Colesevelam
![]() | |
| Names | |
|---|---|
| Trade names | Welchol, Cholestagel, Lodalis, others |
| Other names | Colesevelam hydrochloride |
IUPAC name
| |
| Clinical data | |
| Drug class | Bile acid sequestrant[1] |
| Main uses | High cholesterol[1] |
| Side effects | Constipation, heart burn, nausea[1] |
| Pregnancy category |
|
| Routes of use | By mouth |
| Typical dose | 3.75 grams/day[1] |
| External links | |
| AHFS/Drugs.com | Monograph |
| MedlinePlus | a699050 |
| Legal | |
| License data |
|
| Legal status |
|
| Pharmacokinetics | |
| Bioavailability | N/A |
| Metabolism | Colesevelam is not absorbed and not metabolised. |
| Elimination half-life | N/A (non-systemic drug) |
| Excretion | By intestines only, colesevelam is non-systemic. |
| Chemical and physical data | |
| Formula | C31H67Cl3N4O |
| Molar mass | 618.25 g·mol−1 |
Colesevelam, sold under the brand name Welchol among others, is a medication used to treat high cholesterol.[1] Statins are generally preferred for this use.[2] Effects on life expectancy are unclear.[1] It may also be used for type 2 diabetes.[2] It is taken by mouth.[1]
Common side effects include constipation, heart burn, and nausea.[1] Other side effects may include pancreatitis, bowel obstruction, and fat soluble vitamin deficiency.[1] While there is no evidence of harm in pregnancy, such use has not been well studied.[3] It is a bile acid sequestrant.[1]
Colesevelam was approved for medical use in the United States in 2000 and Europe in 2004.[1][4] It is available as a generic medication.[5] In the United Kingdom a month of treatment costs the NHS about £115 as of 2021.[6] This amount in the United States costs about 70 USD.[5]
Medical use
Colesevelam is indicated as an adjunct to diet and exercise to reduce elevated low-density lipoprotein cholesterol (LDL-C) in patients with primary hyperlipidemia as monotherapy and to improve glycemic control in adults with type 2 diabetes mellitus,[7] including in combination with a statin. The expanded use of colesevelam in adults with type 2 diabetes mellitus is an example of drug repositioning.
Colesevelam is one of the bile-acid sequestrants, which along with niacin and the statins, are the three main types of cholesterol-lowering agents. The statins are considered the first-line agents. This is because of the larger body of evidence supporting statins' ability to prevent cardiovascular disease, as well as the prominent side effects from the other two types, including bloating and constipation (bile-acid sequestrants) and skin flushing (niacin). These side effects often lead to low patient compliance.[8]
Colesevelam can be used instead of cholestyramine in symptomatic chronic diarrhea due to bile salt malabsorption (bile acid diarrhea), which can be a primary condition, or secondary to Crohn's disease or the postcholecystectomy syndrome.[9][10][11]
Dosage
It is generally take at a dose of 3.75 grams per day.[1]
Side effects
In controlled clinical studies involving approximately 1,400 patients, the following adverse reactions have been reported in patients treated with colesevelam. When reporting to the very common (≥ 1 / 10), common (≥ 1 / 100, 51/10), uncommon (≥ 1 / 1000, 51/100), rare (≥ 1/10.000, 51/1000) and distinction very rarely (51/10.000), including individual cases:
- Investigations Common: serum triglyceride increased; Uncommon: serum transaminase increases
- Nervous system disorders Common: headache
- Gastrointestinal disorders Very Common: flatulence, constipation; Common: vomiting, diarrhea, dyspepsia, abdominal pain, stool abnormalities, nausea
- Musculoskeletal and connective tissue disorders Uncommon: myalgia
The background incidence of flatulence and diarrhea was the same in patients in controlled clinical trials, and higher in the placebo group. Only constipation and dyspepsia were shown to occur in a higher percentage of patients who received Cholestagel, compared to the placebo group. Side effects were generally mild or moderate in severity. In the application of colesevelam in combination with statins, no unexpected frequent side effects occurred.[12]
Mechanism of action
Colesevelam is part of a class of drugs known as bile acid sequestrants. Colesevelam hydrochloride, the active pharmaceutical ingredient in Welchol, is a non-absorbed, lipid-lowering polymer that binds bile acids in the intestine, impeding their reabsorption. As the bile acid pool becomes depleted, the hepatic enzyme, cholesterol 7-α-hydroxylase, is upregulated, which increases the conversion of cholesterol to bile acids. This causes an increased demand for cholesterol in the liver cells, resulting in the dual effect of increasing transcription and activity of the cholesterol biosynthetic enzyme, HMG-CoA reductase, and increasing the number of hepatic LDL receptors. These compensatory effects result in increased clearance of LDL-C from the blood, resulting in decreased serum LDL-C levels. Serum TG levels may increase or remain unchanged.[13]
It is not yet known how Colesevelam works to help control blood sugar in people with type 2 diabetes. However, it is clear that the drug works within the digestive tract, since it is not absorbed into the rest of the body.
