Problem-1: Expressions for co-efficients of second degree Newton-Cotes integration polynomial
P. 9-1 of Lecture 9 Notes
Problem Statement
Using the following equations find the expressions for
in terms of
and
where i=0,1,2′′
|
|
(1 p8-3)
|
|
|
(3 p8-3)
|
Solution
We have the general formula for the Lagrange basis function
as
|
|
(2 p7-3)
|
for the case of Simple Simpson's Rule, n =2 i.e i=0,1,2. For the given interval
Expanding equation 3 p8-3 we get:
where,
;
;
Thus we have the polynomial as
Grouping coefficients of
,
Comparing this equation with eqn 1p8-3 we see that
|
|
(1)
|
|
|
(2)
|
|
|
(3)
|
Inference: This solution essentially shows the equivalence of the two methods for the Simpson's rule i.e. cubic polynomial and using Lagrange basis functions.
Solution for problem 1:Egm6341.s10.team2.niki 00:18, 8 February 2010 (UTC)
Proofread problem 1: Srikanth Madala 07:04, 11 February 2010 (UTC)
Problem-2: Application of Newton-Cotes method to derive the simple Simpson's rule
P. 9-1 of Lecture 9 Notes
Problem Statement
Derive the simple Simpson's rule using Eq.(4) on slide 8-3 Lecture-8 notes i.e. the second degree polynomial of Newton-Cotes method:
Solution
|
|
|
|
|
|
|
|
|
But we know that 
So we get the values of
and
as follows:
But we know that
or
Similarily by substituting the value of
in the equations of
and
, we get:
Now plugging back the values of
and
in the Equation for
, we get:
Now isolating the
terms,
terms and constant terms, we get three consolidated terms as follows:
Term-1:
-term
Integrating this term between limits
and
, we get:
Term-2:
-term
Integrating this term between limits
and
, we get:
Term-3: Constant term
Integrating this term between limits
and
, we get:
Note that
Now consolidating the coefficients of
in all the three terms, we get:
Consolidated Coefficient of
as:
|
|
|
|
Consolidated Coefficient of
as:
|
|
|
Consolidated Coefficient of
as:
|
|
|
|
Now the value of
is the sum of all the consolidated coefficient multiplied by their respective
term. i.e.
Where
Thus, the simple Simpson's rule is derived using the Lagrange polynomial of second degree.
Solution for problem 2: Srikanth Madala 07:04, 11 February 2010 (UTC)
Proofread problem 2:
Problem-3: Study of Newton-Cotes method of numerical integration with the help of an example
Problem Statement
P.9-2 of Lecture 9 Notes
For the function:
on the interval between 0 and 1 and letting
Consider: n=1,2,4,8,16.
1) Construct
Plot Fn for n=1,2,4,8,16
2) Compute the integral for n=1,2,4,8 and compare to I=1.3179022
3) for n=4 plot:
1: Calculation of Function
For n=1
For n=2
For n=4
For n=8
For n=16
2:Integral Comparison
Integrals using Newton Cotes
|
|
|
Actual Value
|
1.3179022
|
| n
|
Estimated Value
|
Percent Difference
|
| n=1
|
1.35915
|
3.12981%
|
| n=2
|
1.318008
|
.00802791%
|
| n=4
|
1.318009
|
.00810379%
|
| n=8
|
1.31790215
|
3.7939E-6
|
3: Lagrange Polynomial Plots
The plots for l3 and l4 (3rd and 4th Lagrange Polynomial) are not necessary to be plotted as their graph are symmetrical to one another (a mirror image of the l0 and l1 polynomials).
