2018 Quebec general election

2018 Quebec general election

October 1, 2018 (2018-10-01)

125 seats in the National Assembly of Quebec
63 seats needed for a majority
Opinion polls
Turnout66.45% (Decrease 4.98%)[1]
  Majority party Minority party
 
Leader François Legault Philippe Couillard
Party Coalition Avenir Québec Liberal
Leader since November 4, 2011 March 17, 2013
Leader's seat L'Assomption Roberval
Last election 22 seats, 23.05% 70 seats, 41.52%
Seats before 21 68
Seats won 74 31
Seat change Increase 53 Decrease 37
Popular vote 1,509,455 1,001,037
Percentage 37.42% 24.82%
Swing Increase14.37pp Decrease16.70pp

  Third party Fourth party
 
Leader Jean-François Lisée Manon Massé[note 1]
Party Parti Québécois Québec solidaire
Leader since October 7, 2016 May 21, 2017
Leader's seat Rosemont (lost re-election) Sainte-Marie–Saint-Jacques
Last election 30 seats, 25.38% 3 seats, 7.63%
Seats before 28 3
Seats won 10 10
Seat change Decrease 18 Increase 7
Popular vote 687,995 649,503
Percentage 17.06% 16.10%
Swing Decrease8.32pp Increase8.47pp

Popular vote by riding. As this is an FPTP election, seat totals are not determined by popular vote, but instead by the result in each riding. Riding names are listed at the bottom.

Premier before election

Philippe Couillard
Liberal

Premier after election

François Legault
Coalition Avenir Québec

The 2018 Quebec general election was held on October 1, 2018, to elect members to the National Assembly of Quebec. The election saw a landslide victory for the Coalition Avenir Québec (CAQ) led by François Legault, which won 74 of 125 seats, giving the party a majority and unseating the Quebec Liberal Party. The Liberals became the official opposition with 31 seats.

This election was the first won by the CAQ, which had previously been the third party in the legislature. It was also the first since 1966 that had been won by a party other than the Liberals or Parti Québécois.

Background

In Quebec the Liberal Party had held power since 2003, save for a period of less than two years between 2012 and 2014.

The National Assembly has had a fixed four-year term since passing a fixed election date law in 2013. The law stipulates that "the general election following the end of a Legislature shall be held on the first Monday of October of the fourth calendar year following the year that includes the last day of the previous Legislature",[3] setting the date for October 1, 2018. However, the Chief Electoral Officer could have changed the election date in the event of a natural disaster. Furthermore, the Lieutenant Governor could have called an election sooner should the Premier have requested one, or in the event the government had been dissolved by a motion of no confidence.[4]

Redistribution of ridings

The Commission de la représentation électorale performed a redistribution in 2017, which maintained the number of seats in the National Assembly at 125 for the next general election, making the following alterations:[5]

Abolished ridings New ridings
Renaming of districts
Drawn from other districts
Merger of districts
  1. ^ From parts of Bertrand and Rousseau
  2. ^ From parts of Mirabel, Blainville and Masson


Timeline

Party standings

Summary of the pre-election standings of the
National Assembly of Quebec
Party Party leader Seats
2014 Dissolution
Liberal Philippe Couillard 70 68
Parti Québécois Jean-François Lisée 30 28
Coalition Avenir Québec François Legault 22 21
Québec solidaire Manon Massé 3 3
  Independent 0 5
  Vacant 0
Total 125 125

Seat changes (2014–2017)

