R.1.1: Equation of Motion for a Spring-dashpot Parallel System in Series with Mass and Applied Force[1]
Problem Statement
Given a spring-dashpot system in parallel with an applied force, find the equation of motion.
Background Theory
For this problem, Newton's second law is used,
-

|
|
(1-1)
|
and applied to the mass at the end of a spring and damper in parallel.
Solution
Assuming no rotation of the mass,
-

|
|
(1-2)
|
Therefore, the spring and damper forces can be written as, respectively,
-

|
|
(1-3)
|
and
-

|
|
(1-4)
|
And the resultant force on the mass can be written as
-

|
|
|
Now, from equations (1-3) and (1-4) all of the forces can be substituted into Newton's second law, and since each distance is equal,
-

|
|
(1-5)
|
Substituting these exact force equations,
-

|
|
|
A little algebraic manipulation yields
-

|
|
|
Finally, dividing by the mass to put the equation in standard form gives the final equation of motion for the mass:
-

|
|
(1-6)
|
References
- ↑ EGM4313: Section 1 Notes (.djvu)
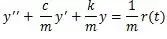
R.1.2: Equation of Motion for a Spring-mass-dashpot System with Applied Force[1]
Problem Statement
For this problem, the task was to derive the equation of motion of the spring-mass-dashpot in Fig. 53, in K 2011 p.85 with an applied force r(t).
Background Theory
To solve this problem, note that the ODE of a damped mass-spring system is
-

|
|
(2-1)
|
When there is a external formal added to the model r(t) on the right. This then gives up the equation
-

|
|
(2-2)
|
Solution
In this problem referencing back to equation (1-2)
-

|
|
|
The resultant force for the system can be described as stated in equation (1-5)
-

|
|
|
Since r(t) is the external force,
-

|
|
|
The model of a mass-spring system ODE with external force on the right is modeled as
-

|
|
|
The internal force is equal to the force of the spring making this equation
-

|
|
|
When a dashpot is added, the force of the dashpot cy’ is added to the equation making it
-

|
|
(2-3)
|
For the characteristic equation m is divided throughout the whole equation making it
-
References
- ↑ EGM4313: Section 1 Notes (.djvu)
R.1.3: Free-body Diagram and Equation of Motion for Spring-dashpot-mass System[1]
Problem Statement
For this problem we were to draw the FBDs and derive the equation of motion for the following system.
Background Theory
To start solving this problem, we have to first look at how the spring, dashpot, and mass interact with each other by analyzing their respective free-body diagrams.
Next we take a look at what we already know.
We know from kinematics that:
-

|
|
(3-1)
|
We also know from kinetics that:
-

|
|
(3-2)
|
-

|
|
(3-3)
|
From the constitutive relations we know:
-

|
|
(3-4)
|
-

|
|
(3-5)
|
We also know:
-

|
|
(3-6)
|
-

|
|
(3-7)
|
by solving for
we get
-

|
|
(3-8)
|
Solution
To derive the equation of motion we have to manipulate and combine a few formulas that we know.
We first take what we found in (3-2)
and substitute in
-

|
|
(3-9)
|
for
. From equations (3-3), (3-4), and (3-5) we can substitute
for
-

|
|
|
After the substitutions into equation (3-2) we have
-

|
|
(3-10)
|
From the equation (3-8) we know
-

|
|
|
We can then substitute this into equation (3-10) getting
-

|
|
|
To get the answer in its final form we divide both sides of the equation by m, and our final answer is
-

|
|
(3-11)
|
References
- ↑ EGM4313: Section 1 Notes (.djvu)
R.1.4: Derivation of Voltage-Charge and Voltage-Current Relationships[1]
Problem Overview
For this problem, the goal is to derive two different equations from the circuit equation
-

|
|
(4-1)
|
Each separate derivation is presented in Voltage-Charge Derivation and Voltage-Current Derivation
Background Theory
To solve these derivation, it is wise to note that capacitance is
-

|
|
(4-2)
|
It can also be noted that

This means that

Completing the integration results in
-

|
|
(4-3)
|
It should also be noted that (4-2) can be written in the form
-

|
|
(4-4)
|
It should also be noted that (4-3) can be written in the form
-

|
|
(4-5)
|
Voltage-Charge Derivation
Problem Statement
For this problem, the Voltage-Charge equation
-

|
|
(4-6)
|
are derived from (4-1)
Solution
Taking the derivative of (4-2) are taken with respect to time
-

|
|
(4-7)
|
-

|
|
(4-8)
|
Substituting (4-4), (4-7), and (4-8) into (4-1) results in (4-6) such that
-

|
|
(4-9)
|
Voltage-Current Derivation
Problem Statement
For this problem, the following equation
-

|
|
(4-10)
|
are derived from (4-1)
Solution
The first step is to take the derivative of (4-1) resulting in
-