Solution for problem 3: Guillermo Varela
Problem-4: Simple to composite Simpson's rule
Solution for problem 4: Egm6341.s10.team2.lee 18:48, 7 February 2010 (UTC)
Proofread problem 4:
Problem-5: Error Bound
Refer to P. 11-1 on Lecture-11 Notes
Problem Statement
Find
if:
For
and
Solution
Constructing the Lagrangian Interpolating Function:
Where
The Lagrangian Error
By Computing
Must plot the functions to compute
The Taylor Series Error
For
n=0
n=1
...n=9
Solution for problem 5:Egm6341.s10.team2.patodon 21:43, 10 February 2010 (UTC)
Proofread problem 5:
Problem 6: (n+1)th derivative of Lagrange Interpolation Error
P. 12-2 reference: Lecture-12 Notes
Problem Statement
For the Lagrange Interpolation Error verify the following:
|
|
(1)
|
Solution
We can write the Lagrange Interpolation error as
differentiating the above expression once we get
differentiating the expression (n+1) times we get
But since
is a polynomial of degree n the (n+1)th derivative is zero
|
|
(1)
|
Solution for problem 6: Egm6341.s10.team2.niki 00:20, 8 February 2010 (UTC)
Proofread problem 6:
P. 12-3 (top); reference: Lecture-12 Notes
Problem Statement
To Prove that the
derivative of
is
Solution
We know that by definition
is:
Expanding the above terms in the product, we get:
We see that the above expression is a
degree polynomial in
Let it be expressed as:
Note that here the coefficient of
is 1. As we successively differentiate the
term
times, all the lower degree terms that are less than
vanish. Therefore, we are concerned only about the
degree term i.e.
as we successively differentiate the equation.
Thus, we proved that the
derivative of
is
Solution for problem 7: Egm6341.s10.team2.madala 11:58, 8 February 2010 (UTC)
Proofread problem 7:
Problem-8: Geometric Interpretation of G(x) Error for Log(x)
P.12-3
Problem Statement
Let
Plot:
1) A graph of
and
2) A plot of the Lagrange Polynomial when i=3
3) A plot of
when n=6
Part 1
The Lagrange Interpolation Function is as follows:
The plot is as follows:
Part 2
The Lagrange Polynomial is as follows:
The plot as follows:
Part 3
The Plot as Follows:
Solution for problem 8:
Proofread problem 8: Srikanth Madala 07:04, 11 February 2010 (UTC)
Problem-9: Error in simple Trapezoidal rule
Solution for problem 9: Egm6341.s10.team2.lee 20:48, 9 February 2010 (UTC)
Proofread problem 9:
Problem 10: Simple Simpson's Rule Error
P. 13-2
Problem Statement
Show that the Error for the simple simpson's rule is:
Solution
The error can be written:
with
The Integral can be evaluated as follows:
After algebraic manipulation and simplification the following is obtained:
which reduces to:
This result is used in the error function to yield:
Solution for problem 10: Guillermo Varela
Problem 11:To show that Simpson's rule can be used to integrate a cubic polynomial exactly
P. 13-3, reference: Lecture-13 Notes
Problem Statement
Given the polynomial
where
determine the exact integral
and the integral using Simpson's Rule
Solution
Case A: Determination of Exact Integral
|
|
(1)
|
Case B: Using Simple Simpson's rule
We have the Simple Simpson's rule as
|
|
(2 p7-2)