Results by riding of the 15 by-elections to the National Assembly of Quebec during the 41st Legislature (2014–2018)
41st National Assembly of Quebec - Movement in seats held from 2014 to 2018
Party Leader 2014 Gain/(loss) due to 2018
Resignation Resigned from party Death in office Withdrawn from caucus Expulsion By-election hold By-election gain
Liberal Philippe Couillard 70 (6) (1) (2) 5 1 67
Parti Québécois Jean-François Lisée 30 (5) (1) (1) 5 28
Coalition Avenir Québec François Legault 22 (2) (1) (1) 1 2 21
Québec solidaire Manon Massé 3 (1) 1 3
Independent 2 (1) 1 4 6
Total 125 (14) (1) 12 3 125
Changes in seats held (2014-2018)
Seat Before Change
Date Member Party Reason Date Member Party
Lévis August 15, 2014[6] Christian Dubé  CAQ Resignation October 20, 2014[7] François Paradis  CAQ
Richelieu September 29, 2014[8] Élaine Zakaïb  Parti Québécois Resignation March 9, 2015[9] Sylvain Rochon  Parti Québécois
Jean-Talon February 26, 2015[10] Yves Bolduc  Liberal Resignation[a 1] June 8, 2015[11] Sébastien Proulx  Liberal
Chauveau April 7, 2015[12] Gérard Deltell  CAQ Resignation[a 2] June 8, 2015[13] Véronyque Tremblay  Liberal
Saint-Henri–Sainte-Anne August 21, 2015[14] Marguerite Blais  Liberal Resignation November 9, 2015[15] Dominique Anglade  Liberal
Fabre August 24, 2015[16] Gilles Ouimet  Liberal Resignation November 9, 2015 Monique Sauvé  Liberal
Arthabaska August 26, 2015[17] Sylvie Roy  CAQ Resigned from party  Independent
René-Lévesque September 3, 2015[18] Marjolain Dufour  Parti Québécois Resignation November 9, 2015 Martin Ouellet  Parti Québécois
Beauce-Sud September 22, 2015[19] Robert Dutil  Liberal Resignation November 9, 2015 Paul Busque  Liberal
Chicoutimi October 22, 2015[20] Stéphane Bédard  Parti Québécois Resignation April 11, 2016[21] Mireille Jean  Parti Québécois
Saint-Jérôme May 2, 2016[22] Pierre Karl Péladeau  Parti Québécois Resignation[a 3] December 5, 2016 Marc Bourcier  Parti Québécois
Marie-Victorin June 13, 2016 Bernard Drainville  Parti Québécois Resignation[a 4] December 5, 2016 Catherine Fournier  Parti Québécois
Arthabaska July 31, 2016[23] Sylvie Roy  Independent Died in office December 5, 2016 Éric Lefebvre  CAQ
Verdun August 19, 2016 Jacques Daoust  Liberal Resignation[a 5] December 5, 2016 Isabelle Melançon  Liberal
Laurier-Dorion October 20, 2016[24] Gerry Sklavounos  Liberal Expulsion  Independent
Gouin January 19, 2017[25] Françoise David  QC solidaire Resignation May 29, 2017 Gabriel Nadeau-Dubois  QC solidaire
Groulx January 25, 2017[26] Claude Surprenant  CAQ Expulsion  Independent
Brome-Missisquoi January 27, 2017[27] Pierre Paradis  Liberal Expulsion  Independent
Vachon February 5, 2017[28] Martine Ouellet  Parti Québécois Resigned from party[a 6]  Independent
Louis-Hébert April 27, 2017[29] Sam Hamad  Liberal Resignation October 2, 2017[30][31] Geneviève Guilbault  CAQ
Gaspé May 16, 2017[32] Gaétan Lelièvre  Parti Québécois Expulsion  Independent
Argenteuil April 17, 2018 Yves St-Denis  Liberal Withdraws from caucus  Independent
  1. ^ also from the position of Minister of Education
  2. ^ to run for the Conservatives in Louis-Saint-Laurent
  3. ^ also from the positions of PQ leader and Leader of the Opposition
  4. ^ also from the position of Opposition House Leader
  5. ^ also from the position of Minister of Transport, Sustainable Mobility and Transport Electrification
  6. ^ to seek the Bloc Québécois leadership

