Wikibooks:Reading room/Archives/2009/August
| This is an archive of past discussions. Do not edit the contents of this page. If you wish to start a new discussion or revive an old one, please do so on the current talk page. |
Download Html book for offline viewing.
I usually use unix <wget> to download things like a wikibook, but I'm not sure it works here. Is there an easier way to download a book in HTML? - the instructions about XML are baffling to a non-developer. Thank you, TFJ
- See if the book has a print version and do as save of the page that displays it (or use wget), there are then tools to unwikify the result. --Panic (talk) 05:09, 14 August 2009 (UTC)
How do I beak a page into several pages?
I want to turn each chapter in the book on Category Theory into a separate page. I can think of a couple of clumsy ways of doing this. Is there an efficient way to do it? SixWingedSeraph (talk) 00:58, 8 August 2009 (UTC)
- Well I don't know how efficient this is, but I have made links out of the titles of the individual chapters. So now the word "Introduction" now links to Category Theory/Introduction. Now all you have to do is open the red link in one window, click on the edit link in the other, then copy and paste. Just make sure if you do this, to mention in the edit summary that your copying this material from the Category Theory page. Including some sort of link in necessary for copyright reasons. Thenub314 (talk) 15:15, 8 August 2009 (UTC)
Main Page
There have been some comments on phasing out bookshelves more fully by giving greater prominence to the subject pages by replacing the links to bookshelves on the main page with links to subject pages. You can read what was posted on Talk:Main Page a year ago in the reading room archives. Posting here will hopefully allow for concerns to be addressed and opinions heard, as well as giving the proposal greater visibility. -- Adrignola talk contribs 22:07, 23 June 2009 (UTC)
- Perhaps not surprisingly, I do have some concerns about changing the main page. Of course I would like to customize the Mathematics subject page, but some ongoing debates about my ideas have stopped me momentarily (and perhaps permanently) . Overall I think it may be better to proceed to make changes and fix problems, this will give us some motivation to fix the problems.
- Here are some of my thoughts.
- From a user perspective the distinction between categories and subjects is blurred. I personally found it very confusing when I discovered the subject pages, and then discovered that clicking on the link that followed Subjects: a the bottom of a module did not take me to the subject page. As we make subjects more prominent I expect this confusion to be worse. I strongly recommend (as I mention periodically here) that we should either change that word to categories or link the actual subject pages. But I think changing the word to categories is more realistic.
- I would like some way of seeing the preservation of the information about development stages, and hopefully to include it on some way in the subject page.
- As was mentioned in the original discussion we should include subjects in the default search. If it is not there already, it should be there.
- This discussion will not get the attention it deserves. For better or worse, a lot of people don't seem to keep up on the reading room. Would it be appropriate to include a message at each of the book shelves inviting people to express their opinion? Thenub314 (talk) 08:56, 24 June 2009 (UTC)
- I think the use of "Subject" at the bottom in reference to a book's or page's categories was intended to indicate that a book's categories should match up with actual subjects. This does not work when seen on subpages of a book. It's a setting in the Mediawiki namespace that could be changed.
- I find it confusing as well. Sj (talk) 16:52, 19 July 2009 (UTC)
- I think the use of "Subject" at the bottom in reference to a book's or page's categories was intended to indicate that a book's categories should match up with actual subjects. This does not work when seen on subpages of a book. It's a setting in the Mediawiki namespace that could be changed.
- Subjects appear to be in the default search now. I looked for "mathematics" when logged-out and Subject:Mathematics was the first result.
- Past commenters in the archive did note that they were amenable to having different subject pages appear differently, so it would appear that you have the leeway to alter the mathematics subjects as you see fit. Since Subject:Mathematics is a top-level subject, it would be nice, in my opinion, if all the mathematics subjects had a consistent theme. -- Adrignola talk contribs 21:38, 24 June 2009 (UTC)
- If we make categories for each of the progress points, the subject pages can be broken down to pull books in sections with the ones that are in the subject's category and 100%, the subject's category and 75%, etc using DPL templates. But I don't know what to do about the books that are in the subject but not in a progress category. The list of all the books in the subject could be put below the ones with progress indicators. But then you'd have books that have been marked with a progress level listed twice: in the progress-indicated section and the progress-not-indicated section. The technicalities of generating a dynamic list that can reflect progress has to be worked out. Also, the progress indicators on the bookshelves may not be up to date, further complicating matters.
- A site-wide message at the top of the wiki is also something that could be done to really get attention on an issue. Maybe people would be interested in a contest to redesign the main page at the same time, with people voting for their preferred version. That would seem more worthy of a site-wide message than the mere proposal to change some links. I suppose it would depend on how significant an issue must be before the creation of a notice is warranted. -- Adrignola talk contribs 21:38, 24 June 2009 (UTC)
- A site-wide message is now up to get input on this issue. The issue with Subject replacing Category on book pages has been fixed. Links on the main page have been reverted back to ones pointing to the bookshelves. I thought there was consensus on this from past discussion and could only take the lack of response as tacit approval. I never intended to delete bookshelves, but the mere changing of links has drawn ire. It resulted in an edit war over which pages would be the destination through the addition of redirects to subject pages to point to bookshelves and later a notice that subjects were not being maintained and a link to the bookshelves. This could have been prevented by fully protecting the pages, but then I would appear to be engaging in a one-man vendetta, which I did not take to be the case, given past discussion. This changeover was proposed in November 2007. Are subjects the future or were they just a nice idea in theory? I brought this issue back up and so I will not be the one to decide it. I leave it to the community. -- Adrignola talk contribs 16:44, 6 July 2009 (UTC)
- This is a good use of the site-wide notice. It might be good to have a wb: page about potential messages and how long they are scheduled to be up. Sj (talk)
- A site-wide message is now up to get input on this issue. The issue with Subject replacing Category on book pages has been fixed. Links on the main page have been reverted back to ones pointing to the bookshelves. I thought there was consensus on this from past discussion and could only take the lack of response as tacit approval. I never intended to delete bookshelves, but the mere changing of links has drawn ire. It resulted in an edit war over which pages would be the destination through the addition of redirects to subject pages to point to bookshelves and later a notice that subjects were not being maintained and a link to the bookshelves. This could have been prevented by fully protecting the pages, but then I would appear to be engaging in a one-man vendetta, which I did not take to be the case, given past discussion. This changeover was proposed in November 2007. Are subjects the future or were they just a nice idea in theory? I brought this issue back up and so I will not be the one to decide it. I leave it to the community. -- Adrignola talk contribs 16:44, 6 July 2009 (UTC)
I am not sure what you mean when you say that the issue of replacing Subject by Category on book pages has been fixed.I see it is fixed on the subpages of a book, just not the main page. I would advocate changing it on all of teh pages of the book. For example, when I look at the bottom for example on the bottom of the Algorithms book it displays "Subjects: Featured book | Books to be merged | Algorithms | Algorithms and data structures". The first two of which are not subjects in any sense of the word. Thenub314 (talk) 11:25, 7 July 2009 (UTC)
Deprecation
I still think subjects are the future. We could play blame game, but I think the problem was that even though consensus was that bookshelves should be deprecated, a formal process for doing so was never discussed or formed, possibly because people didn't think one would be necessary. IMO I think all that is missing is a formal plan for moving forward with deprecating the bookshelves and apparently a formal process for doing so is needed. --darklama 17:10, 6 July 2009 (UTC)
I think a straightforward way to move forward is to put a notice of deprecation at the top of every bookshelf and protect the bookshelves. After a month or more go through with completely deprecating the bookshelves. --darklama 17:16, 6 July 2009 (UTC)
- Protecting a page in order to discourage updates doesn't seem to be a proper justification — in particular if the page in question is linked from the main page. ("Page protections cannot be altered without proper justification." WB:ADMIN) In my opinion subject pages are just not ready yet to replace bookshelves: Have we solved the problem of sorting entries on the subject pages alphabetically? Do we show featured books prominently enough? (i.e. in the super-subjects)? Do we agree on abandoning progress indicators? Subject pages might have been a good idea, but the current implementation is a different issue. --Martin Kraus (talk) 18:58, 6 July 2009 (UTC)
- I agree with a lot of the issues Martin raises. I am particularly glad to hear other people have been concerned about the prominence of featured books, it is something I have thought about but never articulated. I don't see any need to protect the bookshelf pages. If someone wants to come along and keep a deprecated page up to date, its their time not mine, this is a wiki after all. I could go either way on subjects vs bookshelves, I will think about it and give a more well thought through opinion later. In the probable case that we go with subjects, and we eventually make bookshelves redirects, I don't think we should delete the pages and recreate them as redirects. Why not preserve the edit history? As a final thought I would like to suggest that we should restore the bookshelf pages that have been deleted thus far.Thenub314 (talk) 19:55, 6 July 2009 (UTC)
- Featured books are not displayed prominently now. The question is not whether subject pages advertise them well enough, but whether we should add such advertisements to the new subject pages or the old bookshelf pages.
- Also, books are not generally arranged alphabetically on bookshelves now, and progress indicators are not maintained, accurate, and follow no kind of sitewide standards. Saying that we cant switch to subject pages because they do not have these things is moot because bookshelves don't have them either. What we need to do now is decide which method we want to pursue in the long term, and spend the effort to improve those. --Whiteknight (Page) (Talk) 11:12, 11 July 2009 (UTC)
- Features books are displayed prominently on some bookshelves (e.g. the Wikibooks:Languages bookshelf). Some bookshelves order books within the subtopics alphabetically (e.g. the Wikibooks:Languages bookshelf). I assume that most of the very few active authors of language books try to keep the progress indicators up to date. After all the discussions about phasing out bookshelves it is certainly not surprising that people stopped contributing to bookshelves. From my point of view some people decided to switch to subject pages but they have failed to show that this was a good decision. Instead they keep talking about abandoning bookshelves as if all the problems with subject pages would then magically disappear. --Martin Kraus (talk) 09:49, 12 July 2009 (UTC)
- I noticed another possible issue with deprecation, that relates to a comment below. If we delete bookshelf pages, then will all books show up on the Orphaned page list? I noticed this because I saw Mathematics for Caribbean Advance Mathematics on this list when I knew I had put it in a subject at some point. Independently I noticed while categorizing pages (I would try to work from the end of the list because Adrignola categorizes so much faster than I) that these maintenance lists seem to only go out to about 5000 entries or so. I thought someone said before we were currently around 3,000 books. Does this if we go to subject pages and we pass 5,000 books that we loose the any hope of finding the orphaned pages. Even if we could make this lists indefinitely large, does it make sense to wade through all of the books to find the orphaned pages. This sort of fits in with comments below about not swamping the uncategorized pages list. Thenub314 (talk) 10:36, 13 July 2009 (UTC)
- I've not been using the orphaned pages list as I was of the feeling that because this isn't an encyclopedia, books won't be necessarily linking to each other. Regardless of the limit displayed, they will indeed all show up in the orphaned list if not linked to from elsewhere should bookshelves be deleted. Given that MediaWiki was designed for Wikipedia, this may be a situation where we have to accept that not all the tools are ideal for our use. -- Adrignola talk contribs 13:09, 13 July 2009 (UTC)
- It might be interesting to take a look at. I have spent the morning going through some of the things that are there and seeing if it could really be useful. Let me start by saying it is not the type of this that ever should be empty a small handful of the things that show up there are simply pages that are being whipped into shape before they are made public. This list does seem to collect pages that do have problems. For many of the books, the problems are so sever the books would also be listed in other places. But not quite all, as mentioned above.
- I suppose what I am discovering is that unlinked pages within books can also be a problem. Because long term it can lead to a duplication of effort. Examples might be Topology/Real analysis/Constructing_the_real_numbers which was a single page that got left out of a move, and this lead to someone else writing on the subject. Or Number Theory/Irrational, Rational, Algebraic, And Transcendental Numbers and Number Theory/Irrational Rational and Transcendental Numbers where because the page wasn't linked properly from the table of contents, someone came along several years later and created a startlingly similar page. On a different sort of duplication of effort note, I realized going through this that I had categorized lots of modules into a book category that were not linked to by the book in any way. In the case of several of the FEIA modules they were more or less blank pages templates waiting to be filled in. With the current edition maybe that is not so terrible, it is possible someone will look for those pages and link them from the book somehow. But with the older editions I feel like that may not have been the best use of my effort, perhaps it would have been better to delete them. I am still fairly open minded about this list, but I am curious to hear what people think. (Please don't tell me that we that we had this list and we still missed the examples I gave, I realize this. I am still curious if it is a tool worth trying to keep).