|
|
(4-11)
|
Taking the derivative of (4-3) are taken with respect to time
-

|
|
(4-12)
|
-

|
|
(4-13)
|
Substituting (4-3), (4-12), and (4-13) into (4-11) results in (4-10) such that
-

|
|
(4-16)
|
References
- ↑ EGM4313: Section 2 Notes (.djvu)
R.1.5: Solutions of General 2nd Order ODEs[1]
Consider a second-order homogeneous linear ODE with constant coefficients a and b.
-

|
|
(5-1)
|
To solve this problem, note that the solution to a first-order linear ODE of the form:
-

|
|
|
is an exponential function, yielding a solution of the form:
-

|
|
(5-2)
|
Based upon this, we will expand the solution to apply to second-linear homogeneous ODEs. To do so, we must first find equations describing
and
, and so we will take the derivatives (with respect to x) of (5-2).
-

|
|
(5-3)
|
-

|
|
(5-4)
|
We will now substitute (5-2), (5-3), and (5-4) into (5-1) to obtain the relationship:
-

|
|
|
- Simplifying, we have:
-

|
|
|
-

|
|
(5-5)
|
Since (5-5) follows the same form as the quadratic equation, we can solve for
and
as follows:
-

|
|
|
-

|
|
|
Referring back to algebra, we know that the solution to these two equations can be one of three cases:
Case 1
Two real roots if...
-

|
|
|
These two roots give us two solutions:
 |
|
and |
|
|
The corresponding general solution then takes the form of the following:
-

|
|
(5-6)
|
Case 2
A real double root if...
-

|
|
|
This yields only one solution:

In order to form a basis, a set of two linearly independent solutions, we must find another solution. To do so, we will use the method of reduction of order, where:

- and
- yeilding


Since
is a solution of (5-1), the last set of parentheses is zero.
Similarly, the first parentheses is zero as well, because

From integration, we get the solution:

If we set
and

Thus, the general solution is:
-

|
|
(5-7)
|
Case 3
Complex conjugate roots if...
-

|
|
|
In this case, the roots of (5-5) are complex:
- and

Thus, the corresponding general solution is of the form:
-

|
|
(5-8)
|
P.2.2.4
Problem Statement
For this problem, we were tasked with finding the general solution to the homogeneous linear ODE given below:
-

|
|
(5a-1)
|
Solution
Following the process that yields (5-5), we find the equation:
-

|
|
(5a-2)
|
To find the form of the general solution, we must solve for the values of
using the quadratic formula:
Since the solutions to
are complex numbers, our solution takes the form of (5-8):
-

|
|
(5a-3)
|
A and B are constant coefficients of unknown value. Had we been given initial values of
and
, we would solve for those values as well.
Confirmation of Solution
To confirm that the solution is true, we will substitute
,
, and
into (5a-1). If the final result is a tautology[3] then the solution is confirmed. If the result is a contradiction, a statement that is never true, then our solution is disproved.
-

|
|
|
-

|
|
(5a-4)
|
-

|
|
|
-

|
|
(5a-5)
|
Substituting (5a-3), (5a-4), and (5a-5) into (5a-1), we are left with:
-
![{\displaystyle [4e^{-2x}(Acos(\pi x)+Bsin(\pi x))-2e^{-2x}(-A\pi sin(\pi x)+B\pi cos(\pi x))-2e^{-2x}(-A\pi sin(\pi x)+B\pi cos(\pi x))+e^{-2x}(-A\pi ^{2}cos(\pi x)-B\pi ^{2}sin(\pi x))]}](../../../f15c14fc35b66f612e166005cb7bfb1c8a23639b.svg)
|
|
|
-
![{\displaystyle +4[-2e^{-2x}(Acos(\pi x)+Bsin(\pi x))+e^{-2x}(-A\pi sin(\pi x)+B\pi cos(\pi x))]+(\pi ^{2}+4)[e^{-2x}(Acos(\pi x)+Bsin(\pi x))]=0}](../../../48717170c62d5de5a23adf356fbad9cfa84ee8f1.svg)
|
|
|
Combining similar terms allows us to clean up this solution and check our answer:
-
![{\displaystyle e^{-2x}[cos(\pi x)[(4A-2B\pi -2B\pi -A\pi ^{2})+(-8A+4B\pi )+(A\pi ^{2}+4A)]+sin(\pi x)[(4B+2A\pi +2A\pi -B\pi ^{2})+(-8B-4A\pi )+(B\pi ^{2}+4B)]]=0}](../../../aee1fb1a6301e734d02c002b85368180a11de76a.svg)
|
|
|
-
![{\displaystyle e^{-2x}[cos(\pi x)[A(4+4-8-\pi ^{2}+\pi ^{2})+B(-2\pi -2\pi +4\pi )]+sin(\pi x)[A(2\pi +2\pi -4\pi )+B(4+4-8-\pi ^{2}+\pi ^{2})]]=0}](../../../12d747b11c66eb6d5435adc1162058326645076d.svg)
|
|
|
-
![{\displaystyle e^{-2x}[cos(\pi x)(0)+sin(\pi x)(0)]=0}](../../../f9cb6106d2f7c3c087c7ba43827bab90c03b7b16.svg)
|
|
|
-

|
|
|
Final Solution
Since the outcome of our check is a tautology, the solution is confirmed for all values of A and B and we affirm that the final solution is:

P.2.2.5
Problem Statement
For this problem, we were tasked with finding the general solution to the homogeneous linear ODE given below:
-

|
|
(5b-1)
|
Solution
Following the process that yields (5-5), we find the equation:
-

|
|
(5b-2)
|
To find the form of the general solution, we must solve for the values of
. Instead of going through the quadratic formula, we can analyze the discriminant.
-

|
|
|
Thus we see that the discriminant follows Case 2 and the general solution must follow the form of (5-7), and we have the following:
-

|
|
(5b-3)
|
where
and
are unknown constant coefficients. If this were an initial value problem with values of
and
, we would solve for those values as well.
Confirmation of Solution
To confirm that the solution is true, we will substitute
,
, and
into (5a-1) and check to see if the final result is a tautology or a contradiction.
-

|
|
(5b-4)
|
-

|
|
(5b-5)
|
Substituting (5b-3), (5b-4), and (5b-5) into (5b-1), we are left with:
-
![{\displaystyle [\pi ^{2}(c_{1}+c_{2}x)e^{-\pi x}+-2\pi c_{2}e^{-\pi x}]+2\pi [-\pi (c_{1}+c_{2}x)e^{-\pi x}+c_{2}e^{-\pi x}]+\pi ^{2}[(c_{1}+c_{2}x)e^{-\pi x}]=0}](../../../bd6970b5597f45c7ef1a37b19633f3a8853e0eba.svg)
|
|
|
After combining similar terms, we have the form:
-
![{\displaystyle \pi ^{2}[(c_{1}+c_{2}x)e^{-\pi x}-2(c_{1}+c_{2}x)e^{-\pi x}+(c_{1}+c_{2}x)e^{-\pi x}]+2\pi [c_{2}e^{-\pi x}-c_{2}e^{-\pi x}]=0}](../../../371650ca0730652c5ef18b1742a8c8877079f477.svg)
|
|
|
-

|
|
|
Final Solution
Since the above result is a tautology for all values of
and
, (5-3) is confirmed and the general solution to (5-1) is:
-

|
|
|
References
- ↑ EGM4313: Section 2 Notes (.djvu)
- ↑ Kreyszig, Erwin; Herbert Kreyszig; Edward J. Norminton (2011). Advanced Engineering Mathematics. John Wily & Sons, Inc. ISBN 978-0-470-45836-5. Pg 52-58
- ↑ Introduction to Propositional Logic
R.1.6: Determination of ODE Order, Linearity, and Application of the Superposition Principle[1]
Problem Statement
Given the eight Ordinary Differential Equations shown below:
(1) Determine the order
(2) Determine the linearity (or lack of)
(3) Show whether the principle of superposition can be applied for each equation
Consider a function
, defined as the sum of the homogeneous solution,
, and the particular solution,
:
-

|
|
(6-1)
|
Example:
Consider the Differential Equation in standard form:
-

|
|
(6-2)
|
The homogeneous solution is then:
-

|
|
(6-3)
|
and the particular solution is:
-

|
|
(6-4)
|
Now we sum up equations (6-3) and (6-4) to get:
-

|
|
(6-5)
|
If the Equation is Linear then some reductions can take place:
and
Now we can make some substitutions into (6-5)using (6-3)and (6-4):
-

|
|
(6-6)
|
Which is the same as equation (6-2):
Solution
Part A
-

|
|
(6a-1)
|
Order:
Order ODE
Linearity: Linear
Superposition: Yes
This can be shown using the method from the background theory.
Recall:

The homogeneous solution is:
-

|
|
(6a-2)
|
The particular solution is:
-

|
|
(6a-3)
|
Now we add Equations (6a-2) and (6a-3):
-

|
|
(6a-4)
|
We can use (6-1) to simplify (6a-4):
-

|
|
(6a-5)
|
-

|
|
(6a-6)
|
Since (6a-1) and (6a-6) are the same then we can apply Superposition.
Part B
-

|
|
(6b-1)
|
Order:
Order ODE
Linearity: Non-Linear
Superposition: No
This can be shown using the method from the background theory.
Before we start it is easier to do the problem if the equation is rearranged as such:
-

|
|
(6b-2)
|
Recall:

