Cefazaflur

Cefazaflur
Clinical data
ATC code
  • none
Identifiers
  • (6R,7R)-3-[(1-methyltetrazol-5-yl)sulfanylmethyl]-8-oxo-7-([2-(trifluoromethylsulfanyl)acetyl]amino)-5-thia-1-azabicyclo[4.2.0]oct-2-ene-2-carboxylic acid
CAS Number
PubChem CID
ChemSpider
UNII
KEGG
ChEMBL
CompTox Dashboard (EPA)
Chemical and physical data
FormulaC13H13F3N6O4S3
Molar mass470.46 g·mol−1
3D model (JSmol)
  • O=C2N1/C(=C(\CS[C@@H]1[C@@H]2NC(=O)CSC(F)(F)F)CSc3nnnn3C)C(=O)O
  • InChI=1S/C13H13F3N6O4S3/c1-21-12(18-19-20-21)28-3-5-2-27-10-7(9(24)22(10)8(5)11(25)26)17-6(23)4-29-13(14,15)16/h7,10H,2-4H2,1H3,(H,17,23)(H,25,26)/t7-,10-/m1/s1
  • Key:HGXLJRWXCXSEJO-GMSGAONNSA-N
  (verify)

Cefazaflur (INN) is a first-generation cephalosporin antibiotic.

Synthesis

Cefazaflur stands out among this group of analogues because it lacks an arylamide C-7 side chain (see cephacetrile for another example).

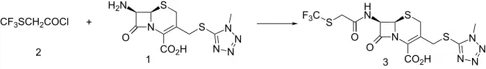
Cefazaflur synthesis:[1]

Cefazaflur is synthesized by reaction of 3-(1-methyl-1H-tetrazol-5-ylthiomethylene)-7-amino-cephem-4-carboxylic acid (1) with trifluoromethylthioacetyl chloride (2).

References

  1. ^ DeMarinis RM, Boehm JC, Dunn GL, Hoover JR, Uri JV, Guarini JR, et al. (January 1977). "Semisynthetic cephalosporins. Synthesis and structure-activity relationships of analogues with 7-acyl groups derived from 2-(cyanomethylthio)acetic acid or 2-[(2,2,2-trifluoroethyl)thio]acetic acid and their sulfoxides and sulfones". Journal of Medicinal Chemistry. 20 (1): 30–5. doi:10.1021/jm00211a006. PMID 319233.