- One other question that I have, how do we find books that are not on subject pages, but are perhaps categorized in some way? This is mostly an academic point, but checking the letter A to see if this ever happens in practice I found Accurizing, All About Maine, Aros Developer Zune (which maybe should not be counted, as it is in the orphaned page category, but someone had to populate it there), and Attitude Power Trim. The situation I am concerned about is that someone comes along creates a new page and categorizes in some category that doesn't directly appear on a subject page, say a reading level. Is it then very hard to notice this book is not attached to any subject, (assuming that it is in with 3.000 other books on the orphaned page list)? Thenub314 (talk) 10:36, 13 July 2009 (UTC)
- Sadly this is something I have come across. Someone ran a bot with good intentions to add the alphabetical classification to every book in the wiki to gain a better count of the books. However, alphabetical is not as useful as a bookshelf/subject page entry. With the alphabetical classification, those books are no longer uncategorized. The only way I can detect such books is if they have subpages that were not categorized. For this reason I always check a book's main page for correct categorization before applying categories to subpages. All those one-page books that only have
{{alphabetical}}on them will escape my view unless I go through the alphabetical listings by hand. There were books that also had bad naming conventions that had{{alphabetical}}added to every page of the book since they weren't technically subpages of the main page. I'm somewhat of the mind that I'd like a bot run to undo the previous bot's edits, and remove{{alphabetical}}from any books that only have that. Unfortunately, I don't think that can be done. A similar problem exists for books with nonexistent categories, though those show up under "wanted categories". -- Adrignola talk contribs 13:09, 13 July 2009 (UTC)
- Sadly this is something I have come across. Someone ran a bot with good intentions to add the alphabetical classification to every book in the wiki to gain a better count of the books. However, alphabetical is not as useful as a bookshelf/subject page entry. With the alphabetical classification, those books are no longer uncategorized. The only way I can detect such books is if they have subpages that were not categorized. For this reason I always check a book's main page for correct categorization before applying categories to subpages. All those one-page books that only have
Sorting
I had altered the templates the Subjects called in order to allow them to be sorted using the gadget in Special:Preferences titled "Sort HTML lists". If you check that box you'll see they all get sorted in alphabetical order. From what I've read this gadget is required in order to overcome a limitation imposed by the use of an older version of the Dynamic Page List extension. Featured books are displayed a second time in their own section on the right-hand side of the subject pages. I don't know if that is prominent enough for you or not. As for progress indicators, I've yet to see anyone come up with a workable solution from a technical and feasibility standpoint, should they actually need to be kept. The bookshelves won't be linked to from the main page should I undo my undo, and this is probably why the subjects have not evolved considerably—nobody cares because they're not linked to from the main page. -- Adrignola talk contribs 19:52, 6 July 2009 (UTC)
- Thanks, I wasn't aware that I have to change my user settings. Is it sufficient to display the featured book "French" in the right column on Subject:French language, which is a sub-subject of Subject:Languages of Europe, which is a sub-subject of Subject:Languages? Are you kidding? With respect to a workable solution: bookshelves. --Martin Kraus (talk) 10:42, 7 July 2009 (UTC)
- I know I'm late to the debate. (It started in 2007?? How did I miss it.) But I completely fail to see the advantages of subject pages over bookshelves. Compare Subject:Mathematics and Wikibooks:Mathematics_bookshelf. I just can't understand why the consensus is that the former is better than the latter. To being with, it doesn't have progress bars. It doesn't seem to sort books correctly; Why, for example, is Linear algebra considered a analysis book? Also, I don't think it is a good idea to place books into separate pages; it's just not a good browsing experience. What is worse, for some technical reasons I don't understand, I can't find a way to fix those problems. For example, how can I put progress bars? I'm for any "improvement" in organization of books. Being bold is ok; if you can see ways to fix problems or make improvement, you should go ahead. BUT we never allow anyone to be bold to engage in destruction. -- Taku (talk) 22:15, 6 July 2009 (UTC)
- Hear, hear! Well said, Taku! I agree with every word. --Martin Kraus (talk) 07:51, 7 July 2009 (UTC)
- I disagree with every word. You're trying to compare the aesthetics of two pages, one that was made in only a few seconds compared to one that required lots of effort over lots of time to produce. The problem with the current bookshelf pages is that they need to be manually maintained, and so they are always out of date, misleading, or even incorrect. Progress indicators are fun looking colorful pictures, but their use is arbitrary and they mean inconsistent things. A reader looking at might assume that the book is complete and perfect, when that is never the case. Our books here are never "complete", and even a cursory overview of some of our best books will show that nothing in our entire collection has reached the "perfect" stage yet.
- Bookshelves need to be manually maintained, and that's a stupid system for us to embrace. We have the software tools here to automate the process, to maintain links automatically, to organize things how we want them, and to keep things up to date and accurate without having to wait for the next editor to come in and perform a lot of rote "organizing" busy work. The time and effort of our volunteers is far too precious to expect them to be manually maintaining large lists of links to books, especially when the technical capabilities exist for those lists to be maintained automatically as part of the software. Subject pages aren't pretty or perfect now, but they offer us the potential for improved maintainability and extendability that bookshelves do not now and will never offer.

- I will say that the current subject pages are still young. They are more prototype then final implementation and a lot of work is going to be needed to make things the way we want them. The benefit to subject pages is that they are flexible enough to do that. We aren't limited to a single bookshelf page that is displayed in one way for everybody, we can mix and match and show lists of books that we want to show. If you don't like the way one particular subject page looks, fix it. If you don't like how sub-subjects are arranged, rearrange them or even create a new subject page with lists the way you want them. Want to see featured books displayed more prominently higher in the subject hierarchy? We have templates for all our featured books, feel free to sprinkle them liberally all over the place. In fact. I'm going to put one right here for the hell of it.
- The question here is "how do we organize our collection of almost 3000 books (and growing) in a way that is maintainable, extensible, easy to implement and easy to browse". And I guarantee you that the answer is not "do nothing and stick with the non-solution that we already have" or "sit on our hands because change is scary". When there is something that we do not like we do not refuse to fix it out of fear that things may get a little worse before they get better: we be bold and fix them. --Whiteknight (Page) (Talk) 11:37, 11 July 2009 (UTC)
- Let me ask a few naive questions. First about the "Sort HTML lists", does this effect any other html lists, or only the dynamic page lists? If it is only the dynamic page lists, is it an option that could be set by default? Also, if we are using an older version of the Dynamic page list extension, is it possible to update to a newer version that doesn't have these limitations?
- The update to a newer version of the Dynamic page list extension was rejected recently (some months). Does "sortListInHTML" affect dynamic page lists? Does anyone know how to sort DPLs alphabetically? I doubt it. --Martin Kraus (talk) 09:29, 7 July 2009 (UTC)
- I will have to go back and read the discussion about that. I imagine there must have been stability concerns. Thenub314 (talk) 09:33, 7 July 2009 (UTC)
- I was incorrect, it seems that it was just a bit too computationally expensive on the server. The discussion was here
but reading through it makes one point clear. It should not be necessary to change any user settings to achieve alphabetically sorting. I am no expert in HTML so this is news to me, but apparently you simply need to place the list within a DIV and give it a sortListInHTMLi class to get the list sorted. Can't this be implemented directly on the subject pages? And there would be no need to bother users about their preferences. Perhaps their are compatibility issues I am not thinking of, I don't how it would work on older browsers etc.I think I misunderstood how this solution worked. Thenub314 (talk) 10:21, 7 July 2009 (UTC)
- I was incorrect, it seems that it was just a bit too computationally expensive on the server. The discussion was here
Layout
I would like to make specific what I think is the problem with the Featured books at the moment. For example, Formal Logic is a featured book that doesn't appear on the lists of under featured books at the Subject:Mathematics page because it is under a sub-subject. It would be nice to have all featured books appear at the top level. This may be accomplished by adding the top level subject to all of the books. Of course, one then may not (or may) want the list of all books in the subject displayed at the top level.
- I agree that featured books should appear in the super-subjects. Other people disagree. --Martin Kraus (talk) 09:29, 7 July 2009 (UTC)
- Really?!? What was their problem with the idea?Thenub314 (talk) 09:33, 7 July 2009 (UTC)
- I guess it is an implementation problem. --Martin Kraus (talk) 10:42, 7 July 2009 (UTC)
Now I would like to speak directly to some of Taku's specific questions about mathematics. I also find the current layout of the Subject:Mathematics page inferior to the Wikibooks:Mathematics_bookshelf. When the decision to move to subject pages was made, it was made clear that the individual subjects should be free to customize their appearance. What was seen as the real advantage of subject pages is that lists of books could be automatically generated, so to change where something appears simply adding/removing a word at the in the subject template that appears on the books main page. This is supposed to reduce the effort it takes to maintain the subject page. This being said, let me say that I never really questioned the ideas of which would take less maintenance, I just went with it because I thought decision had been made. I had long wanted to create a very close approximation to what the Mathematics bookshelf currently is by making some appropriate categories and using some of this dynamic page list features (like category intersection) to make sublists to display. I did encounter some other editors who thought my ideas were not feasible, so I have paused while I get more community input. Maybe we could fix the browsing experience. No one has a good way to fix the progress bars currently.
The categorization of books there is not perfect and I know it, but this is something we can correct. Since you asked specifically about Linear algebra, (I am assuming you mean Linear Algebra with Differential Equations and not Linear Algebra) I was responsible for that, and my thinking was that if ever evolves to the point it contains some existence theory for ODE's or some information about non-linear ODE's (as it claims it will at some point) then it contains some non-trival amount of analysis and should be listed there. You can feel free to undo that edit if you like, I won't be slighted. There are many other places that categorization could also be improved, and I would like to talk to you (and some other mathematically inclined folks) about it at some point.
You may be interested in a very rough idea of how I think we could make the mathematics subject page appear more like the bookshelf page, and have created a rough page in my sandbox. I would love some feedback about the idea. Lastly let me say that my mockup still suffers from some problems, alphabetization, which maybe is fixed. There are still no progress bars, but it may not be possible to put them in. But in this way we could generate a listing of all the books at the top level. And possibly fix the problem with featured books. Thenub314 (talk) 08:32, 7 July 2009 (UTC)
- A few comments. Using dynamic generated lists wasn't the only reason for subject pages. Having a dedicated namespace means it is possible to search by subject only and to see a complete list of subjects easily. I agree that the current layout/appearance of the subject pages isn't the best, but there is no requirement that subject pages remain that way. I think the appearance is a separate issue, but if people feel that the appear needs to be improved first that's fine. Perhaps a bug should be filed requesting that sorting alphabetically be added to DynamicPageList so javascript isn't a requirement. Recently support for showing only stable or quality pages was added to the version of DynamicPageList used by Wikimedia projects which could also be useful. Why should featured books show up on the major subject pages? I think it makes more sense for featured books to be seen on the subject pages in which the books are about. However I think that is a distraction on the issue of bookshelves vs subjects because Featured books aren't even given any special intention on bookshelves at all so its not like bookshelves have any advantage there. There is a Subject:Featured books page as well, but I don't think it makes any sense. Bookshelves used sections to separate books, subject pages just use separate pages instead, which has the advantage that subject pages are smaller and can load more quickly which is a plus for dialup, wifi and mobile users. How about instead of trying to squeeze everything onto major subjects, there is Subject Map of sorts that lists all subjects and all books for people who want it? Something similar to Wikibooks:Departments. Alternatively this map could just list all featured books by subject.
- As a side note. User:Darklama/Subject demonstrates an alternative layout that I've worked on and would like to eventually adopt. --darklama 11:23, 7 July 2009 (UTC)
- It is not completely a red herring, some bookshelves do indeed single out featured books. I suppose to answer your question I would say for the same reason featured books show up on the main page, we would like to show readers the best we have. I am also do not like the style of visiting a subject page and only encountered with only a list of Related Subjects and a few odd books that are not sorted into these related subjects yet. Why not encounter the list of books, then if you want a shorter list you can go directly to the sub-subject? The argument about Load times is not very convincing as individual modules are easily as large as the pages we are talking about. Thenub314 (talk) 11:56, 7 July 2009 (UTC)
- Again I agree completely with Thenub314. --Martin Kraus (talk) 12:27, 7 July 2009 (UTC)
- The odd books that are not sorted in the related subjects are often of a general nature, or otherwise like with the bookshelves people just don't know where the book should go and are relying on other people to refine it for them. I think its important to consider dialup, wifi and mobile users and am convinced of its importance, so I guess we'll have to agree to disagree on that. A separate page listing would not inconvenience such users as much as requiring people to first load a big page. The main difference I had in mind with the departments comparison of an overview is that it would be a separate page linked to from Subject:Major Subjects instead, so people who want it could click there first and then the subject map or individual subjects. MediaWiki provides some mobile features, I am not sure what all it does, but it might address modules by letting them load only a section at a time. --darklama 12:36, 7 July 2009 (UTC)
- Subject pages all look the same right now because I used a template to create them all initially. This was an expediency measure, the goal was to create pages and put their mechanics into place first and allow interested editors to come around later and improve them. I am certainly no artist, and you can see that from the aesthetic quality of the template I used.
- I don't know what about any ideas you have would be considered infeasible, and I don't know who would have said that. However, I can say that making a change to one subject page doesn't imply the change would need to be made everywhere. If you want to make a change to Subject:Mathematics, please do it without delay. In fact, I may make some improvements this morning just to prove that it can be done. Seriously, be bold about fixing things, you don't need to wait for people or even wait for agreement in order to prototype something new. In the worst case your changes are not good and can be easily reverted. In the best case you can create a new work of art that inspires other editors to make similar changes and improvments. --Whiteknight (Page) (Talk) 11:46, 11 July 2009 (UTC)
- Well I feel I have attempted to be bold about fixing things. The results haven't been very encouraging. I got no further then creating a single category (which had existed a month before). Then I got to have a long conversation with two administrators about why my ideas made no sense. I never even got as far as being able to make a change at the subject page and I was told that I should come here to get community involvement (hence the thread I started above). The closest thing I felt to support was when Taku came across the mathematics subject page and had the same gut reaction as myself, and decided to redirect the subject page to the bookshelf page. But it has been explained to me that the structure of the mathematics bookshelf page is the way it is because the people there were apathetic and that it has only had its current from for something like 3 years. Even when I get a sense from people that perhaps some ideas about how to improve wikibooks to make the transition to subjects smoother are reasonable, I get responses like to the effect that these changes couldn't happen without first convincing Darklama. Overall it has not exactly been an atmosphere that encourages one to be bold and make changes. Thenub314 (talk) 15:51, 11 July 2009 (UTC)
- I don't know where you got the impression that you have to convince me of anything first before anything can happen. Its wrong. You and I just disagree on how to organize the mathematic books. You want books by education levels, and I want books by subject. I see discussion as a way to find a compromise. That has nothing to do with me or anyone else being an admin. I think someone was just letting us both know so we wouldn't be working against each other oblivious of what the other person was trying to accomplish. --darklama 16:47, 11 July 2009 (UTC)
- I was referring specifically to this diff. How else should I interpret the phrase "Buy-in would be needed from Darklama..." After reflecting on this a bit, and rereading the beginning of the conversation at my talk page, while I recognize it is not the way it should be, I began to feel that your approval represented something unique. Thenub314 (talk) 22:19, 11 July 2009 (UTC)
- I suspected I was being referred to in the above paragraphs but it's clear now that I'm involved. I largely stayed out of the discussion between Thenub314 and Darklama once I made them aware of each others' actions/positions and left them to sort it out as this wasn't a major issue for me. Whether Darklama convinced Thenub314 or vice versa was to be seen. Darklama engaged in the same sort of dialogue with me when the category referenced above existed the first time. He could have simply reverted my actions back then but he didn't and made an attempt to gain consensus/compromise. That approach appeared to be needed again.
