubChem CID |
|
| UNII | |
CompTox Dashboard (EPA) |
|
InChI
| |
SMILES
| |
| Properties | |
Chemical formula |
C16H14N4O |
| Molar mass | 278.315 g·mol−1 |
Except where otherwise noted, data are given for materials in their standard state (at 25 °C [77 °F], 100 kPa).
Infobox references | |
Adibendan is an inhibitor of phosphodiesterase 3. It has been tested in dogs for its effects on heart output and dilation of blood vessels.[1]
Synthesis
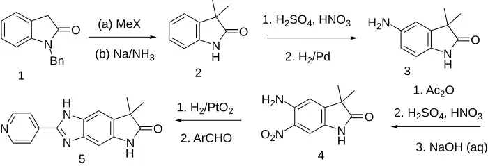
Synthesis:[2] Patent (Ex 14):[3]

N-benzyloxindole [7135-32-2] (1) is the starting material. Base facilitated alkylation with 2 molar equivalents of methyl halide (via the enolate stabilized carbanion) gives 1-benzyl-3,3-dimethylindol-2-one, PC11086219. Dissolving metal reduction (sodamide generated in situ) was the reaction medium which was employed to cleave the benzyl protecting group to give 3,3-dimethyloxindole [19155-24-9] (2). Nitration of this can obviously be achieved by the nitronium ion (generated in situ from nitric and sulfuric acids) to give 3,3-dimethyl-5-nitro-oxindole [100511-00-0]. Catalytic hydrogenation over palladium then reduces the nitro group to give 3,3-dimethyl-5-amino-oxindole [31523-05-4] (3). Treatment with acetic anhydride protects amino groups as the acetamide. Treatment with nitric acid is then able to add a nitro group on to the aromatic ring which is probably sterically directed. Treatment with acid hydrolyses the acetamide protecting groups to give 3,3-dimethyl-5-amino-6-nitro-oxindole, PC22162178 (4). Catalytic hydrogenation over platinum oxide reduces the nitro group to give 3,3-dimethyl-5,6-diamino-oxindole [100568-79-4]. The last step of the reaction sequence is a condensation with Isonicotinaldehyde [872-85-5], thus completing the synthesis of adibendan (5), respectively.
See also
- Indolidan
References
- ↑ Dorszewski, A; Müller-Beckmann, B; Kling, L; Sponer, G (1990). "Haemodynamic profile of an inhibitor of phosphodiesterase III, adibendan (BM 14.478): Comparison with nitroprusside and dobutamine in conscious dogs". British Journal of Pharmacology. 101 (3): 686–90. doi:10.1111/j.1476-5381.1990.tb14141.x. PMC 1917742. PMID 2076485.
- ↑ Mertens, A., Mueller-Beckmann, B., Kampe, W., Hoelck, J. P., Von der Saal, W. (August 1987). "Nonsteroidal cardiotonics. 1. 2-Pyridyl-6,7-dihydro-3H,5H-pyrrolo[2,3-f]benzimidazol-6-ones, a novel class of cardiotonic agents". Journal of Medicinal Chemistry. 30 (8): 1279–1287. doi:10.1021/jm00391a004.
- ↑ Jens-Peter Holck, et al. U.S. patent 4,963,686 (1990 to Roche Diagnostics GmbH).