|
where
we know
substituting we get
|
|
(2)
|
Conclusion
From the above we see that
which proves that the Simpsons rule can integrate a cubic polynomial exactly
Solution for problem 11: Egm6341.s10.team2.niki 00:23, 8 February 2010 (UTC)
Proofread problem 11:
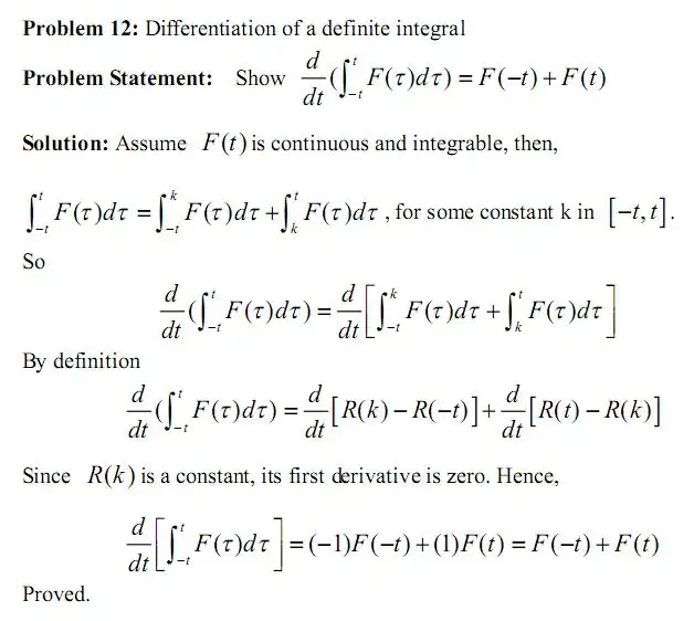
Problem-12: Differentiation of a definite integral
Solution for problem 12:Egm6341.s10.team2.lee 20:54, 9 February 2010 (UTC)
Proofread problem 12:
Solution for problem 13: Egm6341.s10.team2.lee 20:47, 9 February 2010 (UTC)
Proofread problem 13: Srikanth Madala 07:04, 11 February 2010 (UTC)
P. 15-2 (bottom), Refer: Lecture-15 Notes
Title
To Prove that:
which is an intermediate step in the proof of tight error bound of simple Simpson's rule
Solution
We know by the definition
|
|
|
|
|
Differentiating with respect to 't', we get:
Again Differentiating with respect to 't', we get:
|
|
|
|
|
Again Differentiating with respect to 't', we get:
|
|
|
|
|
Thus Proved.
Solution for problem 14: Srikanth Madala 07:04, 11 February 2010 (UTC)
Proofread problem 14:
Problem-15: Relationship between ζ and ζ 4
P. 15-3 on Lecture-15 Notes
Problem Statement
Proof:
Solution
Given:
The next step is to substitute h, and manipulate the equations as follows:
It is then seen that the relation between
must be:
Solution for problem 15:
Proofread problem 15:
Problem 16: Illustration of Runge Phenomenon
P. 16-1 on Lecture-16 Notes
Problem Statement
Given data:
To find:
- Using Newton-Cotes for
find the numerical integral
, and find Exact Integral
also for comparison
- Plot
for selected values of 
- Plot
vs
and prove that the value of
does not converge with increasing value of 
- Prove that the weights
for
are not all positive and plot the
for
with 
Solution
1. From the below Matlab code, we generate the values of
and various values of
as tabulated below:
Integrals using Newton Cotes
|
|
|
Exact Integral value (I i.e 'IE' in Matlab code)
|
2 Arctan(5)=2.7468
|
| n
|
Numerical Integral Value (I_{n} i.e 'I' in Matlab code)
|
Percent Difference
|
| n=1
|
0.3846
|
614.1684
|
| n=2
|
6.7949
|
-59.5754
|
| n=3
|
2.0814
|
31.9659
|
| n=4
|
2.3740
|
15.7033
|
| n=5
|
2.3077
|
19.0281
|
| n=6
|
3.8704
|
-29.0314
|
| n=7
|
2.8990
|
-5.2499
|
| n=8
|
1.5005
|
83.0604
|
| n=9
|
2.3986
|
14.5160
|
| n=10
|
4.6733
|
-41.2235
|
| n=11
|
3.2448
|
-15.3469
|
| n=12
|
-0.3129
|
-977.7504
|
| n=13
|
1.9198
|
43.0777
|
| n=14
|
7.8995
|
-65.2284
|
| n=15
|
4.1556
|
-33.9006
|
2. We already know that:
And from Matlab code below we know that:
Using the above equations, we generate plots (as show in the picture below) of the function
for selected values of
3. The following picture is generated using the Matlab code below and from the graph we can observe that the value of
does not converge with increasing value of
For each projected dotted line from X-axis on to the blue curve, we have a distinct numerical value of
on the Y-axis. The Exact Integral-
is the green straight line on the plot. We can clearly see that there is no convergence in the value of
(on Y-axis) as
(on X-axis) value increases.
