MyOpenMath/Solutions/c19SurfaceIntegralCALCULUS
|
Review of dot product and a reminder that unit vectors are orthogonal and have unit magnitude. Since we are in cylindrical coordinates, we use for distance to the axis to avoid the use of in spherical coordinates. Define the vector area differential element using the outward unit normal . From the top down, we see the top of the cylinder in what looks like polar coordinates. On the top circle have a Also shown in is the curved side of the cylinder. Here the dimensions of the small rectangle are such that . |
|
The unit vectors are replaced by . |
|
Evaluate the integral over the top surface. |
|
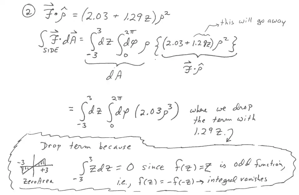
On the curved sides, . Note that the "odd" term vanishes:
|
|
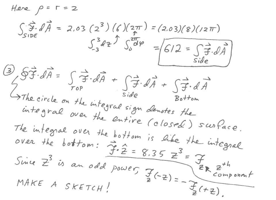
When doing the integral over the entire surface, it is customary to put a little circle at the center of the integral sign. |
|
When adding the top and bottom integrals we have to remember that on the top surface but that on the bottom surface. The result depends on whether is an even or odd function of z. |