- I'll note that while I have the same position as Darklama on Category:University level mathematics books (the category listed above and formerly Category:University level mathematics), I have the same position as Thenub314 on the labeling of categories on pages (the topic referenced by the diff above). Buy-in was needed because I didn't want to get into a revert war with Darklama in the Mediawiki namespace. He initiated the change on the relevant page and therefore he was a concerned party as a major contributor to the page, not as an administrator. The dispute over this single category is symbolic of this thread as a whole and I doubt that either situation will result in an outcome everyone is happy with. -- Adrignola talk contribs 03:19, 12 July 2009 (UTC)
Maintenance
So, the use of subject pages is meant to reduce maintenance. But is maintaining bookshelves a problem right now? I can see generalizing lists (in fact, hundreds of them) of books automatically is a kind of neat. But I don't think it is needed. New books don't get created in a pace that requires any sort of automatic categorization. In case of math books, from what I have seen, maybe one or two "serious" books are added to math bookshelves every year. (Some "books" have essentially no content, and we should count them.) As far as I know, there is maintenance problem with bookshelves. (But then your milage may vary.) I can also see the point of having a dedicated namespace for listing of books. In fact, Wikipedia has portal or something namespaces for this purpose. But this can be achieved by simply moving bookshelves to subject namespaces. (Then maybe we should rename bookshelves to subjects; I never liked the name "shelves".) Actually, Wikibooks has a more serious problem of growth, which I will articulate in a new section below. -- Taku (talk) 23:00, 7 July 2009 (UTC)
- OT: I find the idea of using the "wiki to book" feature directly as a way of composing wikibooks to be... interesting. It would certainly be a change from the current system, where a page is created within the context of a book, and there is no simple way to have it show up in multiple books at once. Since books tend to offer narrative linking their elements together, this might be difficult to pull off. [a wikipedia 'book' has no overarching narrative structure for that reason] On the other hand, a slight modification that supports a small bit of original narrative text and a[n often larger] shared chapter/page that is identical across many books might be possible. Sj (talk) 16:52, 19 July 2009 (UTC)
- Subject pages are suppose to improve maintainability and allow for a more flexible system that can more easily grow as the community grows. Part of that involves a shift in focus. With bookshelves when a new book is created if a book contributor wants the book listed they have to go look through the bookshelves and try to figure out where to place the book. This can involve editing multiple pages. If a book's title or focus changes then those pages can require updating again. If the focus of the bookshelves change or refined they can require updating what books are listed and that can lead to some books becoming unlisted. I think its a very fragile system. With subjects you just update the book, which frees up time that people would rather spend on writing books on actually being able to write books. New books are created every day. I think another intent with subjects pages was to move away from a dependency on hierarchy. I don't know if your familiar with the electronic system used by libraries (and I don't really know to what extent they vary), but with the libraries I've been to I don't usually have to browse subjects in a hierarchy to find books, instead I can either look for a specific book title or I can search for books by subject and I can only see what books relate to that subject and I am given suggestions for other related subjects to look through. I don't think Wikibooks benefits from simply moving bookshelves to the subject namespace and I think doing so would be to ignore why people wanted and supported the subject namespace in the first place and why people wanted to discontinue the bookshelves and supported its discontinuation. --darklama 01:00, 8 July 2009 (UTC)
- I don't see how subject pages solve some of these problems. If a author wants his book listed he still have to go though the subjects and decide where it fits. We have just moved the editing form the bookshelf page to the books main page. (Perhaps it is slightly less editing with subjects). Changes in focus still require require changes in subject, but relative to writing a book all of the amount of editing we are talking about are trivial. It is still possible to delist books by removing them from a subject because you decided that the book is no longer appropriate for the subject it is in. In fact if anything one could now delist books in mass, if someone comes along and decides that logic is not a branch of mathematics (you'd be surprised at how many people believe this), then it is easy to remove logic from mathematic and have it under no main subject. Checking the new page log I disagree that new books a created every day. New books are created every week, perhaps, but not quite every day. And looking at many of the things that are created. I don't understand your point at all about hierarchy. Subject pages are currently very hierarchical. Yes we can now search by subject, but we would have the same ability if we just moved the bookshelves to the subject namspace and called them subjects. The current listing of "Related subjects" is not a suggestion based what was searched. In fact, so far as I have seen, is is not even related subjects, but sub-topics, so much so they are even listed this way on some subject pages. So what we are doing with subjects and "Related subjects" is in no way comparable to what libraries are doing. I don't think we are ignoring what people wanted, it just seems to be that what people currently want is not the same as what people wanted. Thenub314 (talk) 10:55, 8 July 2009 (UTC)
- Moving the editing to the books main page involves less editing with subjects. Having the software provide suggestions when categorizing by subjects would reduce the need to look through subject pages even more. Yes delisting books is still possible, but the purpose isn't to make doing so impossible, just to make it less easy to do so by accident. Yes this system makes it much easier to delist in mass, but I think it makes it less likely that it was done so by accident. The relates subjects aren't exactly based on what words you searched for, but they are related to the subject you are looking at in a similar way to what electronic library systems do. When I do a search in a library's catalog first I'm given matches of subjects that might relate to what I'm looking for, then when I view a particular subject I'm offered further subject suggestions related to the subject I picked as well as books. Maybe there isn't enough cross-relating yet like an electronic library system does. Most subject pages were based on the same template, and most of the initial work was done by the same person, but that doesn't mean that is how it is suppose to be, was suppose to be, or how it should be. If you look back at the original discussion for approving the subject namespace there was consensus to be more flexible then that. I don't think there should really be a "top" or "main" subject page, but one I think is provided for the sake of being able to browse subjects. With an electronic library system you could enter the system at any place within it, and the same is true of subject pages when you do a search like when I do a search with an electronic library system. --darklama 10:50, 8 July 2009 (UTC)
Looking into Dynamic Page List further and thinking outside the box of the existing DPL templates that call the DPL extension's tags, I've discovered that more than one category can be applied as a "notcategory". Template:CategoryIntersection limits you to one, at least for now... I've created Category:25%, Category:50%, Category:75%, and Category:100% and filed the books in Subject:Mathematical analysis into them based on the progress indicated on Wikibooks:Mathematics bookshelf. Modifying the code of the subject and using a final DPL call with several "notcategory"s avoids the duplication I thought would be inevitable if only one "notcategory" could be used. Take a look at it at User:Adrignola/Sandbox and let me know how far this goes to making everyone happy. -- Adrignola talk contribs 02:26, 8 July 2009 (UTC)
- I'm not suggesting that the use of subject pages reduce some editing times. But is it worth it? For all the complexity, for all the transition costs. Yes, currently, to start a new book, you have to edit a bookshelf, but is that the time really a problem at present? If editors are routinely starting new books every day in the same way they create new articles in Wikipedia, it makes sense to automatize the starting of new articles. But this is not the case. For example, I started just two or three books since I joined the project, since it takes a lot more time to finish books. Is there any concrete evidence that maintaining bookshelves is a significant bottleneck in productivity? All shown so far is just a theory, and the transition costs (e.g., loss of progress bars, increase in complexity, etc) seems to outweight meager benefits. In any case, since I haven't seen a project-wide poll or something, I don't agree there is a consensus favoring the switch. -- Taku (talk) 11:42, 8 July 2009 (UTC)
- There are gadgets to automate the starting of new books too. See Special:Preferences -> Gadgets. A project-wide poll took place in November 2007, as has been pointed out several times now. Wikibooks:Reading room/Archives/2007/November#Phase out Bookshelves. --darklama 11:54, 8 July 2009 (UTC)
- You just posted under a solution I came up with to show books' progress on subject pages. No, there won't be progress bars; there would be progress sections. There are no transition costs because I already went through the trouble to ensure books were properly categorized a while ago and would even double-check that every book on a shelf is listed on some subject should this go forward. -- Adrignola talk contribs 12:23, 8 July 2009 (UTC)
- "there are no transition costs because ..."! Of course there are transition costs. Your work as been part of the cost :). There is also cost going forward. There are disagreements that will continue about what subject pages should look like, should there be any uniformity to the different subject pages, where do featured books appear etc. Do we allow a book to be in both applied mathematics and mathematics? At one point I thought sure, and you reverted my edit. There is lots to be decided still, all of which represents cost. Not to mention, who says the books are currently in the right subjects. As Taku points out, perhaps some things are in the wrong place, and we would have to work to correct that. In addition we have to go through and place books in the appropriate development categories, and decide if your solution is acceptable. It gets the job done, but it is bit more disruptive to the page then the small little squares next to the book. I am not saying I couldn't live with that, I am glad to see something can be done, and thank you for putting in the work to find a possible solution. Just don't suggest that we can replace the links at the main page and the transition is complete. Thenub314 (talk) 12:54, 8 July 2009 (UTC)
- How is that any more of a cost then with bookshelves? People still have to do the same things with bookshelves. The only difference I see is that with bookshelves books get lost in the shuffle easier, bookshelves are slower to reflect changes to how books are categorized, changes in book titles, changes when books are split or merged. Any system used has some sort of cost-time issues and benefits. The past consensus was that there was more of a benefit in the transition costs of moving to subjects then there was in sticking to bookshelves or in maintaining bookshelves. --darklama 13:57, 8 July 2009 (UTC)
- I am not convinced it is less costly. And not every maintenance task is easier with subjects. For a simple example, I recently wanted to move where the Topology book appears out of geometry and into a new subject, preferably named Topology, and then throw Combinatorial Topology into this new subject with it. But in order to do this it was first necessary to recategorize every page of the Topology book to be a category called "Topology (book)". I had this very same problem when I first started working on the mathematics subject page, which had many book pages under it, and also with the Algebra subject. I even pointed out this was likely to be a problem back in March and you told me that the capital/lower casing takes care of this most of the time. To take another related example, imagine that sometime down the line when subject pages are stable and don't need to edited often, someone can start a book, categorize all of its pages using the name of the subject the book is on. Because these things are dynamic one it may take a long time for someone to notice the pollution of the dynamic lists, because it won't appear on anyones watchlist. By this time it is noticed there may be alot more work to do. So now to make sure no vandalism has occurred one needs to actually visit these pages on a regular basis. So I am not convinced this takes less maintenance, and I know it was decided that it would be once, but now we are in the thick of it, it is much less clear to me.Thenub314 (talk) 14:37, 8 July 2009 (UTC)
- You would of needed to do that for the category system anyways so that categories wouldn't be polluted. Bookshelves can easy get out of sync with categories and people wouldn't notice a problem for a lot longer. People can also get stuck trying to figure out which one was most recently changed or which one should be fixed. At least with subject pages a problem would be immediately apparent when viewed. A watchlist won't help you know that a book's placement in bookshelves has changed while the category did not, or even where the book went to. A watchlist can help you know that a book's placement in the subject system has changed though by simply adding the book to your watchlist. --darklama 16:54, 8 July 2009 (UTC)
- Where to begin... sure a watch list would let you know that a books placement on a bookshelf has changed, you just watch the bookshelves that contain books you edit. If someone moves it you can find where the book has gone to by checking the "What links here" page. (Or check the edit history of whoever moved it.) Where as if someone moves logic somewhere else, and your book is filed under logic, you have might not notice (and might not be happy about) the fact your book is no longer accessible through the mathematics subject. Of course you could watch all the subject pages which contain your book, and the parents of those subject pages and so on, but that is just as complicated as watching the bookshelves. Previously the categories for Algebra and Topology contained pages for these books, there was no problem. Then when we wanted to created Algebra and Topology subjects, that necessitated clearing out these categories and making them into something else. That is, it was the creation of subjects that created the maintenance problem. Why is it a big problem if bookshelves get out of sync with categories? Both are supposed offer a way to browse books, but there is no real need for both systems to be in lock step. Yes you could see if someone polluted categories of subject pages by just looking at them. The question is how often do you expect to look at a given category or subject page once it is finished. My point was bookshelves have the advantage of being resilient to this kind of problem. Thenub314 (talk) 17:37, 8 July 2009 (UTC)
- No. Subjects only brought more attention to and highlighted an already exist problem with categories. Categories were polluted long before the subject namespace. Subject categories existed long before the subject namespace. Conflicts between subject category names and book category names existed long before the subject namespace. I expect subject pages to be looked at as often as bookshelves would be. I don't think the bookshelves are more resilient to problems. My point is that you are blaming subjects for creating problems it didn't create. --darklama 18:37, 8 July 2009 (UTC)
- In the cases of Algebra and Topology I mentioned above subjects did create the problem. Before that these categories clearly stated that they contained the pages of specific books. There was no pollution to speak of, the categories described what they were and contained what they described. It was the desire to create subjects by the same name that made it necessary to alter these categories that were doing a fine job of what they set out to do. Thus as I was trying to say creating subjects may create a non-trivial amount of maintenance to be done. Thenub314 (talk) 10:32, 9 July 2009 (UTC)
- The Algebra category may have clearly stated its intentions to be for a specific book, but it was not being used that way. Other books and even subpages of other books were listed in that category. The Algebra category was far from being the only category that didn't consist of and weren't doing what was described. Again subjects didn't create that problem. If anything I think subjects helped to solve problems. --darklama 12:22, 9 July 2009 (UTC)
- Your right now that I think back to it, I did a lot of that work back in march and there were somethings in the algebra category that were out of place. Looking back through edit histories 60% of the other books that were listed in this category became added there because people were adding inappropriate subject tags. With many of the other pages the other pages that were there there had been lots of take about merging. Topology didn't suffer from the same disorganization, and neither does calculus, which is something I would also like to fix. Subjects do create problems if you happen to want a subject name identical to an existing book name. Subjects may have caused us all to look closer at categories for a while and fix the problems we found, but it is a temporary artifact of us setting them up. Once subjects are set up you must admit that this kind of pollution can and probably will happen to some subjects over time. I see no clear evidence that subjects are currently decreasing maintenance, or that they will "cheaper" to maintain in the long run. Perhaps they will, but it is not that they win hands down. Thenub314 (talk) 13:23, 9 July 2009 (UTC)
- An administrator can perform a mass move of every page in a book that does not have a descriptive enough title to avoid conflicting with a subject category. I've also considered going through and protecting single-word pages and redirecting them to the subject of the same name to prevent people that from creating a book at that location in the first place. I'd also like to point out our different systems: bookshelves, subjects, categories, alphabetical classification, Library of Congress classification, Dewey Decimal classification, and reading levels. To have progress indicated on subjects there's now a possibility of having a system classifying by progress level. It's hard for me to take arguments on maintenance (for or against subjects) seriously when I look at the big picture. -- Adrignola talk contribs 18:46, 8 July 2009 (UTC)
- I would like to go on record as saying I do not like the idea of preventing people from using single word titles. It is both standard practice when writing boos and often appropriate. I would also like to make clear that I was not arguing against subjects, nor saying subjects require more maintenance. Just that it is not clear, at least to me, if they take any less maintenance. Thenub314 (talk) 10:39, 9 July 2009 (UTC)
(outdent)
I've got two comments to make here, one about maintenance of subjects versus bookshelves, and one about category naming conventions as they pertain to one-word book names.
There seem to be at least two dimensions of maintenance considerations involved with subjects versus bookshevles.
- There's start-up versus long-term maintenance. In order to plan for the long-term benefit of the project, start-up is to be ignored, because in the long run it's trivial (only in the here-and-now is it an appallingly hugely colossal pain).