Other developments

Date Event
April 7, 2014 The Quebec Liberal Party wins a majority government in the 41st Quebec general election, and Philippe Couillard becomes Quebec's Premier-designate. Outgoing Premier Pauline Marois announces her resignation as Parti Québécois leader.[33]
April 10, 2014 The Parti Québécois caucus unanimously approves Stéphane Bédard as interim leader.[34]
October 4, 2014 PQ riding association presidents meet to decide rules and timeline for its leadership race.[35]
May 15, 2015 Pierre Karl Péladeau is elected leader of the Parti Québécois.[36]
May 6, 2016 Sylvain Gaudreault is appointed interim PQ leader.
October 7, 2016 Jean-François Lisée is elected leader of the Parti Québécois.
March 24, 2017 Québec solidaire announces that its party members will vote on a proposition at its party convention in May to begin talks to merge with Option nationale.[37]
May 21, 2017 Manon Massé and Gabriel Nadeau-Dubois are elected as co-spokespersons for Québec solidaire.[38][39]
October 5, 2017 Executives of QS and ON reach an agreement to propose a merger, which has yet to be approved by members/delegates in two special congresses.[40]
October 26, 2017 Guy Ouellette, MNA for Chomedey, withdraws from the caucus of the Liberal Party. He rejoins the caucus on November 21.
December 10, 2017 ON and QS decide to merge: ON's special congress approves merger at 90%, 8 days after QS's special congress approved it at 80%.
May 10, 2018 Paul Busque, MNA for Beauce-Sud, withdraws from the caucus of the Liberal Party during an investigation by the ethics commissioner.[41] On June 15, 2018 he is readmitted into the caucus.[42]
August 23, 2018 Phillippe Couillard goes to see the Lieutenant-Governor and calls the election for October 1, 2018.
August 29, 2018 The 41st Legislature ends.[43]
September 13, 2018 First televised debate (Radio-Canada).[44]
September 15, 2018 Candidate nominations close.[45]
September 17, 2018 Second televised debate (CTV).[46] English debate.
September 20, 2018 Third televised debate (TVA).[47]

Incumbents not running for reelection

As of September 5, 2018, a total of 45 MNAs elected in 2014 will not run in the 2018 election, of whom 12 resigned[48] from the National Assembly, one died in office and 32 announced that they will not seek re-election[49] including one whose riding was dissolved, and one who got fired.[50] The latter comprise the following:

Electoral District Incumbent at dissolution and subsequent nominee New MNA
Abitibi-Ouest   François Gendron Sylvain Vachon   Suzanne Blais
Beauce-Nord   André Spénard Luc Provençal   Luc Provençal
Beauharnois   Guy Leclair Mireille Théorêt   Claude Reid
Bertrand   Claude Cousineau Gilbert Lafrenière   Nadine Girault
Bourassa-Sauvé   Rita de Santis Paule Robitaille   Paule Robitaille
Brome-Missisquoi   Pierre Paradis Ingrid Marini   Isabelle Charest
Côte-du-Sud   Norbert Morin Simon Laboissonnière   Marie-Eve Proulx
Gaspé   Gaétan Lelièvre   Méganne Perry-Mélançon
Gatineau   Stéphanie Vallée Luce Farrell   Robert Bussière
Groulx   Claude Surprenant Eric Girard   Eric Girard
Îles-de-la-Madeleine   Germain Chevarie Maryse Lapierre   Joël Arseneau
Jacques-Cartier   Geoffrey Kelley Greg Kelley   Greg Kelley
Jean-Lesage   André Drolet Gertrude Bourdon   Sol Zanetti
Lac-Saint-Jean   Alexandre Cloutier William Fradette   Éric Girard
Laurier-Dorion   Gerry Sklavounos   Andrés Fontecilla
Lotbinière-Frontenac   Laurent Lessard Pierre-Luc Daigle   Isabelle Lecours
Marguerite-Bourgeoys   Robert Poëti Hélène David   Hélène David
Marquette   François Ouimet Enrico Ciccone   Enrico Ciccone
Mégantic   Ghislain Bolduc Robert G. Roy   François Jacques
Mercier   Amir Khadir Ruba Ghazal   Ruba Ghazal
Montmorency   Raymond Bernier Marie France Trudel   Jean-François Simard
Nelligan   Martin Coiteux Monsef Derraji   Monsef Derraji
Orford   Pierre Reid Guy Madore   Gilles Bélanger
Pointe-aux-Trembles   Nicole Léger Jean-Martin Aussant   Chantal Rouleau
Portneuf   Michel Matte Philippe Gasse   Vincent Caron
Richmond   Karine Vallières Annie Godbout   André Bachand
Saint-François   Guy Hardy Charles Poulin   Geneviève Hébert
Saint-Laurent   Jean-Marc Fournier Marwah Rizqy   Marwah Rizqy
Taschereau   Agnès Maltais Diane Lavallée   Catherine Dorion
Vachon   Martine Ouellet   Ian Lafrenière
Viau   David Heurtel Frantz Benjamin   Frantz Benjamin
Westmount–Saint-Louis   Jacques Chagnon Jennifer Maccarone   Jennifer Maccarone

