I recently bought a graphics tablet and I want to use it for solving my math homework on laptop. The picture presents what I want. Do you know any software (better foss) which I can use to deal with math comfortably? To clarify I want the program to be simple and to allow to draw on notebook-like background with grid.
- 235
- 3
- 15
- 822
6 Answers
Xournalpp
I found an excellent project called Xournal++ to fulfil my needs.

Xournal++ is a handwriting notetaking software with PDF annotation support. Written in C++ with GTK3, supporting Linux (e.g. Ubuntu, Debian, Arch, SUSE), macOS and Windows 10. Supports pen input from devices such as Wacom Tablets.
Features:
- Support for pen pressure, e.g. Wacom Tablet
- Support for annotating PDFs
- Fill shape functionality
- PDF Export (with and without paper style)
- PNG Export (with and without transparent background)
- Allow to map different tools / colors etc. to stylus buttons / mouse buttons
- Sidebar with Page Previews with advanced page sorting, PDF Bookmarks and Layers (can be individually hidden, editing layer can be selected)
- enhanced support for image insertion
- Eraser with multiple configurations
- Significantly reduced memory usage and code to detect memory leaks compared to Xournal
- LaTeX support (requires a working LaTeX install)
- bug reporting, autosave, and auto backup tools
- Customizeable toolbar, with multiple configurations, e.g. to optimize toolbar for portrait / landscape
- Page Template definitions
- Shape drawing (line, arrow, circle, rect, splines)
- Shape resizing and rotation
- Rotation snapping every 45 degrees
- Rect snapping to grid
- Audio recording and playback alongside with handwritten notes
- Multi Language Support, Like English, German (Deutsch), Italian (Italiano)...
- Plugins using LUA Scripting
Installation: Available in AppImage, Flatpak, Snap and .deb.
Ubuntu 22.04 and newer only or Debian testing: Install the latest stable release of Xournal++ from the official repositories:
sudo apt update
sudo apt install xournalpp
Ubuntu-based distros only: Install the latest stable release from the following unofficial PPA. In addition to amd64, it also hosts packages for ARM, PowerPC and other architectures on supported versions of Ubuntu:
sudo add-apt-repository ppa:apandada1/xournalpp-stable
sudo apt update
sudo apt install xournalpp
Ubuntu-based distros only: Install the latest unstable nightly release from the following unofficial PPA
sudo add-apt-repository ppa:andreasbutti/xournalpp-master
sudo apt update
sudo apt install xournalpp
- 17,371
- 822
You should consider using LaTeX (so installing texlive package) or Lout
Since both are producing very nice mathematical formulae (in PDF).
With a graphical tablet, consider using inkscape, and you'll draw the formulae. But it does depend a lot on your drawing skills. By personal experience, they don't look very good.
If your goal is to get nice looking formulae, learn LaTeX.
- 672
- 1
- 4
- 16
Krita
If you want a drawing app, but you don't want to have to add a PPA, another alternative is Krita. Krita is digital painting software. It's geared more towards artists, but it has great support for pen input with devices like Wacom tablets.
Because it's designed for art, you have full control over the brush you use for your note-taking which could improve readability.
You can create a template with a blank grid for new notes/pages.
Installation: Available in AppImage, Ubuntu PPA and Flatpak.
Krita is included in Ubuntu repositories. You can install it with the commands:
sudo apt update
sudo apt install krita
- 17,371
- 12,664
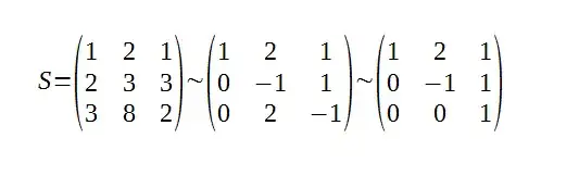
Unless you mean actually drawing with a pen on a tablet, LibreOffice Writer can do this in Math mode. I figured out how it works in a few minutes.
S = left ( matrix {
1 # 2 # 1 ##
2 # 3 # 3 ##
3 # 8 # 2
} right ) sim
left ( matrix {
1 # 2 # 1 ##
0 # -1 # 1 ##
0 # 2 # -1
} right ) sim
left ( matrix {
1 # 2 # 1 ##
0 # -1 # 1 ##
0 # 0 # 1
} right )
- 30,529
- 8
- 89
- 96
Disclaimer: I don't have a tablet, so I don't know how well this would work.
LibreOffice Draw
LibreOffice has a component called Draw, for making vector graphics. It is able to show grid, defaults to page layout, can import export PDFs and much more.
- 426
OpenBoard is a free software compatible between Ubuntu and Wacom IntuosBTM graphics tablet. You just write Openboard on "Software" Ubuntu application to install it.
- 122,292
- 133
- 301
- 332