- There's the amount of work involved, versus the likelihood of cumulative errors. The amount of work is far less important than the errors. We're now talking about long-term maintenance on a massive scale, and that means that (a) much of it will be done by users who lack expertise, and (b) there won't necessarily be anyone actively watching out for the interests of any given book. My impression of the maintenance argument for subjects is that subjects make it less likely that, as a result of long-term shifts due to maintenance by inexpert users, books might get dropped from bookshelves while nobody is actively looking out for the particular interests of those books.
Naming conventions
The naming convention for "book categories" versus "subject categories" has struck me as slightly kludgy, and combing through this thread should turn up quite a litany of problems with it — ways that it can facilitate errors — but that's not about subjects versus bookshelves, it's about names of categories. We could "easily" change the naming convention; it would only take an appallingly huge amount of start-up work. For example, we could say that the book category name is the book name with " (book pages)" added at the end, which is something that {{BookCat}} could be made to do automatically (with an appallingly huge amount of pedestrian work, probably to create new categories under the new names before changing the template, to recategorize pages that don't use BookCat, and finally to delete the old categories once they're empty). --Pi zero (talk) 14:47, 9 July 2009 (UTC)
Postscript: An example of a possibly-more-useful alternative naming scheme for book categories would be to prefix "Pages/" "Book/" to the front of the name of the book, so that book World War II would have book category Category:Book/World War II , and book Wikijunior:Solar System would have book category Category:Book/Wikijunior:Solar System . This would preserve the property that the name of the book can be extracted automatically from the name of the book category. --Pi zero (talk) 23:36, 9 July 2009 (UTC)
- I like this idea, as you said it will require a certain amount of startup work, but may be worth it in the long run. If we decided to do something like this we should make sure to write a description of exactly what so that editors that are long on energy, but short on intellect (like myself ;) ) doe make a mess of it. Thenub314 (talk) 06:58, 10 July 2009 (UTC)
- Or a policy could be created requiring titles to be two words or longer so that the conflicts can be avoided in the first place. I do not favor the above proposal because it needlessly complicates things for every book in the wiki in order to accommodate a few exceptions. Big deal if you can't have the prime one-word title that would make your book the de facto leader on the subject. We've already given the exceptions unique category names and I have no desire to invert the system for the 3000 books in the wiki. What I can handle is renaming the few exceptions there are so that there are no longer any exceptions. Work smarter, not harder. -- Adrignola talk contribs 13:04, 10 July 2009 (UTC)
- I agree. I'd like to go even further and make it against policy to use any subject name as the title of a book. If for no other reason than to prevent a sense of favoritism for one book over others when multiple books can co-exist on a subject. If other books exist they are forced to use another name already, so why should the first book be so lucky? --darklama 13:24, 10 July 2009 (UTC)
- The issue of book/subject name coincidence strikes me (now that it's presented this way) as a distraction from that of book-category naming conventions; I'll address the latter in a separate comment. While I'm being distracted too, though, I'll remark that
- short book names are inherently desirable, though of course clarity is too, so one-word book names are good when they are clear (which includes not causing confusion due to being the same as the name of a subject category... if indeed that actually causes confusion).
- if a book has the same name as a category, it isn't obvious to me that that would necessarily be a problem; in many cases it might be a problem, but why assume that it would always be so? Seems like it ought to be up to the community to decide whether any given case is a problem, and if so, which of the two ought to be renamed — since it also isn't obvious to me that, in case of both having the same name, it is necessarily right to force the book to change its name to accommodate the choice of subject name. Perhaps one should not be allowed to create a book with the name of a pre-existing subject, or vice versa, without first getting the community's okay to do so (or, conceivably, permission to rename the pre-existing entity). --Pi zero (talk) 15:15, 10 July 2009 (UTC)
- The issue of book/subject name coincidence strikes me (now that it's presented this way) as a distraction from that of book-category naming conventions; I'll address the latter in a separate comment. While I'm being distracted too, though, I'll remark that
- Right now there's a conflict with Subject:Algebra and Subject:Geometry and the books of the same name. Which needs to be renamed? The book, which should indicate target audience or skill level, or the subject, which needs to be inherently vague/general in order to encompass multiple books? The choice to me is clear: the book.-- Adrignola talk contribs 15:40, 10 July 2009 (UTC)
- Interesting cases in point. Giving a book a title that's the same as the natural name of a subject does imply that the book covers, at least in overview, the entire subject. Whether that can sometimes be okay... is murky to me. On these specific cases: Book
Algebraappears (on admittedly cursory inspection) to be actually a book about w:elementary algebra, in which case its title is misleading and it ought to be renamed toElementary Algebra. BookGeometryis an at least somewhat different case, because its outline suggests that it is actually intended to cover the entire scope of the subject. Choosing a natural title for it would seem to require first resolving the question of what its scope should be. Does it aspire to be an overview of the whole subject? Does it aspire to fully cover the entire subject? Is it ever appropriate for a book to try to fully cover its entire subject, and if so, would that turn it into a different kind of entity, something other than an book (as Taku speaks of in the #Is Wikibooks growing? thread, putting one in mind of the Cookbook)? Should the scope of theGeometrybook be narrowed, and if so, to what? --Pi zero (talk) 17:08, 10 July 2009 (UTC)
- Interesting cases in point. Giving a book a title that's the same as the natural name of a subject does imply that the book covers, at least in overview, the entire subject. Whether that can sometimes be okay... is murky to me. On these specific cases: Book
- I think an overview of a subject is not really enough to be a book. A book can include an overview of a subject, but to consists of only an overview, I think that is what Wikipedia is for. I think trying to cover everything might be problematic. People will have different opinions on the amount of detail that is required to cover everything, and what order things must be covered in order to properly cover everything. The organization of the book will constantly have to change to reflect an increase in coverage and an increase in material. In other words I think having too broad a scope can be just as problematic as too narrow a scope. I don't think too narrow or too broad a scope can be defined, but rather judged to be so on a case by case bases. With printed books, if a book becomes too big in the eyes of the publisher it either gets cut down to size or turned into a series of books or volumes. To get back on track a little bit though, if Geometry is intended to have a broad scope, to borrow an euphuism from some other books, it could be called Geometry Noob To Pro. --darklama 17:46, 10 July 2009 (UTC)
- First, as a side point, let me say that I think I may have a different definition of the word overview. I would say that most books in mathematics are mostly an overview of the subject they are interested in and skip the finer details to be left to more advanced texts (or future research). Some subjects are necessarily an overview, such as the History of Mathematics. Where you are compelled to discuss all of the relevant periods, but one is usually prevented from going into too much detail.
- I support single word book names. If it were named something like Noob to Pro you would attract fewer editors to work on it. Simply put I believe that Geometry is an appropriately named book. And, no offense intended to anyone here, but who are we to redefine the scope of the book? As anyone here contributed to it seriously? Or even beyond categorization? Do any of us intend to write on the subject proper after we redefine the book to have a scope that fits our categorization schemes?
- Finally I have a side question. Is it official policy for books to have their sub-pages in some category? I didn't find reference to it, but it occurs to me that some issues may be resolved if the pages of a book simply didn't need to appear in a category. Thenub314 (talk) 08:12, 11 July 2009 (UTC)
- Yes, this was my intention when I used the word overview; I've wondered if perhaps the word survey would have been a more effective choice for my purpose.
- The name of book
Geometryhas two sub-issues: Is the scope of the book inappropriate (because if so then the title is too); and if the scope is appropriate, is the title still inappropriate?
- The name of book
- I do think, in fact, that the scope of the book is entirely appropriate as-is. The outline covers more basic stuff in depth, and more briefly covers advanced topics, which is a pattern I recognize from any number of my own college textbooks. On the more general question of the community tampering with the scope of individual books, well, yeah, with sufficient cause, and with procedural safeguards; happens all the time over at WB:VfD. We're just brainstorming here (I think), and in fact I for one don't see sufficient cause; as I said, the scope of the book looks entirely appropriate to me. Changing the title requires somewhat less dire cause, I think, though still, surely, procedural safeguards (and we're still just brainstorming... I think).
- Given that the scope of the book really is geometry as a whole, the possibly valid reason for changing the title would be, I suppose, that it doesn't sufficiently express the content of the book. There is another book called Geometry for elementary school; perhaps a title that makes clear the level of the intended audience? Note that this is not an accidental consequence of the names chosen for categories, but rather an essential consequence of wanting the title of the book to clearly convey what's in the book.
- All pages of a book go in a "book category", whose purpose is exactly to hold the pages of the book, because otherwise it would be much harder to keep track of things on both a book- and project-wide scale. (For one thing, if all non-main book pages were uncategorized, Special:UncategorizedPages would be virtually useless.) --Pi zero (talk) 11:43, 11 July 2009 (UTC)
I propose...
- As a top level page, we would have a page called Wikibooks:Library. This page would list sections and sub-sections like the page, Wikibooks:Departments does.
- Next would be sections (like Departments)
- Technology
- Science
- etc.
- Within that would be subjects (book-shelves) and sub-sections (a new addition).
- Science
- Science/Astronomy (sub-section)
- Science/Biology (sub-section)
- Subject:Chemistry (subject)
- etc.
Within the subjects are the books.
This seems like it would work very well.
Thanks. Arlen22 (talk) 00:49, 30 July 2009 (UTC)
- I'm fine with having a page like Library to replace the departments page. I disagree with having departments and sub-sections.
- The problem with having departments is that lead to confusion in the organization of books due to name overlaps with other parts of the system. Take Wikibooks:Social sciences department and Wikibooks:Social sciences bookshelf as an example. The system is better off being simplified where no overlaps in names is possible and where books that are of a general and broad nature can be placed higher up in the organizational system, as is the case already with subjects and categories. With the departments and bookshelf setup people can add books to the department pages instead rather then placing them on the intended page.
- The problem with sub-sections are that topics can be part of more then one subject area. Take Logic for example. I don't think there should be pages called Science/Logic, Computer_Science/Logic, Mathematics/Logic, Computer_Programming/Logic, Electrical_Engineering/Logic, Software_Engineering/Logic, etc.
- I think the departments and bookshelves system is an example of the Limits Of Hierarchies and why Hierarchy (is) Considered Harmful. I think readers and new contributors have noticed this problem for years because of discussions that have popped up from time to time on various discussion pages. Having Sub-sections would only add to that problem.
- There are better Alternatives To Hierarchy, such as Visualizing The Proximity of Contents, Trees VS Semi-Lattice, TreeMap, Complexity reduction, and so on.
- What a lot of the alternatives to hierarchy have in common is overlapping sets or intersections are possible which allows for more accuracy in defining how things relate to each other, there are multiple paths or ways to get to the same information which means a person can often find what they need without backtracking or having to familiarize themselves with how specialists in a field classify things first, and don't need other organizational systems in place to keep it organized which IMO defeats the purpose of an organizational system if it needs another one to make sense of it and to navigate it. --darklama 13:45, 30 July 2009 (UTC)
- I see what you mean, but I think that Wikibooks could benefit from a library page where the different subjects are listed, as in Wikibooks:Departments. The Major Subjects page sounds like popular subjects, not parent subjects. Any thoughts on that? Arlen22 (talk) 13:55, 30 July 2009 (UTC)
- Sure I think popular might be a more accurate than major. I was going to possibly propose deleting the major subjects page depending on how the department page's replacement turned out. --darklama 14:00, 30 July 2009 (UTC)
- So what are you proposing? Is this new page going to replace the departments page or the top-level subject page? -- Adrignola talk contribs 20:17, 30 July 2009 (UTC)
- Both if it provides enough of an overview to satisfy most people. I don't think there should really be a topic level subject page or any specific entry point for browsing subjects. --darklama 20:27, 30 July 2009 (UTC)
Done. Wikibooks:Library --Arlen22 (talk) 17:56, 30 July 2009 (UTC)
Oppose I am not particluarly a fan of this idea. One specific complaint not mentioned above is that use of the term "Library", which may distract from the idea that this project focuses on textbooks. Thenub314 (talk) 10:49, 31 July 2009 (UTC)
- Then what shall we call it? School Library? :) Arlen22 (talk) 11:49, 31 July 2009 (UTC)
- Well, the page you propose I think is best suited as a replacement to the Major subjects page, why not just keep that name? Thenub314 (talk) 15:08, 31 July 2009 (UTC)
- When I first saw it I assumed it was being designed as a replacement for the major subjects page myself and was thinking about history merging it in. -- Adrignola talk contribs 18:05, 31 July 2009 (UTC)
- It is a replacement for the major subjects page basically. But we don't need to history merge it as it has nothing to do with it any way. It wasn't more then putting lists in a table. I am glad you like it. Arlen22 (talk) 18:58, 31 July 2009 (UTC)
- I mean that I made this page to be used instead of Subject:Major Subjects not to be merged into. Hope I am not confusing anyone. Arlen22 (talk) 19:20, 31 July 2009 (UTC)
Should this be posted to the bulletin board? Arlen22 (talk) 19:34, 31 July 2009 (UTC)
- I have noticed that WB:SUBJECT now points to Wikibooks:Library instead of Subject:Major Subjects. Are we ready to merge these two pages then at the Major Subjects page? Thenub314 (talk) 10:43, 2 August 2009 (UTC)
- PS. I have changed this back for the time being. Thenub314 (talk) 11:33, 2 August 2009 (UTC)
- I don't think we need to merge it as they are basically redundant and I did design the page from scratch. Arlen22 (talk) 11:58, 2 August 2009 (UTC)
- I moved the library page over the major subjects page, since it contains the same content and more. It was basically already merged in content, but I did restore the old revisions that were deleted to make way for the move so the original creator of the page is preserved in the history. The benefit of this is that the page has been improved but no links have to be updated. Thanks for trying to help us get a system going that everyone can be happy with. -- Adrignola talk contribs 13:12, 2 August 2009 (UTC)
- Thanks, Thenub314 and I decided yesterday that history merge would be required. Arlen22 (talk) 12:16, 3 August 2009 (UTC)
Copyright violation
This userpage seems to be a copyright violation. [1] Kayau David Copperfield MOBY DICK the great gatsby 08:39, 2 August 2009 (UTC)
- I don't think so. First it is under a Project Gutenberg License. Second, concerning possible copyright, it is written before 1923. Arlen22 (talk) 12:19, 2 August 2009 (UTC)
- Really? Sorry. Kayau David Copperfield MOBY DICK the great gatsby 13:31, 2 August 2009 (UTC)
Merge
I think Wikijunior:Ancient Civilizations/What is a Civilization? and Wikijunior:Ancient Civilizations/Archeology should be merged into Wikijunior:Ancient Civilizations/Introduction. What is the proper way to propose it? Kayau David Copperfield MOBY DICK the great gatsby 07:26, 3 August 2009 (UTC)
- Add
{{mergeto|Wikijunior:Ancient Civilizations/Introduction}}to the top of "What is Civilization?" and "Archeology". Add{{mergefrom|Wikijunior:Ancient Civilizations/What is a Civilization?}}and{{mergefrom|Wikijunior:Ancient Civilizations/Archeology}}to the top of Introduction. --darklama 12:00, 3 August 2009 (UTC)
- And if no one objects, and you do the merge yourself, don't forget to place the
{{now merged}}tag onto the tops of "What is Civilization?" and "Archeology". Thenub314 (talk) 12:12, 3 August 2009 (UTC)
- And if no one objects, and you do the merge yourself, don't forget to place the
- Thanks. Kayau David Copperfield MOBY DICK the great gatsby 07:48, 4 August 2009 (UTC)
Subject:Major Subjects
What do you think of renaming it to Wikibooks:Subjects? If you don't want to just write "{{keep}} ~~~~". If you have any other suggestions, post them here. Arlen22 (talk) 12:35, 3 August 2009 (UTC)
- I think it should stay in the Subject namespace so people searching the subject namespace can find it. So Subject:Subjects if anything. --darklama 12:50, 3 August 2009 (UTC)
- How about Subject:Contents Arlen22 (talk) 02:22, 4 August 2009 (UTC)
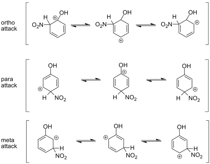
A Wrong Picture ??