At the end of his term, Gendron, Dean of the National Assembly, will have served for 41 years and 10 months, representing Abitibi-Ouest for 11 terms.

Campaign

Contests

Candidate contests in the ridings
Candidates nominated Ridings Party
CAQ PQ PLQ QS PCQ Green NDP CPQ BP MLP Ind Nul Auto Libre CINQ Oth Totals
4 2 2 2 2 2 8
5 4 4 4 4 4 3 1 20
6 24 24 24 24 24 15 12 4 10 1 2 1 2 1 144
7 40 40 40 40 40 32 33 15 15 7 5 3 3 2 2 3 280
8 22 22 22 22 22 22 20 11 10 7 6 5 1 1 1 2 2 176
9 22 22 22 22 22 19 21 19 15 6 6 9 5 3 3 2 2 198
10 8 8 8 8 8 8 8 6 3 6 4 2 3 3 1 3 1 80
11 2 2 2 2 2 1 2 2 2 1 1 2 2 1 22
12 1 1 1 1 1 1 1 1 1 1 1 1 1 12
Total 125 125 125 125 125 101 97 59 56 29 25 21 16 12 8 7 9 940


Slogans

Parties French English Refs
 Liberal Pour faciliter la vie des Québécois "To facilitate the lives of Quebecers"
"To make life easier for Quebecers"
[51][52]
 Parti Québécois Sérieusement. "Seriously." [51][53]
 CAQ Maintenant. "Now." [51][54]
 QC solidaire Populaires. "Popular." [51][55]
 Green Bien plus qu'une couleur. "More than just a colour." [51][56]
 Conservative Je vote conservateur. "I vote conservative." [51][57]

Issues

The election was believed to be the first in almost half a century that had not been fought on the issue of whether Quebec should stay in Canada. The PQ had promised not to hold another referendum on sovereignty until 2022 at the earliest had it won.[58]