Cholesterol
Since Colesevelam can lower total and LDL cholesterol levels (along with raising HDL - "good" cholesterol), taking it may decrease one's risk of developing certain health problems in the future.
Previous clinical research studies indicate individuals taking 3,800 mg to 4,500 mg of Colesevelam daily were able to:
- Reduce LDL cholesterol by 15 to 18 percent.
- Reduce total cholesterol by 7 to 10 percent.
- Raise HDL cholesterol by 3 percent.
The combination of Colesevelam with a HMG-CoA reductase inhibitor (known more commonly as a statin) can further lower cholesterol levels.[14]
Chemistry

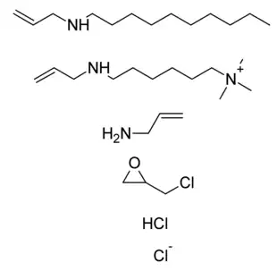
Colesevelam is a modified polyallylamine. It is made by crosslinking polyallylamine with epichlorohydrin, and then modifying it with bromodecane and (6-bromohexyl)trimethylammonium bromide. The bromide ions are then replaced with chloride ions when the material is washed.[15]
N-prop-2-enyldecan-1-amine; trimethyl-[6-(prop-2-enylamino)hexyl]azanium; prop-2-en-1-amine; 2-(chloromethyl)oxirane; hydrogen chloride; chloride.
References
- ↑ 1.00 1.01 1.02 1.03 1.04 1.05 1.06 1.07 1.08 1.09 1.10 1.11 "DailyMed - COLESEVELAM HCL tablet, film coated". dailymed.nlm.nih.gov. Archived from the original on 27 March 2021. Retrieved 6 January 2022.
- ↑ 2.0 2.1 "Colesevelam Monograph for Professionals". Drugs.com. Archived from the original on 20 November 2021. Retrieved 6 January 2022.
- ↑ "Colesevelam (Welchol) Use During Pregnancy". Drugs.com. Archived from the original on 17 November 2021. Retrieved 6 January 2022.
- ↑ "Cholestagel". Archived from the original on 15 April 2021. Retrieved 6 January 2022.
- ↑ 5.0 5.1 "Colesevelam Prices, Coupons & Savings Tips - GoodRx". GoodRx. Retrieved 6 January 2022.
- ↑ BNF 81: March-September 2021. BMJ Group and the Pharmaceutical Press. 2021. p. 211. ISBN 978-0857114105.
- ↑ Fonseca, V. A.; Rosenstock, J.; Wang, A. C.; Truitt, K. E.; Jones, M. R. (2008). "Colesevelam HCl Improves Glycemic Control and Reduces LDL Cholesterol in Patients with Inadequately Controlled Type 2 Diabetes on Sulfonylurea-Based Therapy". Diabetes Care. 31 (8): 1479–1484. doi:10.2337/dc08-0283. PMC 2494667. PMID 18458145.
- ↑ Principles and Practice of Endocrinology and Metabolism, 2000, ed. Becker, chapter 163
- ↑ Puleston, J; Morgan, H; Andreyev, J (2005). "New treatment for bile salt malabsorption". Gut. 54 (3): 441–442. doi:10.1136/gut.2004.054486. PMC 1774391. PMID 15711000.
- ↑ Wedlake, L; Thomas, K; Lalji, A; Anagnostopoulos, C; Andreyev, HJ (2009). "Effectiveness and tolerability of colesevelam hydrochloride for bile-acid malabsorption in patients with cancer: a retrospective chart review and patient questionnaire". Clinical Therapeutics. 31 (11): 2549–58. doi:10.1016/j.clinthera.2009.11.027. PMID 20109999.
- ↑ Beigel F, Teich N, Howaldt S, Lammert F, Maul J, Breiteneicher S, Rust C, Göke B, Brand S, Ochsenkühn T (November 2014). "Colesevelam for the treatment of bile acid malabsorption-associated diarrhea in patients with Crohn's disease: A randomized, double-blind, placebo-controlled study". J Crohns Colitis. 8 (11): 1471–9. doi:10.1016/j.crohns.2014.05.009. PMID 24953836.
- ↑ Consumer information for cholestagel Archived 2011-07-19 at the Wayback Machine, March 2009 (in German)
- ↑ RxList: Welchol Archived 2018-01-16 at the Wayback Machine
- ↑ eMedTV: WelChol Archived 2009-05-22 at the Wayback Machine
- ↑ US Patent 5,607,669
External links
| External sites: |
|
|---|---|
| Identifiers: |