For the picture
I think it should be wrong but i don't know how to modify it.
The positive charge in the second 2 ortho attack structures should be on 2 meta-carbons and the C=C bonds should be correspondingly placed. (It is impossible that a carbon can have 5 covalent bonds!!)
- You've got to upload it in the commons. You could ask for instructions there. Kayau David Copperfield MOBY DICK the great gatsby 05:26, 6 August 2009 (UTC)
Barnstar
I think we should introduce w:barnstars here. Wikipedia has a long history of such awards. They will be helpful in showing our gratitude and motivate us to keep working. Kayau David Copperfield MOBY DICK the great gatsby 05:31, 6 August 2009 (UTC)
- Barnstars are part of the community personality of Wikipedia. The vast size of Wikipedia both helps makes barnstars work and creates a real need for the sort of community cohesion that they build. The great uniformity of task on Wikipedia is also key in allowing barnstars to serve that function, and further heightens the individually oppressive and collectively community-decohering effect of the size.
- Wikibooks is a much smaller place with a small-town atmosphere, and also lacks the extreme uniformity. The nature of the tasks here is inherently more diverse and free-form. Further, I think the community is largely subdivided into micro-communities, each concerned with a single book or small set of books, and another micro-community of folks who work on project-wide stuff. Although in some ways reminiscent of Wikipedia's WikiProjects, these micro-communities have more strongly disjoint jurisdictions. The diversity of Wikibooks tends to have natural cleavage between books.
- All in all, I don't think the barnstars tradition (as such, anyway) would work here. --Pi zero (talk) 14:18, 6 August 2009 (UTC)
Short Cut to Book
What do you guys think about having shortcuts to books? Here's why I want to do it. Next week I am going to an International Pathfinder Camporee in Oshkosh, WI, USA. There will be 33,000 Pathfinders there, all of whom are the target audience for my book, Adventist Youth Honors Answer Book. I was thinking I would like to print up a bunch of business cards promoting the book, but the URL for it is just huge:
I'm thinking a shortcut might serve the book a little better:
I can fit that on a business card, no problem. When I started working on this book nearly five years ago (it has been a long time!) I read the naming policy which stated something along the lines of "no abbreviations in the name." I dutifully followed the directive. But man - that sure makes for a long URL. I'm not looking to rename the book - just to make it easier to share with others. Thoughts? --Jomegat (talk) 03:26, 7 August 2009 (UTC)
- I don't have any objections to that. Aren't there redirects already in place for the Old Dominion University books? Plus, you've got all the WB: shortcuts as well. I've also noticed a certain user plugging their book via redirects to catch various search terms in the box at left. That policy would apply to the book and not redirects, in my opinion. -- Adrignola talk contribs 03:44, 7 August 2009 (UTC)
- I did not anticipate any objections, so I went ahead and created the redirect. If there are objections, it can be deleted. Do you want to put the page in some category, or do we just leave it alone? --Jomegat (talk) 04:06, 7 August 2009 (UTC)
- The issue it that you can't guarantee redirects will survive and prevent them form being temporary redirected (since they will be not as strongly monitored) and IIRC someone had a good argument against book redirects (this was covered probably on a VFD, I hope I'm not referencing myself since on the top of my head as a practice I can see several points against it). Since you are putting that information in a business card a better alternative would be using the one of the freely available url shortcut tools (I've consistently made use of notlong.com , it puts the url fully under your control and you can even have statistics about it's use, that can be useful if you decide to repeat the idea you will have some metrics to support the concept, or even enable you, later on, to redirect it a more directed page on your userspace)... --Panic (talk) 05:09, 7 August 2009 (UTC)
- Hi Panic. Thanks for suggesting notlong.com, but have one objection to using it. I really wanted Wikibooks.org as the domain in the URL. I think it's good for the project, and I think it's good for the book too. --Jomegat (talk) 13:32, 7 August 2009 (UTC)
- I did not anticipate any objections, so I went ahead and created the redirect. If there are objections, it can be deleted. Do you want to put the page in some category, or do we just leave it alone? --Jomegat (talk) 04:06, 7 August 2009 (UTC)
Well, I doubt this redirect will end up pointing at the wrong place but academically it is a good point. I am going to suggest/implement the following idea. Orphaned redirects that are not likely to be searched for are often deleted. A policy I support and I try to frequently tag unnecessary redirects. As part of this conversation we should link AYHonors, so if anyone checks the "What links here" for the redirect they will be pointed to this conversation and see the reason why this redirect exists. —Preceding unsigned comment added by Thenub314 (discuss • contribs)
- On putting the page in a category, I would say no. I've consistently removed categories from redirect pages, since they do not appear in any listings of uncategorized pages if they lack categories. They also distract from real pages in the category listing and deceive by making it appear that there are more books than there are. On orphaned redirects, while I don't seek them out, if I'm fixing the name casing of a book I'll delete them so that if any page is moved again, we don't end up with a double redirect. -- Adrignola talk contribs 12:02, 7 August 2009 (UTC)
- Interestingly, as I'm moving orphans, I see I can no longer suppress redirects to avoid creating an orphaned redirect in the process of moving the page. It's nice to know group rights can be changed without notice or consent by the community. -- Adrignola talk contribs 13:17, 7 August 2009 (UTC)
- Did this happen at the same time this try beta link appeared? Maybe in rolling out the version of the software that had this link someone made some accidental change. Either way we should file a bug report. Thenub314 (talk) 14:42, 7 August 2009 (UTC)
- Yes, I do believe so. I don't think the developers make Wikibooks a high priority, though. Bug 20110. -- Adrignola talk contribs 15:31, 7 August 2009 (UTC)
- The bug has been fixed. It may be worth noting that it affected Wikipedia as well (which may have sped up the resolution time). -- Adrignola talk contribs 17:15, 7 August 2009 (UTC)
Finding things
- This started out as a prospective contribution to the "Is Wikibooks growing?" thread; but while that would have worked when that thread was near the bottom of the page and active, it wouldn't work so well now that it's far up on the page and inactive. Also, while some of this is very Big Picture, some of it is also pretty specific. So when I finally got it whipped into presentable shape, I decided to post it under a fresh thread.
During the great purge, when most of the physical card catalogs (in technologically advanced parts of the word, anyway) were destroyed, it was noted that good physical card catalogs contained valuable information that was not being captured by the electronic systems that replaced them. Electronic string searches are so clearly doing something that can't be done on masses of hardcopy, that in our excitement over these new abilities, we were apt to overlook what they can't do: they can't provide thoughtful insight into the semantic content of the text. You'd think that was obvious, except that evidently it wasn't. Anyway, the sort of thoughtful insight that was lost when the card catalogs were destroyed, is being recreated for Wikipedia in the form of disambiguation pages, hatnotes, and redirects. It's getting to the point where, when you enter a search on Wikipedia, if you get back a search page it's disappointing, because that requires you to do all the thinking, whereas a disambiguation page or the like would have taken care of some of the tedious meta-level thinking in advance.
But Wikibooks doesn't allow its customers to bypass the overhead of meta-level thinking: here, the alternatives to a string search — categories, bookshelves, subject pages — are all classification systems, less chaotic but not necessarily less effortful than deciding what to do with the results of a string search.
I'll put a pin in that for a moment, and explain why it may be a key issue in the future success of Wikibooks.
Potential contributors. As an alternative to the beguiling "stupid and lazy" model of typical potential contributors, suppose they are smart and distracted. People are a valuable resource for Wikimedia projects because they're smart (smartness being never more evident than when people are making "stupid" mistakes: computers don't make stupid mistakes, they make mindless mistakes). As for distracted, people have other things going on in their lives besides contributing for free to Wikimedia projects.
Recognizing that people have limited time for Wikimedia projects leads to a long tail model of project contributions. Long tails are what makes amazon.com and Netflix work: Of all the potential sales, a significant fraction of them are potential sales of items that have individually very little demand (obscure books, obscure movies). If there were even a small overhead expense to serving those low-demand items, then it wouldn't be economic to serve them at all; but if a way can be found to avoid attaching even a very small overhead to them, then the total area under that part of the curve (that is, the area under the long tail of the curve) could make all the difference in viability of the enterprise as a whole.
To apply the long tail mathematical model here, consider contributions to the project of a certain size. Individual items (points on the x axis) are particular potential contributors, and "demand" (height of the curve on the y axis) is how much effort they're willing to put into it. The first time someone comes to Wikibooks, they probably haven't already been convinced that it's worth a lot of effort to hunt for the right book; so if we want to hang on to them as they wander past us on the Internet, we need to make it really easy for them to find something that will interest them. Give them a search box such that no matter what they type in, they're likely to get back something coherent, at least akin to a WP disambiguation page. If we ask them to follow a treasure map through a classification system, some of them will do that, but the long-tail theory says that there are lots and lots of people out there who won't put in that much effort, yet who, if we had only managed to snag them on that first encounter, would have gotten more and more involved with the project over time. The loss to the project per person might be tiny, but if there were a million of them (or ten million (or a hundred million)), the cumulative loss to the project would be significant.
After we manage to hook them on that first encounter, they will hopefully have a higher opinion of the project, and will therefore subsequently be willing to invest a little more, so they become potential investors for a slightly larger purchase, such as making a small edit to a book. And so on. That's how Wikipedia picks up contributors: by making it really easy to get started, and then really easy to get a little more involved, and fairly easy to get a little more involved, and moderately straightforward to get a little more involved. At each stage in the process, you're dealing with people who have been convinced, by earlier stages, that it's worth investing just a little more than they had before. The base of the pyramid, that everything else is predicated on, is the potential users who come to the project for the first time with no prior experience of it. Even a very small burden placed on those first-time users could cut off a lot of the long tail. The long-term viability of the project can depend on how many keyclicks and mouse clicks — and neuron firings — it takes for the first-time user to find what they want.
Of course all these other things we've been discussing lately — bookshelves and subject pages, and categories, and FlaggedRevs, and what-not — are important parts of the elephant too. But they're further up the pyramid.
Keyword search. Okay, that brings me back to the pin I stuck in the question of how to find things.
First, what should the search facility look like? How about this: a dialog box that one can type a short description of a topic into, and expect to get back a well-targeted, convenient list of relevant books. (That's in contrast to the search box we now have at Wikibooks, which never gives back a well-targeted convenient list of relevant books: it either takes us directly to a book, or it gives us back a mechanically prioritized dump of search matches.)
- Should the result of a query always be a list of targets, or should it sometimes take you directly to a target page (book main page or book section page)? The potential difficulty in going directly to a target is that, unlike Wikipedia, we don't have hatnotes at the tops of our pages; so if there are other pages that are also related, that information won't be made readily available. I'll assume for how that a query result is always a list of targets.
- Should the targets resulting from a query be only book main pages, or should they include section pages as well?
- To be really useful, the list of targets returned by a query should be sorted, at least crudely, by completion — stubs clearly marked as such, for example, so that people aren't unpleasantly surprised when they click on the link and there's essentially nothing there; that would be a turn-off, and we want the first-time Wikibooks user's experience to be positive.
The second big question is, how should these query-result pages be generated?
- I submit that they cannot be directly generated by hand. Wikipedia generates disambiguation pages and redirects and hatnotes all by hand, but there the targets are essentially simple and static, and even creation of new articles largely follows predictable patterns. At Wikibooks our targets have much more complex structure — that being a large part of what differentiates a book from a set of articles — and contributors are apt to concentrate wholly on the content of individual books, so that overhead on remote pages (like bookshelves or subject pages) is apt to be underattended. And if we have trouble paying enough attention to bookshelves and subject pages, just imagine how much worse the problem would be if we had a hundred or a thousand times as many such pages to worry about; that's not gonna happen.
- The query-results have to reflect a process that had some thought put into it somewhere, so since that thought doesn't occur at the query-result itself, presumably that means the thought has to be distributed amongst the targets themselves. Academic papers routinely have a list of "keywords" after the abstract; perhaps we could use something similar. Very careful thought is needed in advance to just what kind of "keywords" we're going to put on the individual pages, because it would be a right mess to change our minds after distributed creation of these keyword lists is already underway.
- Part of figuring out what should be provided in the way of distributed "keyword" information, is figuring out what transformation should be performed on that information to automatically generate query-result pages.
- Separate from figuring out the transformation, is figuring out how to implement the transformation. I have a (sinking) feeling that javascript would be involved, at least initially, but since I've managed to avoid studying javascript to date, for now that's just a feeling. In any event, choosing the transformation is much more immediately important, because creating the distributed information depends on grokking the transformation rather than its implementation, and once the information is available it's always possible to try different implementations.
--Pi zero (talk) 17:55, 7 August 2009 (UTC)
ref and references tags
I was just fooling around replacing the {{ref}} templates with the <ref> tag in Adventist Youth Honors Answer Book/Recreation. I ran into a bit of trouble when I tried to add the citations to the bottom of the page by adding <references/>. Basically, I'm not seeing the citations. Are these tags supported at WB, or is that a WP-only thing? Did I do something wrong? If so, I sure can't see it (which is possible, since it's well past time I should be in bed). --Jomegat (talk) 04:36, 7 August 2009 (UTC)
- I added a couple of "/ref" tags, but there is still another problem: "references/" does not seem to work after "DynamicPageList" ! Weird... - Erik Baas (talk) 08:57, 7 August 2009 (UTC)
- Those closing tags shouldn't have been added. They followed self-closed <ref name="blah" /> tags, similar to <br />, <hr />, and <img ... />. (Technically, none of the <br> tags on that page are closed.) -- Adrignola talk contribs 12:32, 7 August 2009 (UTC)
- Thanks guys. All better now! --Jomegat (talk) 13:45, 7 August 2009 (UTC)
- Those closing tags shouldn't have been added. They followed self-closed <ref name="blah" /> tags, similar to <br />, <hr />, and <img ... />. (Technically, none of the <br> tags on that page are closed.) -- Adrignola talk contribs 12:32, 7 August 2009 (UTC)
Hello,
Since you all seem to understand what it all means, perhaps somebody would condider adding a description to the Editing_Wikitext book. It would benefit from superscript and subscript notes too, and any others that the more established crowd are familiar with.
