Bifonazole
![]() | |
| Clinical data | |
|---|---|
| Trade names | Canespor, many others |
| AHFS/Drugs.com | International Drug Names |
| Routes of administration | Topical |
| ATC code | |
| Legal status | |
| Legal status |
|
| Identifiers | |
IUPAC name
| |
| CAS Number | |
| PubChem CID | |
| DrugBank | |
| ChemSpider | |
| UNII | |
| KEGG | |
| ChEBI | |
| ChEMBL | |
| CompTox Dashboard (EPA) | |
| ECHA InfoCard | 100.056.651 |
| Chemical and physical data | |
| Formula | C22H18N2 |
| Molar mass | 310.400 g·mol−1 |
| 3D model (JSmol) | |
| Chirality | Racemic mixture |
SMILES
| |
InChI
| |
Bifonazole (trade name Canespor among others[2]) is an imidazole antifungal drug used in form of ointments.
It was patented in 1974 and approved for medical use in 1983.[3] There are also combinations with carbamide for the treatment of onychomycosis.
Adverse effects
The most common side effect is a burning sensation at the application site. Other reactions, such as itching, eczema or skin dryness, are rare.[4] Bifonazole is a potent aromatase inhibitor in vitro.[5][6]
Pharmacology
Mechanism of action
Bifonazole has a dual mode of action. It inhibits fungal ergosterol biosynthesis at two points, via transformation of 24-methylendihydrolanosterol to desmethylsterol, together with inhibition of HMG-CoA. This enables fungicidal properties against dermatophytes and distinguishes bifonazole from other antifungal drugs.[4][7]
Pharmacokinetics
Six hours after application, bifonazole concentrations range from 1000 μg/cm3 in the stratum corneum to 5 μg/cm3 in the papillary dermis.[4]
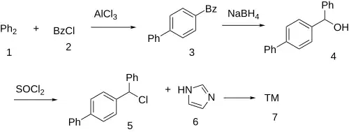
Synthesis
Friedel-Crafts acylation between biphenyl (1) and benzoyl chloride (2) gives 4-phenylbenzophenone (3). Reduction with sodium borohydride gives the alcohol (4). Halogenation by thionyl chloride gives (5). Amination with imidazole (6) completes the synthesis of bifonazole.[8][9][10]
References
- ↑ "Therapeutic Goods (Poisons Standard— June 2025) Instrument 2025" (pdf). Therapeutic Goods Administration (TGA). May 2025. Retrieved 31 August 2025.
- ↑ International Drug Names: Bifonazole.
- ↑ Fischer J, Ganellin CR (2006). Analogue-based Drug Discovery. John Wiley & Sons. p. 502. ISBN 9783527607495.
- 1 2 3 Haberfeld H, ed. (2015). Austria-Codex (in German). Vienna: Österreichischer Apothekerverlag. Canesten Bifonazol-Creme.
- ↑ Trösken ER, Fischer K, Völkel W, Lutz WK (February 2006). "Inhibition of human CYP19 by azoles used as antifungal agents and aromatase inhibitors, using a new LC-MS/MS method for the analysis of estradiol product formation". Toxicology. 219 (1–3): 33–40. Bibcode:2006Toxgy.219...33T. doi:10.1016/j.tox.2005.10.020. PMID 16330141.
- ↑ Egbuta C, Lo J, Ghosh D (December 2014). "Mechanism of inhibition of estrogen biosynthesis by azole fungicides". Endocrinology. 155 (12): 4622–4628. doi:10.1210/en.2014-1561. PMC 4239419. PMID 25243857.
- ↑ Berg D, Regel E, Harenberg HE, Plempel M (1984). "Bifonazole and clotrimazole. Their mode of action and the possible reason for the fungicidal behaviour of bifonazole". Arzneimittel-Forschung. 34 (2): 139–146. PMID 6372801.
- ↑ US 4118487, Regel E, Draber W, Buchel KH, Plempel M, "Substituted azol-1-ylmethanes", issued 3 October 1978, assigned to Bayer Aktiengesellschaft
- ↑ Corelli F, Summa V, Brogi A, Monteagudo E, Botta M (1995). "Chiral Azole Derivatives. 2. Synthesis of Enantiomerically Pure 1-Alkylimidazoles". The Journal of Organic Chemistry. 60 (7): 2008–2015. doi:10.1021/jo00112a023.
- ↑ Hu Q, Negri M, Jahn-Hoffmann K, Zhuang Y, Olgen S, Bartels M, et al. (August 2008). "Synthesis, biological evaluation, and molecular modeling studies of methylene imidazole substituted biaryls as inhibitors of human 17alpha-hydroxylase-17,20-lyase (CYP17)--part II: Core rigidification and influence of substituents at the methylene bridge". Bioorganic & Medicinal Chemistry. 16 (16): 7715–7727. doi:10.1016/j.bmc.2008.07.011. PMID 18674917.
Further reading
- Lackner TE, Clissold SP (August 1989). "Bifonazole. A review of its antimicrobial activity and therapeutic use in superficial mycoses". Drugs. 38 (2): 204–225. doi:10.2165/00003495-198938020-00004. PMID 2670516. S2CID 195697559.

