TEMPO

TEMPO
Names
Preferred IUPAC name
(2,2,6,6-Tetramethylpiperidin-1-yl)oxyl
Other names
(2,2,6,6-Tetramethylpiperidin-1-yl)oxidanyl
Identifiers
3D model (JSmol)
ChEBI
ChEMBL
ChemSpider
ECHA InfoCard 100.018.081
EC Number
  • 219-888-8
RTECS number
  • TN8991900
UNII
  • InChI=1S/C9H18NO/c1-8(2)6-5-7-9(3,4)10(8)11/h5-7H2,1-4H3 checkY
    Key: QYTDEUPAUMOIOP-UHFFFAOYSA-N checkY
  • InChI=1/C9H18NO/c1-8(2)6-5-7-9(3,4)10(8)11/h5-7H2,1-4H3
    Key: QYTDEUPAUMOIOP-UHFFFAOYAP
  • CC1(CCCC(N1[O])(C)C)C
Properties
C9H18NO
Molar mass 156.249 g·mol−1
Appearance Orange-red solid
Melting point 36 to 38 °C (97 to 100 °F; 309 to 311 K)
Boiling point sublimes under vacuum
Hazards
GHS labelling:
GHS05: Corrosive
Danger
H314
P260, P264, P273, P280, P301+P330+P331, P303+P361+P353, P304+P340, P305+P351+P338, P310, P321, P363, P405, P501
Safety data sheet (SDS) External MSDS
Except where otherwise noted, data are given for materials in their standard state (at 25 °C [77 °F], 100 kPa).
checkY verify (what is checkY☒N ?)
Infobox references

(2,2,6,6-Tetramethylpiperidin-1-yl)oxyl or (2,2,6,6-tetramethylpiperidin-1-yl)oxidanyl, commonly known as TEMPO, is a chemical compound with the formula (CH2)3(CMe2)2NO. This heterocyclic compound is a red-orange, sublimable solid. As a stable aminoxyl radical, it has applications in chemistry and biochemistry.[1] TEMPO is used as a radical marker, as a structural probe for biological systems in conjunction with electron spin resonance spectroscopy, as a reagent in organic synthesis, and as a mediator in controlled radical polymerization.[2]

Preparation

TEMPO was discovered by Lebedev and Kazarnowskii in 1960.[3] It is prepared by oxidation of 2,2,6,6-tetramethylpiperidine.[4]

Structure and bonding

Structure of TEMPO. The N–O distance is 1.284 Å.[5].

The structure has been confirmed by X-ray crystallography. The reactive radical is well shielded by the four methyl groups.

The stability of this radical can be attributed to the delocalization of the radical to form a two-center three-electron N–O bond. The stability is reminiscent of the stability of nitric oxide and nitrogen dioxide. Additional stability is attributed to the steric protection provided by the four methyl groups adjacent to the aminoxyl group. These methyl groups serve as inert substituents, whereas any CH center adjacent to the aminoxyl would be subject to abstraction by the aminoxyl.[6]

Regardless of the reasons for the stability of the radical, the O–H bond in the hydrogenated derivative (the hydroxylamine 1-hydroxy-2,2,6,6-tetramethylpiperidine) TEMPO–H is weak. With an O–H bond dissociation energy of about 70 kcal/mol (290 kJ/mol), this bond is about 30% weaker than a typical O–H bond.[7]

Application in organic synthesis

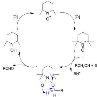
TEMPO is employed in organic synthesis as a catalyst for the oxidation of primary alcohols to aldehydes. The actual oxidant is the N-oxoammonium salt. In a catalytic cycle with sodium hypochlorite as the stoichiometric oxidant, hypochlorous acid generates the N-oxoammonium salt from TEMPO.

One typical reaction example is the oxidation of (S)-(−)-2-methyl-1-butanol to (S)-(+)-2-methylbutanal:[8] 4-Methoxyphenethyl alcohol is oxidized to the corresponding carboxylic acid in a system of catalytic TEMPO and sodium hypochlorite and a stoichiometric amount of sodium chlorite.[9] TEMPO oxidations also exhibit chemoselectivity, being inert towards secondary alcohols, but the reagent will convert aldehydes to carboxylic acids.

The oxidation of TEMPO can be highly selective. In basic conditions, TEMPO oxidizes primary alcohols before secondary alcohols.[10] But in acid, secondary alcohols provide an H ion more easily, and oxidize first instead.[11]

In cases where secondary oxidizing agents cause side reactions, it is possible to stoichiometrically convert TEMPO to the oxoammonium salt in a separate step. For example, in the oxidation of geraniol to geranial, 4-acetamido-TEMPO is first oxidized to the oxoammonium tetrafluoroborate.[12]

TEMPO can also be employed in nitroxide-mediated radical polymerization (NMP), a controlled free radical polymerization technique that allows better control over the final molecular weight distribution. The TEMPO free radical can be added to the end of a growing polymer chain, creating a "dormant" chain that stops polymerizing. However, the linkage between the polymer chain and TEMPO is weak, and can be broken upon heating, which then allows the polymerization to continue. Thus, the chemist can control the extent of polymerization and also synthesize narrowly distributed polymer chains.