Anonymouse.
Template:TopNav
I don't know if anyone else notices this, but the navigation links provided by this template seem to be overlapping the level one hr of page titles. I tested this in IE 8 and Firefox 3.5. It uses an id of "top-navigation" that I didn't see a listing for in MediaWiki:Common.css or its subpages. -- Adrignola talk contribs 15:56, 7 August 2009 (UTC)
Difference between 1999 and 1997 constitution in nigeria
Please tell me the difference between the 1999 and 1997 constitution in nigeria.
- This page is where Wikibookians help each other solve problems encountered while contributing to books or otherwise taking part in the Wikibooks community. I'm sorry but it is not a place for general questions. --Swift (talk) 02:24, 17 August 2009 (UTC)
Linking ideas
Hello--I'm a fairly experienced Wikipedia editor, just coming to Wikibooks. I was constructing my user page when I ran into the problem that I wanted to be able to link terms (such as behavioral economics) to their Wikipedia entries, and didn't know if there was a simple way to do so (rather than including an HTML link).
...but then, looking around I see that hyperlinks aren't the norm here at Wikibooks? Is the aim to produce books that would work best on paper? My bias is to include links to concepts which could use more elaboration than they'll get in the book text.
So, the question in my mind started as technical, but rapidly moved to design--what's the Wikibooks philosophy toward links? TDang (talk) 11:23, 21 August 2009 (UTC)
- And Help:Editing#Links at least partially answers both of the above, with the technical (such as w:behavioral economics) and the norm, "be conservative in linking to pages outside the book (and especially so to pages outside Wikibooks)". If there's a place which argues the why of this standard, that would also be helpful to me. TDang (talk) 11:28, 21 August 2009 (UTC)
- You also may want to look at Help:Wikibooks for Wikimedians since you're coming from Wikipedia for some other differences in culture. Additional information on the culture of Wikibooks with relation to links can be found at Wikibooks:Dewikify, where the reasoning and process of removing links from articles imported from Wikipedia is discussed. -- Adrignola talk contribs 12:16, 21 August 2009 (UTC)
- Thanks! Those look very helpful. TDang (talk) 13:00, 21 August 2009 (UTC)
- Producing books that can be easily printed is important to some people, though that isn't the sole reason. A part of Wikibooks' philosophy is that books should be self-contained. If you think the definition of a term is important for understanding a book's subject, you should include the term's definition within the book. Some books have glossaries and link important terms to the book's glossary. Some books introduce the definition of an important terms the first time the term is used, and style the term with italic or bold. Basically adding material is encouraged, and using links to compensate for lack of material is discouraged. --darklama 13:33, 21 August 2009 (UTC)
- Thanks, Darklama. I'm not sure I buy the reasoning. I've generally felt that the lack of hypertext in books is a concession to the technology rather than a design feature. However, I'm new here. I'll see how it all goes. TDang (talk) 20:26, 21 August 2009 (UTC)
When to RFI
Hello--I'm working on starting a new book and want to provide guidance to other new editors, as well as figuring things out myself. I figure sometimes we'd want to copy a large amount of material from a Wikipedia article, sometimes just a little. Sometimes we'd want to copy a lot, but not necessarily all into the same chapter of the book.
I'm wondering what guidelines there are for when to RFI, and when to copy & paste. Additionally, are there any special concerns on how to handle the material once it's in Wikibooks? If it's to be included in a chapter, but the chapter isn't primarily derivative of the Wikipedia page, how is that handled?
Thanks TDang (talk) 21:17, 21 August 2009 (UTC)
- You can sporadically copy paste a phrase here and there without any attribution (this is valid for any work). From WIkimedia sources, the RFI is normally the preferred method, since it preserves the edit history and using it skips the otherwise requirement of having to state on the book that some content came from a external Wikimedia project. (Wikisource material should always be referenced directly). --Panic (talk) 23:39, 21 August 2009 (UTC)
- Thanks, Panic, and also for the welcome note. I'm going follow up some more on this, since I'm feeling dense. So, if I wanted to include a little material from Wikipedia's information economics page, I would RFI, but the new thing wouldn't be part of my book, would it? Instead it would be a free-floating page here at Wikibooks? And then, as a free-floating page here at Wikibooks, any material could be copied from it without worrying about notices that some material came from Wikipedia...?
- On the other hand, if even a little material came from Wikipedia, an notice about that would be required--would the notice have to be more detailed if using more material, or is it binary?
- When you request a import, the source page is copied with it's edit history. You can then edit and move it into the book. It would then became part of your book, not a free-floating page (those exist, I have adopted some over the time, when those requesting the RFI doesn't complete the job, most free-floating pages resulting from abandoned RFI would be proper targets for s speedy deletion (if enough time has passed).
- A notice isn't required if the edit history is kept (since attribution to the original editors would be present), it would emulate in loco edits. --Panic (talk) 00:41, 22 August 2009 (UTC)
- Oof, I was thinking this would be easy. I'm starting to think it's actually tricky. So, suppose I have a pre-existing chapter and I want to copy a chunk of material from a WP article into that chapter. So, I can't just RFI the article and use that as a starting point for the WB page. If I RFI the article, copy stuff from the WB version of the article to the WB chapter, then the article is deleted from WB, then the RFI was for naught. On the other hand, I could import the article into the book, but then it's like a legal vestigial organ, not something I really want in the book, just there to keep an edit history around. Is there a standard way to approach such a situation?
- Can you point me to an example of the kind of attribution that's used if stuff is copied from WP without an RFI? (Thanks for your patience.) TDang (talk) 01:02, 22 August 2009 (UTC)
- You do a RFI and then merge the content you wish to keep, ask an history merge to your chapter fallowed by a deletion of the imported page (not very complicated). (Admins have the possibility to do history merges of pages in the project, hence the necessity of the RFI). --Panic (talk) 01:07, 22 August 2009 (UTC)
- C++ Programming/Authors has an attribution to Wikipedia and even other Wikibooks (since books are ultimately used in stand alone form). The Wikisource attribution is in regard to some source code that was deleted at Wikisource (not part of a previously published book) as I can't remember if a history merge was performed I left that one in. --Panic (talk) 01:10, 22 August 2009 (UTC)
- I'm getting closer to understanding. I had missed the possibility of a history merge. I think that this abstract talk will have to wait until I get a concrete issue to implement, and then the lightbulb may go off. Thanks again for all the explanation. TDang (talk) 02:58, 22 August 2009 (UTC)
- No problem. Glad I have helped. --Panic (talk) 03:19, 22 August 2009 (UTC)
$wgFlaggedRevsAutoReviewNew=false
- I've moved this proposal to its own section at the bottom of the page (where it's more likely to be noticed) from the earlier section #FlaggedRevs Should Be Removed or Changed --Pi zero (talk) 12:44, 2 July 2009 (UTC)
My recommendation is to put $wgFlaggedRevsAutoReviewNew=false in LocalSettings.php. In the case of FEIA, there was a bulk quantity of paged created by an editor that get auto-sighted, which is not ideal for class projects where new users try to create pages; changing it this way won't affect experienced editors who can simply click on "Review this revision" without issue. I tested this on my own private wiki, and it feels much more suitable than the configuration on Wikibooks, and it's the only change that's required. Whether you want it checked or unchecked by default is another story, that can be put in the Stability preferences. --Sigma 7 (talk) 19:27, 28 June 2009 (UTC)
Support Most pages at wikibooks go through a young phase where it's more convenient for them to have never been reviewed. So even if an Editor creating pages is aware that they can de-review pages after creation, it makes much more sense for the pages to start out unreviewed and require editor intervention to review them later. --Pi zero (talk) 21:22, 28 June 2009 (UTC)
Support I agree it wold be better to not have pages autoreviewed. Thenub314 (talk) 16:34, 2 July 2009 (UTC)
Support This would make it a lot easier for those with the editor flag to work on breaking single-page books into subpages without having to remember that they must de-review those new pages. -- Adrignola talk contribs 18:59, 2 July 2009 (UTC)
Support as a quick fix. I'm still waiting that the ones responsible for initiating the test trial of this features. Beyond some visual benefits (and seemingly reducing vandalism, can't make it an affirmation since I've reduced my patrol or page validating task to a minimum). I can at least confirm that the number of general edits is decreasing...- In any case we agreed for a test period and several Wikibookians have already expressed problems with the new features or they way they are implemented have a total disregard on Wikibooks particulars. --Panic (talk) 02:58, 3 July 2009 (UTC)
- I'm willing to support a tweak of the settings but would prefer if we addressed first the issue of keeping the feature at all. Since the vote that enabled it stated a time limit for the experience, that as expressed before by many Wikibookians as it is, it is not at all a benefit to the project... --Panic (talk) 01:02, 13 July 2009 (UTC)
- What is the process of getting this implemented? There appears to be consensus, with no objections. Unless we want to let this sit until it's archived and forgotten, like the section this was split from (see first comment). -- Adrignola talk contribs 21:06, 1 August 2009 (UTC)
- They've now implemented this request. -- Adrignola talk contribs 02:25, 8 August 2009 (UTC)
Random book
Where did this feature go??? Emesee (talk)
- Top-left, right under donations and above the search box. -- Adrignola talk contribs 23:17, 8 August 2009 (UTC)
Positive Press at Slashdot
We're getting some positive (and much needed) press on Slashdot tonight. Chazz, was that you getting a "frist psot"? --Jomegat (talk) 04:10, 9 August 2009 (UTC)
Creating a New Page Rather than a New Book
Hello all. I am new to Wikibooks (and relatively new to Wikipedia) and am working on the Historical Rhetorics book. I would like to create new pages in the book (so that the individual chapters listed on the main page appear as separate pages). When I created an internal link, I accidentally created a new book entitled Chapter Two: Plato's Relationship to Rhetoric rather than a new page in the Historical Rhetorics book. Thanks ahead of time for any help. Insignificantwrangler (talk) 17:20, 24 August 2009 (UTC)
- I added links to subpages of the book based on the chapters currently listed on the page. If you go to edit it you'll see the notation used. [[/Subpage Name/]] is the pattern. It is best not to include chapter numbering in the page title else you'll have to rename pages later if you reorder the chapters. -- Adrignola talk contribs 17:55, 24 August 2009 (UTC)
- See also Help:Editing#Links. --Swift (talk) 18:02, 24 August 2009 (UTC)
- Thanks both Adrignola and Swift. I'll build off of your help.
Habla Español? Please help me with Physics with transforms
If you speak Spanish, please help me with the "Physics with transforms" book.
(Is this the right place to ask for such cross-language help? I'm hoping to at least get a better response than the request for help Karl Wick posted at Talk:Physics with transforms.)
I think I can help with the Spanish to English translation.
But I don't think my Spanish is quite good enough for the following. Please help.
- Please email Rodolfo Padilla and confirm that he really does want to give the contents of his book to Wikibooks. I don't want this to be a copyright infringement. I think there is a link at http://physicstransforms.tripod.com/ that takes you to a page with his email address. Does he want us to use that Spanish translation? Is there a better version somewhere else that we should use instead? Does he want us to start with the partial English translation on that web page? Or does he want us to do Spanish-to-English translation from scratch? Thank you for contributing!
- Please talk to the nice people at http://es.wikibooks.org/ and figure out the right way to get the original (Spanish) version of the book there.
Thank you very much. Muchas gracias. --DavidCary (talk) 19:50, 24 August 2009 (UTC)
HELP ME!!!
Whats the cold war please answer me people if you know to email me at ShawtyBad1
rocketmail.com again ShawtyBad1
rocketmail.com please please please love a concerned Student
- Please read w:Cold War. — Mike.lifeguard | talk 20:14, 24 August 2009 (UTC)
- Or The Cold War --Sjlegg (talk) 11:36, 25 August 2009 (UTC)
MediaWiki:Common.js/Displaytitle.js
Jokes Free4Me is getting errors due to the "hasAttribute" portion of the above file. It apparently isn't supported in versions of Internet Explorer before 8.