4. The Values of weights are evaluated by integrated the Lagrange polynomials within the integration limits and they are presented in the table below. It can be noted that the Bold weights in the table are negative
Weights of the function
|
n-value
|
W0 Value
|
W1 Value
|
W2 Value
|
W3 Value
|
W4 Value
|
W5 Value
|
W6 Value
|
W7 Value
|
W8 Value
|
W9 Value
|
W10 Value
|
W11 Value
|
W12 Value
|
W13 Value
|
W14 Value
|
W15 Value
|
| 8
|
989/2835
|
5888/2835
|
-928/2835
|
10496/2835
|
-908/567
|
10496/2835
|
-928/2835
|
5888/2835
|
989/2835
|
|
|
|
|
|
|
| 9
|
2857/8960
|
15741/8960
|
27/224
|
1209/560
|
2889/4480
|
2889/4480
|
1209/560
|
27/224
|
15741/8960
|
2857/8960
|
|
|
|
|
|
|
| 10
|
80335/299376
|
132875/74844
|
-80875/99792
|
28375/6237
|
-24125/5544
|
89035/12474
|
-24125/5544
|
28375/6237
|
-80875/99792
|
132875/74844
|
80335/299376
|
|
|
|
|
|
| 11
|
434293/1741824
|
4495513/2903040
|
-3237113/8709120
|
560593/193536
|
-1599257/1451520
|
2582261/1451520
|
2582261/1451520
|
-1599257/1451520
|
560593/193536
|
-3237113/8709120
|
4495513/2903040
|
434293/1741824
|
|
|
|
|
| 12
|
1364651/6306300
|
25008/15925
|
-210774/175175
|
1786256/315315
|
-1144251/140140
|
2431008/175175
|
-1045204/75075
|
2431008/175175
|
-1144251/140140
|
1786256/315315
|
-210774/175175
|
25008/15925
|
1364651/6306300
|
|
|
|
| 13
|
8181904909/40236134400
|
56280729661/40236134400
|
-1737125143/2235340800
|
11148172711/2874009600
|
-6066382933/1609445376
|
22964826443/4470681600
|
-3592666051/3353011200
|
-3592666051/3353011200
|
22964826443/4470681600
|
-6066382933/1609445376
|
11148172711/2874009600
|
-1737125143/2235340800
|
56280729661/40236134400
|
8181904909/40236134400
|
|
|
| 14
|
90241897/500385600
|
44436679/31274100
|
-770720657/500385600
|
109420087/15637050
|
-6625093363/500385600
|
789382601/31274100
|
-5600756791/166795200
|
101741867/2606175
|
-5600756791/166795200
|
789382601/31274100
|
-6625093363/500385600
|
109420087/15637050
|
-770720657/500385600
|
44436679/31274100
|
90241897/500385600
|
|
| 15
|
25221445/147603456
|
147529925/114802688
|
-129408925/114802688
|
1746295975/344408064
|
-124034975/16400384
|
1367713705/114802688
|
-10001664025/1033224192
|
566004225/114802688
|
566004225/114802688
|
-10001664025/1033224192
|
1367713705/114802688
|
-124034975/16400384
|
1746295975/344408064
|
-129408925/114802688
|
147529925/114802688
|
25221445/147603456
|
The plot of
for
with 
MATLAB Code:
To generate the values of numerical Intergrals:
%To generate Lagrange polynomials l(x)%
for n=1:15
for i=1:n+1
x(n,i) = -5+(i-1)*10/n;
f(n,i) = 1/(1+x(n,i)^2);
end
end
syms y;
for n=1:15
for i=1:n+1
pr=1;