2018 Quebec election – issues and respective party platforms[59][60][61]
Issue QLP PQ CAQ QS
Economy and Public Finance
  • Have tabled five budgets since taking power in 2014; four of them have been balanced. The 2018 budget increased spending by 4.7 per cent, one of the highest increases in the past 20 years.
  • Plan to spend $440 million over the next five years encouraging entrepreneurship in the province.
  • Advocates economic nationalism. They want Quebec's pension fund manager — the Caisse de dépôt et placement du Québec — to help prevent corporate headquarters from leaving the province.
  • The party would also impose a 25 per cent-Quebec content requirement on all Caisse infrastructure projects.
  • Wants to limit the amount you can save on books, to protect small businesses.
  • CAQ Leader François Legault has promised to reduce the tax burden of Quebecers. A CAQ government, he says, will further harmonize school taxes across the province, a tax cut valued at $700 million.
  • A long-standing party proposal is to create a Quebec version of Silicon Valley, which they've dubbed "The Saint-Laurent Project". It envisions turning the Saint-Lawrence Valley into a hub of innovation and entrepreneurship, with the collaboration of universities.
  • Hoping to eliminate tens of thousands of jobs from the province's civil service.
  • Supports a $15/hour minimum wage, extending minimum vacation from two to four weeks and ending forced overtime.
  • The party platform mentions the possibility of nationalizing natural resources in the province, including the mining and forestry industries.
  • Will offer rebates on electric vehicles, and establish a ban on gas-powered vehicles by 2050.
Immigration
  • Endorsed a plan that will see Quebec accept between 49,000 and 53,000 immigrants in 2018.
  • Have promised to spend $25 million over the next four years to provide more French lessons for immigrants and help their integration in rural communities.
  • Believes 50,000 immigrants is too much for Quebec to accept each year. Lisée wants the auditor general to suggest a different figure.
  • Would ensure that 25 per cent of newcomers settle in rural communities.
  • The PQ also wants immigrants to have sufficient knowledge of French and Quebec values before arriving in the province. It is not clear if this would involve additional testing.
  • As premier, Legault says he would temporarily reduce the number of immigrants Quebec accepts annually from 50,000 to 40,000.
  • To qualify for a Quebec selection certificate, the CAQ wants immigrants to pass a values and language test. Immigrants would also have to prove they have been looking for employment.
  • Would create a network of resource centres for immigrants, in order to provide easier access to information about jobs and French lessons, among other things.
  • Has also promised to streamline the recognition of foreign credentials.
Health Care
  • The Couillard government passed two major health care reforms bills aimed at centralizing administration and boosting the number of people with a family doctor.
  • As part of the reforms, 1,400 health care managers were laid off. In 2013–2014, 65 per cent of Quebecers had a family doctor. That number rose to 75 per cent by 2016-2017.
  • Would reopen a recently signed agreement with province's medical specialists in order to cut their pay.
  • The party favours decentralizing health-care administration, while maintaining a universal free public health care system, Legault was quoted saying "The important thing is the universality of care. ... I do not want more private. Our public [health care] is a jewel of Quebec."
  • Like the PQ, the CAQ also vowed to renegotiate with the Quebec's medical specialists in order to cut their compensation by an average of $80,000 per year. Legault believes the specialists will be open to striking a new deal.
  • Would overhaul the province's longterm care system (CHSLDs) with a new network of smaller, more "humane" homes at an initial cost of $1 billion.
  • Have proposed a series of measures to reduce how much doctors are paid. Along with revisiting the medical-specialists deal, they want to prevent doctors from incorporating and limit fee-for-service billing.
  • The party maintains the vast majority of family medicine groups (GMFs) are for-profit enterprises. QS wants to force them to register as non-profits in order to receive public funds.
Education
  • Increased education system spending by 1.2 and 0.2 per cent, respectively, in the first two years of their mandate. Experts say annual increases of between three and four per cent were necessary to keep pace with inflation.
  • Tabled a plan in 2017 to boost the high school graduation rate from 68 per cent to 85 per cent by 2030, and hired 1,500 education professionals (including 600 more teachers) last year.
  • Promised to fix up schools and add physical activity and coding classes.
  • Has promised to gradually move toward free CEGEP and university tuition, beginning with low-income students. This measure, they estimate, will cost $400 million.
  • Will reduce funding for English-language CEGEPs in order to offer better quality English-language instruction in French CEGEPs.
  • Will provide affordable lunches for elementary school students at a cost of $39 million as well as cheaper school supplies, by having schools make bulk purchases on parents' behalf.
  • Wants to abolish school boards and replace them with service centres that would provide administrative support to schools. The party believes this would give schools greater autonomy and make the education system cheaper to run.
  • Wants to increase the mandatory age of staying in school to 18, to reduce the drop out rate.
  • Wants added homework help, extracurricular activities (sport and culture), additional funding for career guidance and tutors assigned to more vulnerable students.
  • Free education for all people living in the province, from daycare through to university. The party estimates that providing free education for Quebecers between the ages of 0-17 will cost the government $950 million annually.
Child Care and families
  • Offer free educational services for four-year-olds in government-subsidized daycare and child care centres (CPEs). They estimate this will cost Quebec an additional $250 million.
  • Families with children under 18 will get an extra $150 to $300 — per child, per year and tax-free — depending on family income.
  • Promise to cancel progressive pricing of subsidized daycare places. First child would cost $8.05/day, regardless of income. Second child: $4/day. Third would be free. Day care would also be free for families with revenue under $34,000.
  • The CAQ is also proposing to do away with progressive daycare pricing, though over a period of four years. All Quebec parents would be charged the same daily rate, regardless of their annual income.
  • Are proposing free daycare as part of their plan to offer free education between the ages of 0 and 17.
Identity, diversity, and secularism
  • Passed a religious neutrality law last year (known as Bill 62). The law requires, among other things, that people show their faces when either giving or receiving public services. This provision has been suspended pending a court decision on the law's constitutionality.
  • Couillard believes local police forces should decide whether women officers can wear the hijab.
  • Believes judges, prosecutors, prison guards and police should not be allowed to display religious symbols, such as wearing a hijab. They want the same prohibition to apply to all newly hired pre-school, elementary and high school teachers.
  • Opposes the wearing of religious symbols, including the hijab, by police officers and others who wield coercive state power. The party would also ban school teachers from wearing religious symbols.
  • Would pass a "Secularism Charter" to reduce the scope of religious accommodations available to civil servants.
  • Opposes the wearing of religious symbols, including the hijab, by police officers and others who hold coercive state power.
  • Believes citizens should be able to wear religious symbols and still access public services.
Sovereignty
  • Couillard is a well-known ardent federalist. He's expressed his desire to have Quebec sign the constitution, outlined in a 200-page document called "Quebecers: Our Way of Being Canadians".
  • While the party remains committed to Quebec independence, Lisée has promised not to hold a referendum on sovereignty in the first mandate of a PQ government. The earliest one would be held, he says, is 2022.
  • Calls itself nationalist. It wants more power for Quebec, but within Canada. Legault, a former PQ cabinet minister, has promised a CAQ government will never hold a referendum on Quebec sovereignty.
  • Legault wants to seek additional powers for Quebec, including control over immigration, increased fiscal capacity and a say in the nomination of Supreme Court justices. Some of these measures would require re-opening the Constitution.
  • Advocates independence. A QS government would organize elections for a constituent assembly, which would draft a constitution for an independent Quebec. That constitution would be put to a referendum.
Environment
  • Couillard has promised to spend an additional $2.9 billion by 2023 on sustainable mobility.
  • Supports existing cap-and-trade system designed to reduce greenhouse gases.
  • Would ban all new fossil fuel projects and existing projects would be subject to stricter oversight.
  • The Caisse de dépôt, Quebec's pension fund, would be instructed to divest from fossil fuel exploration, production and pipeline companies.
  • Supports international greenhouse gas reduction targets and would promote "technological innovations to ensure their achievement".
  • An ambitious program with the goal of reducing carbon dioxide emissions by 95 per cent in the next 30 years.
  • More sustainable waste management, including prohibiting the use of certain toxic products. Institute a "polluter pays" policy when it comes to waste.