| “ | I believe i have found the culprit: "hasAttribute" hasn't been supported in IE before version 8, and my current environment only has IE7 and Fx (which sadly crashes from time to time, so i avoid it). The "unsafe" line of code comes from MediaWiki:Common.js/Displaytitle.js itself though... What do you think could be done about this? | ” |
—Jokes Free4Me, User talk:Adrignola | ||
I don't know JavaScript to determine how to resolve this. -- Adrignola talk contribs 15:56, 7 August 2009 (UTC)
- OK I may have fixed it for situations such as that. As I don't use IE, I need someone who does to confirm it. --darklama 16:58, 7 August 2009 (UTC)
- Thanks, it has indeed improved, but only partially: no longer "Object doesn't support this property or method" in line 12, now it's "'Node' is undefined" in line 37. -- Jokes Free4Me (talk) 17:33, 7 August 2009 (UTC)
Fwiw, in IE6 the tab gets changed, but the title header doesn't. Probably not worth investigating, but i felt it could be stated. :-) -- 188.25.131.219 (talk) 00:46, 8 August 2009 (UTC)
Vector skin (Wikibooks preferences) doesn't move
The Vector skin doesn't display an option to move pages... --Panic (talk) 07:14, 11 August 2009 (UTC)
The view menu has some clutter (options that shouldn't be there, duplicated or aren't well indicated). --Panic (talk) 07:22, 11 August 2009 (UTC)
- The "Move" option is in the pull-down menu next to "View history". - Erik Baas (talk) 10:44, 11 August 2009 (UTC)
- Yes. It is now. Yesterday it didn't show as a pull-down (at least here) it was displayed on the side bar and it didn't include the move option, hence my second post. (I was testing the skin for the first time my favorite is still the classic, with the floating bar or the right). --Panic (talk) 19:44, 11 August 2009 (UTC)
Creating a web application
This book looks nothing like a book; more like an article. Should it be transwikied? Kayau (talk) 05:00, 21 July 2009 (UTC)
- An excellent question, and a tricky one. We certainly have many books that do not look like books. Also, some of the books that do look like books, do not seem to be textbooks to me. It is not quite appropriate for wikipedia, because the page plans to instruct you how do something. So it may very well fall under the "instructional guide" phrase of What is Wikibooks? article. But I would be curious to hear what other people think. Thenub314 (talk) 08:19, 21 July 2009 (UTC)
- If anyone is interested in my opinion: Discussing this book is a waste of time. Even discussing it's deletion would be a waste of time. If someone wants to pick it up: great; otherwise: just ignore it. There is nothing more to say about this book. Go, write a book! --Martin Kraus (talk) 09:19, 21 July 2009 (UTC)
- In my opinion it needs to be broken down into steps and then written with easier to understand language for people just learning how to build a web application but don't know how. First I would write a chapter on how to use HTML codes and maybe an open source Web designer program (so that it is free and not tied down to one software company), then write a chapter on XML. Then write a chapter on using Javascript and web control forms. Then write a chapter on using Netbeans (because it is a free IDE from Sun to develop web code and other code in) and the PHP language with an Apache web server. Then one tying them all together. Then make a more advanced version of the book with LAMP Linux, Apache, MySQL, and PHP (or optionally without Linux if case the reader is using Windows or Mac OSX, etc) and more on how to build advanced web applications. Right now it has confusing words and shows code from a PHP application but has no introduction section and seems more like marketing speak for web technologies. Orion Blastar (talk) 02:33, 17 August 2009 (UTC)
- It seems to be stale (no content was added since 17 February 2008), adopt it and go ahead and do what you propose, you can even see if Web Development (stale since 12 February 2005) would benefit with a merge with this content. You can also reference JavaScript, PHP Programming and other existing content on Wikibooks... --Panic (talk) 04:18, 17 August 2009 (UTC)
- In my opinion it needs to be broken down into steps and then written with easier to understand language for people just learning how to build a web application but don't know how. First I would write a chapter on how to use HTML codes and maybe an open source Web designer program (so that it is free and not tied down to one software company), then write a chapter on XML. Then write a chapter on using Javascript and web control forms. Then write a chapter on using Netbeans (because it is a free IDE from Sun to develop web code and other code in) and the PHP language with an Apache web server. Then one tying them all together. Then make a more advanced version of the book with LAMP Linux, Apache, MySQL, and PHP (or optionally without Linux if case the reader is using Windows or Mac OSX, etc) and more on how to build advanced web applications. Right now it has confusing words and shows code from a PHP application but has no introduction section and seems more like marketing speak for web technologies. Orion Blastar (talk) 02:33, 17 August 2009 (UTC)
- If anyone is interested in my opinion: Discussing this book is a waste of time. Even discussing it's deletion would be a waste of time. If someone wants to pick it up: great; otherwise: just ignore it. There is nothing more to say about this book. Go, write a book! --Martin Kraus (talk) 09:19, 21 July 2009 (UTC)
Some questions about Strategy Guides
The article Wikibooks:What is Wikibooks? clearly states that "Wikibooks is not for video game strategy guides". I was considering nominating the Minesweeper module for deletion because it seemed to me it aimed to be a strategy guide for a video game. Then I started to attempt to define for myself it it constitutes a "video game". Then I began to wonder why we are singling out one particular type of strategy guide. Is the page on How to solve the Rubik's Cube really any different than a page about a specific type of puzzle implemented on a computer? Should we really make a distinction that a physical model of game can be constructed (the Rubik's cube certainly exists has a computer game as well.) But this page simply seems to be a strategy guide.
I am not trying to raise points about specific pages, but curious to hear what people think about this wording. I am hoping someone can set my internal compass straight about why specifically do we disallow video game strategy guides as opposed instead of all strategy guides. Thenub314 (talk) 08:20, 13 August 2009 (UTC)
- I don't particularly like singling out strategy guides myself. The short version of the history I think is that it all started with some comments/observations made by Jimbo who seemed to be making a distinction between books like DOOM and books like Chess. He seemed to be urging books like DOOM were out of scope because he's never heard of any school that taught people how to play DOOM, while on the other hand schools often have a Chess Club. Jimbo even went as far as to rewrite "What is Wikibooks" to limit Wikibooks' scope to only textbooks, but it didn't quiet stick. Despite some disagreements over the whole thing, Jimbo did manage to influence Wikibooks to some extent, and eventually "Wikibooks is not for video game strategy guides" was added after a few years worth of consensus to delete such books repeatedly passed VFD.
- I think one possible argument that would be used to make the distinction your wondering about is:
- Puzzles are often used as part of critical thinking exercises, in math challenges, in learning about Logic, etc.
- You can't take what is learned by following specific strategies to a specific game and apply it to real world problems.
- In any case I think VFD is still the best way to deal with such books, because what qualifies is still not always clear.
- If the criteria was broaden there is a risk of also inadvertently saying that books on Game Theory and related subjects aren't allowed either. --darklama 10:56, 13 August 2009 (UTC)
SVG images
I see Help:Images_and_other_uploaded_files#Supported_file_types.3B_miscellaneous|here something about SVG images which isn't entirely clear. Is it trying to say that I can't upload and show new SVG images?
Also, I'm trying to use an SVG here* and it's displaying odd. Pointers to control over the scaling of images would be appreciated.
* I know that looks like inappropriate use of the wiki--I'm doing it partly for learning and partly because I intend to de-personalize the material there and include it in the book. TDang (talk) 17:18, 26 August 2009 (UTC)
- That help page is very much out of date. SVG files can be uploaded. When a SVG image used a scaled PNG image is created and used in its place because not all web browsers support SVG images. This is done by the software transparently without anyone having to do anything more. There are some bugs in the conversion process though. SVG is preferred because SVG is an open format and anyone can easily download and change SVG images, even with just a text editor if someone wanted to. --darklama 17:37, 26 August 2009 (UTC)
- Thanks! I was wondering why it was telling me I couldn't use SVG when I clearly was already doing so. Any ideas on the scaling of the image. It looks correct here and ... um, now it looks right on the page. That's odd, but I guess for the moment it's not a problem. TDang (talk) 17:46, 26 August 2009 (UTC)
- If you want to scale an image use [[File:Image.svg|64x64px]] where "64x64px" means 64 by 64 pixels. If a size isn't specified a default size is used which depends on your preferences. --darklama 18:28, 26 August 2009 (UTC)
- Excellent, thanks! TDang (talk) 19:51, 26 August 2009 (UTC)
Problem with classic skin preferences
There seems to be a problem when moving pages with the "+" character if the selected skin is the classic skin (the second on the list) in the user preferences. --Panic (talk) 19:00, 9 August 2009 (UTC)
Today, the edit action stopped working. What is going on ?!? --Panic (talk) 01:12, 11 August 2009 (UTC)
- Edit action is now working again. Move of pages that bear the "+" character is still impossible. --Panic (talk) 19:47, 11 August 2009 (UTC)
Nostalgia also has an issue with the move page. Classic still has the same problem (probably because they are closely related). --Panic (talk) 02:52, 20 August 2009 (UTC)
Display of R input in "Statistical Analysis: an Introduction using R"
Hi, I'm seeing an "Invalid Language" error in all the Input parts of this book that use the R language. I notice that R is not in the list of permitted languages. Is this a setting on my (user) end or something that needs intervention on the part of the author to fix? I'm really looking forward to reading the book and it's a bit of a problem without the code samples.
Here's a link to a page where I am seeing problems: http://en.wikibooks.org/wiki/Statistical_Analysis:_an_Introduction_using_R/R_basics
Thanks in Advance.Counti8 (talk) 20:38, 18 August 2009 (UTC)
- Thanks for reporting this. The page Statistical Analysis: an Introduction using R/R/Syntax which is transcluded by the code template had been deleted. I've restored it and things seem to be working. Please let us know if there are still any problems here. --Swift (talk) 07:16, 19 August 2009 (UTC)
- I didn't delete the page, but I agree with its original deletion reason of "no meaningful content". What's the point of
{{Statistical Analysis: an Introduction using R/R/Syntax}}just to get "text"? Just write "text" in the pages! -- Adrignola talk contribs 03:32, 20 August 2009 (UTC)
- I didn't delete the page, but I agree with its original deletion reason of "no meaningful content". What's the point of
- I didn't create the page, but I suspect the point is the same as any other transcluded page: to be able to change content on several pages by changing a single page. The Statistical Analysis: an Introduction using R book uses transcluded pages heavily. This page was used on over a dozen pages which were crippled after it was deleted. One can argue that it therefore qualifies as meaningful content.
- There may be limited use (even none at all) in being able to change the syntax display options on the fly. On the other hand; it's a single page, there is no gain in deleting it and giving the author considerable leeway about how he contributes is good for the project. I suggest we focus our efforts on education, not enforcing rules that don't even exist. --Swift (talk) 08:16, 20 August 2009 (UTC)
- Yep, agree with you (Swift) - and I was the bad guy who deleted it. There's no point in making things difficult. I'm pretty sure (although it was months ago) that I was doing a clean up of short pages and just didn't spot all the links to the page for some reason. I'm much more careful now, honest. Unusual? Quite TalkQu 09:07, 20 August 2009 (UTC)
Problem with classic skin preferences
There seems to be a problem when moving pages with the "+" character if the selected skin is the classic skin (the second on the list) in the user preferences. --Panic (talk) 19:00, 9 August 2009 (UTC)
Today, the edit action stopped working. What is going on ?!? --Panic (talk) 01:12, 11 August 2009 (UTC)
- Edit action is now working again. Move of pages that bear the "+" character is still impossible. --Panic (talk) 19:47, 11 August 2009 (UTC)
Nostalgia also has an issue with the move page. Classic still has the same problem (probably because they are closely related). --Panic (talk) 02:52, 20 August 2009 (UTC)
Display of R input in "Statistical Analysis: an Introduction using R"
Hi, I'm seeing an "Invalid Language" error in all the Input parts of this book that use the R language. I notice that R is not in the list of permitted languages. Is this a setting on my (user) end or something that needs intervention on the part of the author to fix? I'm really looking forward to reading the book and it's a bit of a problem without the code samples.
Here's a link to a page where I am seeing problems: http://en.wikibooks.org/wiki/Statistical_Analysis:_an_Introduction_using_R/R_basics
Thanks in Advance.Counti8 (talk) 20:38, 18 August 2009 (UTC)
- Thanks for reporting this. The page Statistical Analysis: an Introduction using R/R/Syntax which is transcluded by the code template had been deleted. I've restored it and things seem to be working. Please let us know if there are still any problems here. --Swift (talk) 07:16, 19 August 2009 (UTC)
- I didn't delete the page, but I agree with its original deletion reason of "no meaningful content". What's the point of
{{Statistical Analysis: an Introduction using R/R/Syntax}}just to get "text"? Just write "text" in the pages! -- Adrignola talk contribs 03:32, 20 August 2009 (UTC)
- I didn't delete the page, but I agree with its original deletion reason of "no meaningful content". What's the point of
- I didn't create the page, but I suspect the point is the same as any other transcluded page: to be able to change content on several pages by changing a single page. The Statistical Analysis: an Introduction using R book uses transcluded pages heavily. This page was used on over a dozen pages which were crippled after it was deleted. One can argue that it therefore qualifies as meaningful content.
- There may be limited use (even none at all) in being able to change the syntax display options on the fly. On the other hand; it's a single page, there is no gain in deleting it and giving the author considerable leeway about how he contributes is good for the project. I suggest we focus our efforts on education, not enforcing rules that don't even exist. --Swift (talk) 08:16, 20 August 2009 (UTC)
- Yep, agree with you (Swift) - and I was the bad guy who deleted it. There's no point in making things difficult. I'm pretty sure (although it was months ago) that I was doing a clean up of short pages and just didn't spot all the links to the page for some reason. I'm much more careful now, honest. Unusual? Quite TalkQu 09:07, 20 August 2009 (UTC)
Undelete
What is the reverse of {{delete}}, I'd like to undelete some pages like Chess/Dragon Variation which are in use from wikipedia pages such as w:Sicilian Defence, Dragon Variation. I could recreate them but it's a bit tedious so a speedy undelete would be nice. SunCreator (talk) 00:09, 22 August 2009 (UTC)
- Pages for which there was consensus to delete may only be undeleted following a similar discussion at Wikibooks:Votes for undeletion. Pages which have been speedily deleted by accident can be undeleted similarly by any administrator. It would be best if you posted a list of pages you want undeleted at Wikibooks:Reading room/Administrative Assistance or contact an administrator directly. --Swift (talk) 00:24, 22 August 2009 (UTC)
- Yea, they have been speedy deleted . I will post up a list at [[Wikibooks:Reading room/Administrative Assistance SunCreator (talk)
How to Merge
How do I use the merge feature? I am in the following groups: Autoconfirmed users, Users. Thanks. Arlen22 (talk) 14:52, 25 August 2009 (UTC)
- You take the content from the source page and add it to the desired page yourself by copying and pasting and editing. This is not an automated task, as you must determine what content from both pages will survive the merging of the two. Once that is complete, you mark the page that should no longer exist following the merge with
{{now merged|surviving page name here}}. At that point an administrator will merge the edit histories of the two pages so that the people who went through the trouble to add content to the page being deleted still get credit for their work. -- Adrignola talk contribs 15:00, 25 August 2009 (UTC)- Does history merge look through the new file and add the history for any text that might have been copied? Or how does it work? Arlen22 (talk) 15:24, 25 August 2009 (UTC)
- It will intermix the two histories together without regard to how much or little or in fact what if anything was copied. If fifty edits were made before January 2006 and the new page was created March 2008, it will be clear which edits were for which page. If the two pages progressed in parallel during the same periods, the histories, when merged, overlap and interweave with one another. The merged history will show everyone who edited either of the two pages and the specific text they added at the time, whether or not that text they added remains in the final version. -- Adrignola talk contribs 16:37, 25 August 2009 (UTC)
- Does history merge look through the new file and add the history for any text that might have been copied? Or how does it work? Arlen22 (talk) 15:24, 25 August 2009 (UTC)
- How do I request a history merge from wikipedia? Arlen22 (talk) 17:48, 25 August 2009 (UTC)
- You make a request for import and just have the administrator doing it perform the history merge immediately with the page of your choice. -- Adrignola talk contribs 19:20, 25 August 2009 (UTC)
General Question About Donating My Book
I'm an independent thinker who has a book on Amazon called "Common Sense II". I'd like to make it free to everybody but I don't want it edited -- OR -- if my book is edited, then I no longer want to be called its author (particularly if the changes are substantial). My book is a tough controversial strategy to prevent terrorism. But it looks like neither Wikibooks or Wikisource will be suitable. Any ideas of what to do? If so, my thanks in advance. Tomwsulcer (talk) 19:15, 21 August 2009 (UTC)Tomwsulcer
- If you don't want it edited, then none of the WMF projects are the place for it. Not being labeled as the author of a substantially edited work would however make it appropriate for both Wikisource and Wikibooks. For Wikisource, you'll need to release the book into the public domain. For Wikibooks, you'll need to release the content (at least) under the Creative Commons Attribution/Share-Alike License 3.0 and the GFDL.