The homogeneous solution is:
-

|
|
(6b-3)
|
The particular solution is:
-

|
|
(6b-4)
|
Now we add Equations (6b-3) and (6b-4):
-

|
|
(6b-5)
|
We can use (6-1) to simplify (6b-5):
-

|
|
(6b-6)
|
Note that:

So we cannot apply Super position.
Part C
-

|
|
(6c-1)
|
Order:
Order ODE
Linearity: Non-Linear
Superposition: No
This can be shown using the method from the background theory.
Before we start it is easier to do the problem if the equation is rearranged like this:
-

|
|
(6c-2)
|
Recall:

The homogeneous solution is:
-

|
|
(6c-3)
|
The particular solution is:
-

|
|
(6c-4)
|
Now we add Equations (6c-3) and (6c-4):
-

|
|
(6c-5)
|
We can use (6-1) to simplify (6c-5):
-

|
|
(6c-6)
|
Note that:

So we cannot apply Super position.
Part D
-

|
|
(6d-1)
|
Order:
Order ODE
Linearity: Linear
Superposition: Yes
This can be shown using the method from the background theory.
Recall:

The homogeneous solution is:
-

|
|
(6d-2)
|
The particular solution is:
-

|
|
(6d-3)
|
Now we add Equations (6d-2) and (6d-3):
-

|
|
(6d-4)
|
We can use (6-1) to simplify (6d-4):
-

|
|
(6d-5)
|
-

|
|
(6d-6)
|
Since (6d-1) and (6d-6) are the same then we can apply Superposition.
Part E
-

|
|
(6e-1)
|
Order:
Order ODE
Linearity: Linear
Superposition: Yes
This can be shown using the method from the background theory.
Recall:

The homogeneous solution is:
-

|
|
(6e-2)
|
The particular solution is:
-

|
|
(6e-3)
|
Now we add Equations (6e-2) and (6e-3):
-

|
|
(6e-4)
|
We can use (6-1) to simplify (6e-4):
-

|
|
(6e-5)
|
-

|
|
(6e-6)
|
Since (6e-1) and (6e-6) are the same then we can apply Superposition.
Part F
-

|
|
(6f-1)
|
Order:
Order ODE
Linearity: Linear
Superposition: Yes
This can be shown using the method from the background theory.
Recall:

The homogeneous solution is:
-

|
|
(6f-2)
|
The particular solution is:
-

|
|
(6f-3)
|
Now we add Equations (6f-2) and (6f-3):
-

|
|
(6f-4)
|
We can use (6-1) to simplify (6f-4):
-

|
|
(6f-5)
|
-

|
|
(6f-6)
|
Since (6f-1) and (6f-6) are the same then we can apply Superposition.
Part G
-

|
|
(6g-1)
|
Order:
Order ODE
Linearity: Linear
Superposition: Yes
This can be shown using the method from the background theory.
Recall:

The homogeneous solution is:
-

|
|
(6g-2)
|
The particular solution is:
-

|
|
(6g-3)
|
Now we add Equations (6g-2) and (6g-3):
-

|
|
(6g-4)
|
We can use (6-1) to simplify (6g-4):
-

|
|
(6g-5)
|
-

|
|
(6g-6)
|
Since (6g-1) and (6g-6) are the same then we can apply Superposition.
Part H
-

|
|
(6h-1)
|
Order:
Order ODE
Linearity: Non-Linear
Superposition: No
This can be shown using the method from the background theory.
Recall:

The homogeneous solution is:
-

|
|
(6h-2)
|
The particular solution is:
-

|
|
(6h-2)
|
Now we add Equations (6h-2) and (6h-3):
-

|
|
(6h-4)
|
We can use (6-1) to simplify (6h-4):
-

|
|
(6h-5)
|
Note that:

So we cannot apply Super position.
References
- ↑ 1.0 1.1 EGM4313: Section 2 Notes (.djvu)
- ↑ Kreyszig, Erwin; Herbert Kreyszig; Edward J. Norminton (2011). Advanced Engineering Mathematics. John Wily & Sons, Inc. ISBN 978-0-470-45836-5. Pg 46-48
Contributing Members
Team Contribution Table
|
| Problem Number |
Solved and Typed By |
Proofread By
|
| 1.1 |
Maxwell Shuman |
Yamil Herrera
|
| 1.2 |
Dalwin Marrero |
Maxwell Shuman
|
| 1.3 |
Ron D'Amico |
Dalwin Marrero
|
| 1.4 |
Jennifer Melroy |
Ron D'Amico
|
| 1.5 |
Mark James and Avery Cornell |
Jennifer Melroy
|
| 1.6 |
Yamil Herrera |
Avery Cornell
|
| Diagrams and Wiki Set-up |
Mark James |
Team
|