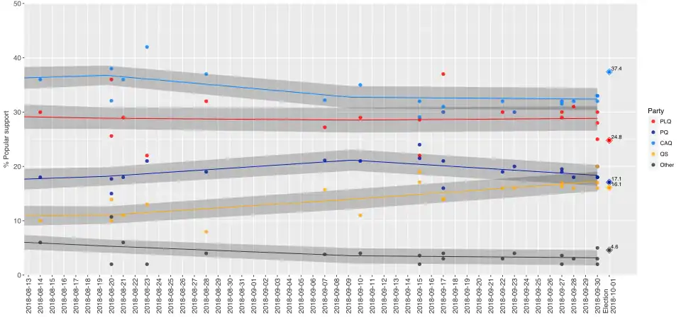
Opinion polls

The CAQ’s landslide victory was, in part, surprising due to the close outcome that was projected by opinion polls during the campaigning period. Although polls estimated a difference of approximately 2% between the PLQ and the CAQ in the days leading up to the election, the results showed a 12.6% gap in voting.[62] Studies suggest that this outcome is the result of an ongoing reconfiguration in Quebec’s electoral system that is shifting from a two-party to a multi-party system, as the vote share for the QLP and the PQ had been on the decline since 2007.[63][64] Additionally, the question of sovereignty, which had previously been a reliable indicator of voting choice[63][65] was replaced by other matters such as identity, immigration, redistribution, and the environment.[63] Research indicates that the polls may have been misled by this change in focus combined with last-minute moves toward the CAQ and the tendency of those who did not disclose their vote to disproportionately vote for the same party.[62] The topic of identity appeared extremely important and was mobilized throughout individuals’ participation with the election campaigns.[66] These findings suggest that the CAQ’s shocking victory was the result of longstanding trends toward a multi-party system and a diversified agenda of topics which were not accurately predicted by the polls.