Industrial applications and analogues

TEMPO is sufficiently inexpensive for use on a laboratory scale.[13] There is also industrial-scale manufacturer which can provide TEMPO at a reasonable price in large quantity.[14] Structurally related analogues do exist, which are largely based on 4-hydroxy-TEMPO (TEMPOL). This is produced from acetone and ammonia, via triacetone amine, making it much less expensive. Other alternatives include polymer-supported TEMPO catalysts, which are economic due to their recyclability.[15]

Industrial-scale examples of TEMPO-like compounds include hindered amine light stabilizers and polymerisation inhibitors.

See also

References

  1. ^ Barriga, S. (2001). "2,2,6,6-Tetramethylpiperidine-1-oxyl (TEMPO)" (PDF). Synlett. 2001 (4): 563. doi:10.1055/s-2001-12332.
  2. ^ Montanari, F.; Quici, S.; Henry-Riyad, H.; Tidwell, T. T. (2005). "2,2,6,6-Tetramethylpiperidin-1-oxyl". Encyclopedia of Reagents for Organic Synthesis. John Wiley & Sons. doi:10.1002/047084289X.rt069.pub2. ISBN 0471936235.
  3. ^ Lebedev, O. L.; Kazarnovskii, S. N. (1960). "[Catalytic oxidation of aliphatic amines with hydrogen peroxide]". Zhur. Obshch. Khim. 30 (5): 1631–1635. CAN 55:7792.
  4. ^ Mahapatro, Surendra N.; Kallan, Nicholas C.; Hovey, Tanden A.; De Dios, Robyn Krystal; Vergil, Catherine; Lai, Trinh; De Dios, Robert Christian; Tran, Danny; McEvoy, James P. (2024). "TEMPO Synthesis, Characterization and Catalysis: An Integrated Upper-Division Laboratory". Journal of Chemical Education. 101 (12): 5449–5459. Bibcode:2024JChEd.101.5449M. doi:10.1021/acs.jchemed.4c00739.
  5. ^ Yonekuta Yasunori, Oyaizu Kenichi, Nishide Hiroyuki (2007). "Structural Implication of Oxoammonium Cations for Reversible Organic One-electron Redox Reaction to Nitroxide Radicals". Chem. Lett. 36 (7): 866–867. doi:10.1246/cl.2007.866.{{cite journal}}: CS1 maint: multiple names: authors list (link)
  6. ^ Zanocco, A. L.; Canetem, A. Y.; Melendez, M. X. (2000). "A Kinetic Study of the Reaction between 2-p-methoxyphenyl-4-phenyl-2-oxazolin-5-one and 2,2,6,6-Tetramethyl-1-piperidinyl-N-oxide". Boletín de la Sociedad Chilena de Química. 45 (1): 123–129. doi:10.4067/S0366-16442000000100016.
  7. ^ Galli, C. (2009). "Nitroxyl radicals". Chemistry of Hydroxylamines, Oximes and Hydroxamic Acids. Vol. 2. John Wiley & Sons. pp. 705–750. ISBN 978-0-470-51261-6. LCCN 2008046989.
  8. ^ Anelli, P. L.; Montanari, F.; Quici, S. (1990). "A General Synthetic Method for the Oxidation of Primary Alcohols to Aldehydes: (S)-(+)-2-Methylbutanal". Organic Syntheses. 69: 212{{cite journal}}: CS1 maint: multiple names: authors list (link); Collected Volumes, vol. 8, p. 367.
  9. ^ Zhao, M. M.; Li, J.; Mano, E.; Song, Z. J.; Tschaen, D. M. (2005). "Oxidation of Primary Alcohols to Carboxylic Acids with Sodium Chlorite catalyzed by TEMPO and Bleach: 4-Methoxyphenylacetic Acid". Organic Syntheses. 81: 195{{cite journal}}: CS1 maint: multiple names: authors list (link).
  10. ^ de Nooy, Arjan E.J.; Besemer, Arie C.; van Bekkum, Herman (July 1995). "Selective oxidation of primary alcohols mediated by nitroxyl radical in aqueous solution. Kinetics and mechanism". Tetrahedron. 51 (29): 8023–8032. doi:10.1016/0040-4020(95)00417-7.
  11. ^ "Detailed study about TEMPO oxidation". LISKON-CHEM.
  12. ^ Bobbitt, J. M.; Merbouh, N. (2005). "2,6-Octadienal, 3,7-dimethyl-, (2E)-". Organic Syntheses. 82: 80{{cite journal}}: CS1 maint: multiple names: authors list (link).
  13. ^ "TEMPO". Sigma-Aldrich.
  14. ^ "TEMPO-LISKON industrial-scale".
  15. ^ Ciriminna, R.; Pagliaro, M. (2010). "Industrial Oxidations with Organocatalyst TEMPO and Its Derivatives". Organic Process Research & Development. 14 (1): 245–251. doi:10.1021/op900059x.