- In either case, subsequent authors/contributors will be allowed to claim their fair authorship, but the works will not be published as though they were wholly yours. --Swift (talk) 02:38, 22 August 2009 (UTC)
- Wikisource seems the best fit for your goals. Wikisource is a library of static texts that have already been published elsewhere. You can still sign you work in both projects (but read the licenses carefully even if the version on Wikisource will remains static the licenses permit derivative works, I think that was the last point Swift was making, any of those licenses will not affect your ownership over the content only grant some rights to others, in use and distribution).
- I think you can even submit it to both projects and add a licensing page to the Wikibook stating the original (static) source, this would enable it to continue to evolve here, if you disagree with it's evolution you can freely state that and remove yourself from the authors list. You have to license your work on either project as Creative Commons Attribution/Share-Alike License 3.0 and the GFDL (not as public domain as Swift said above, public domain is compatible with both licenses that was probably the reason for the confusion). --Panic (talk) 03:04, 22 August 2009 (UTC)
- I don't know the particulars but be careful. If the book is an already published "dead tree" then the company that published it often has some copyright over the text that would prevent you from releasing it into the public domain or publishing with another company without the first company's express written consent. Make sure to review your contract with the initial publisher. The one dead tree book I was involved with got caught in this terrible situation where the first publishing company decided books on that subject were not profitable to print, but unwilling to release the book so it could be published with another company. We were ultimately successful, but it was a pain. Thenub314 (talk) 07:48, 22 August 2009 (UTC)
- Thank you Swift, thank you Panic2k4, thank you Thenub314 -- I appreciate your comments. I uploaded my book to Wikisource. Tomwsulcer (talk) 02:33, 27 August 2009 (UTC)Tomwsulcer
- Thank you for donating your work... --Panic (talk) 02:43, 27 August 2009 (UTC)
pressure sensitive material
Hi,
May i know is there any material that senses pressure directly, with the property of water resistant......
- Sorry, but this is not a general help desk. You can try searching for a topic here on Wikibooks or the wider Internet. Wikipedia also has a place for such questions, but you could also just ask a teacher if you are at school, or ask for help finding a conventional book in a local library. --Swift (talk) 18:27, 26 August 2009 (UTC)
Pages in the wrong category?
Perhaps I am just confused, so forgive me if this turns out to be a waste of time. While examining some pages in Category:Queried pages, I noticed many pages displayed at the bottom of the page that they were in Category:Candidates for speedy deletion and not in Category:Queried pages. (See for example Cochlear implants). This makes sense, as the pages had been queried for more then seven days. But while the link at the bottom of the page directs you to Category:Candidates for speedy deletion, the page doesn't appear there. Instead it appears in Category:Queried pages, where in theory it shouldn't be. Even after purging the cache servers the pages, things didn't appear where I might have expected them to. Thenub314 (talk) 10:59, 19 August 2009 (UTC)
- This same issue comes up when you change the category applied to a page with a template. The new category shows at the bottom of the page but the page still remains in the old category. The category you see on the above pages changes due to the parser functions code, but the page still remains in the queried pages category. If you null edit the page, only then does the category get changed. Theoretically this would be fixed every time the Special listings get refreshed, but for books I've moved where I didn't null edit all the pages to refresh the pages' categories, I have seen the old category show up in the wanted categories. This tells me the pages remained in the old category even after the cache refresh. This is a known issue, but pages I've seen on it state that it should fix itself given time. I'm not sure this is always the case. The one sure way to fix it is to null edit the page. -- Adrignola talk contribs 17:19, 19 August 2009 (UTC)
Good to know, I hadn't noticed that null edits don't show up in the edit history. I was mistakenly under the impression that this would case the page to end up back in queried pages for 7 more days. Good to know it is a known issue, hope it gets fixed someday.Thenub314 (talk) 10:19, 20 August 2009 (UTC)
Template:Wrongname
Is there a variation for {{Wrongname}} template ? Is it still necessary for the # character ?
I noted that the C Sharp Programming was renamed C# Programming. (I've attempted the same to the page and it doesn't work)
I was editing C++ Programming/Programming Languages/Comparisons/C Sharp and noticed that the template states "The title given to this book page is incorrect due to technical limitations. The correct title is C#." (since it is a page not a book). Need some input on this before I attempt a page move or have to tackle the template. --Panic (talk) 02:56, 20 August 2009 (UTC)
- C Sharp Programming is only at that title. You're looking at what's displayed at the top of the page with Template:Displaytitle. Click the link you made to C# Programming. It goes to C, a redirect to Subject:C programming language. This is because the "title#blah" convention in HTML goes to a named anchor "blah" on the page named "title". For instance, C Sharp Programming/Naming#Interfaces takes you to the Interfaces section of C_Sharp_Programming/Naming. # will never be a valid character in a URL as it has special meaning in a link. -- Adrignola talk contribs 03:26, 20 August 2009 (UTC)
- Yup. Didn't verify, and assumed it was a redirect. (I didn't know about {{Displaytitle}} nor did I noticed it before, txs).
- I've fixed the issue with the {{Wrongname}} template, it seems that was the last page using it, probably tagging the template for deletion would be the next step (since the other offers a simpler solution)... --Panic (talk) 03:44, 20 August 2009 (UTC)
- Yup. Didn't verify, and assumed it was a redirect. (I didn't know about {{Displaytitle}} nor did I noticed it before, txs).
Shortcut
Propose new shortcut to this page: WB:RR/G Kayau David Copperfield MOBY DICK the great gatsby 02:53, 10 August 2009 (UTC)
Support --Arlen22 (talk) 02:24, 28 August 2009 (UTC)
Done Makes sense to me. --Pi zero (talk) 13:00, 28 August 2009 (UTC)
Proposed additions
...with apologies if this is not the correct venue, the following:
- (1) The creation/addition of a "Basic Math" text with addition, subtraction, multiplication, and division.
- (2) the addition of practice problems to all suitable texts; something I would be willing to collaberate on, but lack the technical know-how to initiate.
I would like my son to be able to learn math from addition to differential equations exclusively via wikibooks, but the very first steps of that process appear to be missing. Thanks for your thoughts. PCAndrew (talk) 15:50, 29 August 2009 (UTC)
- By Basic Math, it sounds as if you're talking about what I would call Arithmetic. I think something along those lines might make an excellent addition to Wikijunior. "Wikijunior:Arithmetic"? (The one math volume now listed on the Wikijunior main page is Geometry for Elementary School, which oddly enough isn't even a Wikijunior book.) --Pi zero (talk) 17:37, 29 August 2009 (UTC)
- Hm. I may have spoken too soon. There is a very incomplete Wikijunior:Introduction to Mathematics. --Pi zero (talk) 17:46, 29 August 2009 (UTC)
Translation of an exitsting Wikibook
I am planning, as far as time permits, to translate the German Wikibook to English for en.wikibooks. As I am one of the main contributors there should be no languague issues. However, I do not know how to copy the version history or at least the author's information (which is required by both the GFDL and the CC license) into the new book, since there have been other contributors by the time. Unfortunately, I couldn't find any helpful information on the Wikibooks help pages. Many thanks in advance!--SiriusB (talk) 16:25, 27 August 2009 (UTC)
- When I copied a book written in Russian to the Russian Wikibooks, I also copied and pasted the page history log onto the talk page at the destination for the GFDL. You could also simply add a link to the version of the German page used which would satisfy the CC license. Either of those appear to satisfy the terms of use. -- Adrignola talk contribs 17:38, 27 August 2009 (UTC)
geology of Indonesia
- Moved from Wikibooks:Reading room/Feature requests
i have gone through the wonderful effort of "Geology of Indonesia". I cannot, however, understand the practice of refering to figure numbers when there are no referred figures and referring to authors when there is no list of references or bibliography. Is it because of insufficience of time or space or it has something to do with copyright?
A.S.Sinha (sinha_as@yahoo.com)
- The Geology of Indonesia seems to be in an early stage of development. It is not a complete work. --Swift (talk) 19:36, 28 August 2009 (UTC)
Request for new WikiBook - Magical Moments Around the World
Hi,
My name is Gal and I'm the founder and organizer of a global educational project called Magical Moments Around the World.
Magical Moments Around the World is a uniting of youth all over the world sharing their magical moments in a global online book for generations to come.. A global online book written by people for people. A testimonial to the great human spirit that connects us all. And just like the sun shines on us all it portrays a human spirit that's within us all.
In its essence the project aims to provide every child in the world the right to be aware that we are all connected and part of one big human family. This is done by writing magical moments in a global online book on an ongoing basis for generations to come. Students can also interact and upload videos, photos, drawings and other creative work using the collaboration center.
Showing youth that their personal magical moment is part of a human web that transcends borders, continents, race, religion and gender is of incredible human value. And promotes values such as compassion and tolerance. Currently youth from 14 countries have posted their magical moments and can be viewed on the magical moment website at [2]
I wanted to ask if it would be possible to integrate the Magical Moment online book as a WikiBook, thus opening it up to the world - creating the biggest book humanity has ever known. And have it run, edited and translated into many different languages by volunteers.
I would be happy to elaborate and hope that we can all work together. For more information visit the website at: [3]
Best wishes to all, Galk70 (talk) 21:01, 21 August 2009 (UTC)
- If your organization has no problem releasing the content under the Creative Commons Attribution/Share-Alike License then it sounds like just the kind of thing Wikibooks encourages. If you add the licensing information to the PDFs you've already created or the website where they are hosted, people can copy them straight over to Wikibooks. Or you can start a new book from scratch. Your goals are certainly in line with the environment here, as collaboration and editing by many people is encouraged at Wikibooks. -- Adrignola talk contribs 21:13, 21 August 2009 (UTC)
Dear Adrignola. Thanks for replying. I think Wikibooks is certainly inline with the Magical Moments online book in that it's written for the people by the people. I have several questions: 1. How would I go about setting up the book? 2. Where can I find volunteers to help in editing and translating to different languages? 3. How do I insure the book is kept clean of vandalism or hurtful remarks? Thanks in advance Galk70 (talk) 21:48, 21 August 2009 (UTC)
need help asap!!!
Hi members i really need help on facts about uranium like were its mined and stuff like that for my project plz get get back to me asap
- Sorry, but this page is for discussing Wikibooks projects, not to request answers to various questions. You can try searching for a topic here on Wikibooks or the wider Internet. Wikipedia also has a place for such questions, but you could also just ask a teacher if you are at school, or ask for help finding a conventional book in a local library. --Swift (talk) 18:27, 26 August 2009 (UTC)
Telescope Making and other orphans
The book Telescope Making is intriguing. It has interesting information presented in a charmingly informal, first-person tone. However, it could use copy-editing for syntax and easier reading, as well as better organization. And of course, it is incomplete, leaving the would-be telescope maker with a mirror and nothing to put it in. Before doing anything to this book I thought I should at least talk to the original author. Yeah, this is a wiki, anybody can edit anything, blah-di-blah, but that book is clearly the work of a single voice who might have a proprietorial interest, and deserves the courtesy of a nod.
Unfortunately, that person, user "Vorblesnak," has essentially disappeared from the intertubes. Googling reveals some activity by him in various fora (some of which included his real name and city of residence) but nothing recent, and the mail address vorblesnak
peak.org bounces as "user suspended." A website apparently set up by him can be seen as a Google cache but is apparently offline.
Is there a general policy or approach to dealing with orphan books or missing users? Or does the application of the Wiki Way mean that people come, people go, and books sit until someone works on them? Fernly —The preceding undated comment was added 20:53, 28 August 2009.
- There isn't a policy or even a generalized approach besides the Wikibooks:Be bold guide. To avoid any issues, if you intend to do some major contributions, post a note in the book talk page, express your views and if anything can seem controversial (ie: merge content from/with other books) use any applicable tag and give it 7 days for an opposition to materialize if no one cares then you can do as you will (except deleting any useful content, see if it fits elsewere) in doubt tag any page for VFD and the rest of the community will give it's input. --Panic (talk) 23:41, 28 August 2009 (UTC)
What!? Can't a man take a sabbatical? I had hoped by leaving gaps in the text to get someone else to add to the book. I don't think anyone would argue that I am not the encyclopedia of telescope making. The book is finished, I just have not posted all the chapters. I really would like some other input but it does not look like the book will get done unless I finish it. Tis sad.
You think breaking it up into many small pages would help? I got no problem with that. If you would like to collaborate and clean it up I think that would be good. Are you going to contribute the missing chapters or do you want me to?
Sorry about the email address. I let the old one lapse and then got another when it was closed. You can reach me at ...
vorblesnak
gmail.com
yes, yes, I know I posted my email. I'll survive.
David Davis Toledo, OR 97391—The preceding unsigned comment was added by 68.186.25.8 (talk • contribs) 04:04, 29 August 2009 (UTC)
- ;-) Sure one can. Good call, Fernly, that this Wikibookian might not have given up on his past contributions. I had a look at the book and it's super interesting. It would be a great asset to Wikibooks and the many people I imagine are interested in the topic. Happy editing. --Swift (talk) 08:22, 29 August 2009 (UTC)
Moving a page
How should one go about renaming a book? Does moving the parent page move all subpages as well? Should I move each module seperately? Thanks, –blurpeace (talk) 13:08, 29 August 2009 (UTC)
- Non-admins have to move one page at a time. If there are many pages involved, it might make sense to ask an admin to do it for you, as they can move all the pages of a book at once.
- What book did you have in mind to rename? --Pi zero (talk) 15:24, 29 August 2009 (UTC)
- Was thinking of having the book US Copyright Law renamed to United States Copyright Law. Remove the abbreviation for a more professional title. –blurpeace (talk) 23:48, 30 August 2009 (UTC)
- It would probably be best if you proposed that change into the book talk page. I notice also that you have ~21 edits on your log and haven't been editing that book. Undertaking such a huge change on your own would easily become controversial. --Panic (talk) 00:49, 31 August 2009 (UTC)
- Take a look in the Wikibooks:Manual of Style and its discussion page. --Panic (talk) 00:53, 31 August 2009 (UTC)
- Fair enough. I'll propose it on the talk page. –blurpeace (talk) 01:02, 31 August 2009 (UTC)