for j=1:n+1
if j~=i
pr=pr*((y-x(n,j))/(x(n,i)-x(n,j)));
end
end
l(n,i)=pr;
end
end
%To generate Fn(x)for numerically integrating%
for n=1:15
for i=1:n+1
F(n,i)=l(n,i)*f(n,i);
end
end
for n=1:15
sum=0;
for i=1:n+1
sum=sum+F(n,i);
end
G(n)=sum;
end
for n=1:15
T(n,1)=G(n);
end
%for calculating Exact Integral and Numerical Integral%
Ie=double(int(1/(1+y^2),y,-5,5));
for n=1:15
I(n,1)=int(T(n,1),y,-5,5);
IE(n,1)=Ie;
end
n=linspace(1,15,15);
I=double(I);
plot(n,I,n,IE);
legend('I=Numerical Integral(I_n)','IE=Exact Integral(I)');
xlabel('n-Value (Degree of the Newton-Cotes appoximating polynomial)');
ylabel('Numerical Value of Exact Integral (I) and Numerical Integrals (I_n)');
%code for calculating percentage error%
for n=1:15
PE(n,1)=(((IE(n,1)-I(n,1))/I(n,1))*100);
end
Te=(1/(1+y^2));
%code for plotting f,f1,f2,f3,f8 and f12 that are represented by Te, T(1,1), T(2,1), T(3,1), T(8,1), T(12,1) respectively in this code%
figure (2);
EZPLOT(Te);
hold on;
EZPLOT(T(1,1))
hold on;
EZPLOT(T(2,1))
hold on;
EZPLOT(T(3,1))
hold on;
EZPLOT(T(8,1))
hold on;
EZPLOT(T(12,1))
hold on;
xlabel('x- Value ');
ylabel('f(x),f1(x),f2(x),f3(x),f8(x) and f12(x)');
%code for calculating the Weights by integrating the lagrange polnomial%
for n=1:15
for i=1:n+1
W(n,i)=int(l(n,i),y,-5,5);
end
end
%code for plotting L0,L1,L2,L3,L4...L7 and L8 for n=8%
figure (3);
ezplot(l(8,1));
hold on;
ezplot(l(8,2));
hold on;
ezplot(l(8,3));
hold on;
ezplot(l(8,4));
hold on;
ezplot(l(8,5));
hold on;
ezplot(l(8,6));
hold on;
ezplot(l(8,7));
hold on;
ezplot(l(8,8));
hold on;
ezplot(l(8,9));
hold on;
xlabel('x- Value ');
ylabel('L0(x),L1(x),L2(x),L3(x)....L7(x) and L8(x)');
Solution for problem 16: Srikanth Madala 07:04, 11 February 2010 (UTC)
Proofread problem 16:
Contributing Authors
Solutions for problem 5 and proofread problems: 3,6,8,and 12--Egm6341.s10.team2.patodon 16:42, 10 February 2010 (UTC)
--Egm6341.s10.Team2.GV 21:55, 10 February 2010 (UTC)
Solutions for problems 1,6,11 and proofread 5,9,14--Niki Nachappa Chenanda Ganapathy
Solutions for problems 4,9,12,13 and proofread 2,10,11--Pengxiang Jiang
Solutions for problems 2,7,14,16 and proofread 1,8,13--Srikanth Madala 07:04, 11 February 2010 (UTC)
Problem Assignments
|
| Problem
|
Solution
|
Proofread
|
| Problem 1
|
NN
|
SM
|
| Problem 2
|
SM
|
JP
|
| Problem 3
|
GV
|
PO
|
| Problem 4
|
JP
|
GV
|
| Problem 5
|
PO
|
NN
|
| Problem 6
|
NN
|
PO
|
| Problem 7
|
SM
|
GV
|
| Problem 8
|
PO
|
SM
|
| Problem 9
|
JP
|
NN
|
| Problem 10
|
GV
|
JP
|
| Problem 11
|
NN
|
JP
|
| Problem 12
|
GV
|
PO
|
| Problem 13
|
JP
|
SM
|
| Problem 14
|
SM
|
NN
|
| Problem 15
|
PO
|
GV
|
| Problem 16
|
SM
|
PO
|