Evolution of voting intentions during the pre-campaign period of the 2018 Quebec general election.
Evolution of voting intentions during the campaign period of the 2018 Quebec general election.
Voting intentions among French speakers

Candidates

Electoral district Candidates Incumbent
Liberal PQ CAQ QS Other
Bonaventure François Whittom Sylvain Roy Hélène Desaulniers Catherine Cyr Wright Daniel Bouchard (CAP)
Guy Gallant (Ind.)
Heather Imhoff (Green)
Sylvain Roy
Côte-du-Sud Simon Laboissonnière Michel Forget Marie-Eve Proulx Guillaume Dufour Renaud Blais (Nul)
Gabriel Dubé (BP)
Marc Roussin (Cons.)
Norbert Morin[70]
Gaspé Alexandre Boulay Méganne Perry-Mélançon Louis LeBouthillier Alexis Dumont-Blanchet Gaétan Lelièvre[71]
Îles-de-la-Madeleine Maryse Lapierre Joël Arseneau Yves Renaud Robert Boudreau-Welsh Germain Chevarie[72]
Matane-Matapédia Annie Fournier Pascal Bérubé Mathieu Quenum Marie-Phare Boucher Pierre-Luc Coulombe (Green)
Jocelyn Rioux (CAP)
Paul-Émile Vignola (Cons.)
Pascal Bérubé
Rimouski Claude Laroche Harold LeBel Nancy Levesque Carol-Ann Kack Denis Bélanger (Ind.)
Dany Levesque (BP)
Alexie Plourde (Green)
Harold LeBel
Rivière-du-Loup–Témiscouata Jean D'Amour Vincent Couture Denis Tardif Goulimine Sylvie Cadôret Martin Perron (Cons.) Jean D'Amour
Electoral district Candidates Incumbent
Liberal PQ CAQ QS Conservative Other
Chicoutimi Marie-Josée Morency Mireille Jean Andrée Laforest Pierre Dostie Leonard Gagnon Tommy Philippe (Green) Mireille Jean
Dubuc Serge Simard Marie-Annick Fortin François Tremblay Marie Francine Bienvenue François Pelletier Line Bélanger (Nul) Serge Simard
Duplessis Laurence Méthot Lorraine Richard Line Cloutier Martine Roux Alexandre Leblanc Lorraine Richard
Jonquière Alexandre Duguay Sylvain Gaudreault Benoit Rochefort Marcel Lapointe Jimmy Voyer Julie Sion (Green) Sylvain Gaudreault
Lac-Saint-Jean Mathieu Huot William Fradette Éric Girard Manon Girard Michael Grecoff Maude Gouin Huot (Auto.) Alexandre Cloutier[73]
René-Lévesque Jonathan Lapointe Martin Ouellet André Desrosiers Sandrine Bourque Eric Barnabé Martin Ouellet
Roberval Philippe Couillard Thomas Gaudreault Denise Trudel Luc-Antoine Cauchon Carl C. Lamontagne Julie Boucher (CAP)
Lynda Lalancette (Nul)
Philippe Couillard
Ungava Jean Boucher Jonathan Mattson Denis Lamothe Alisha Tukkiapik Alexandre Croteau Louis R. Couture (NDP)

Cristina Roos (Green)

Jean Boucher
Electoral district Candidates Incumbent
Liberal PQ CAQ QS Green Conservative NDP Other
Charlesbourg François Blais Annie Morin Jonatan Julien Élisabeth Germain Valérie Tremblay Daniel Pelletier (Auto.) François Blais
Charlevoix–Côte-de-Beaupré Caroline Simard Nathalie Leclerc Émilie Foster Jessica Crossan Andréanne Bouchard Albert Chiasson (CAP) Caroline Simard
Chauveau Véronyque Tremblay Jonathan Gagnon Sylvain Lévesque Francis Lajoie Sabir Isufi Adrien Pouliot Mona Belleau Véronyque Tremblay
Jean-Lesage Gertrude Bourdon Claire Vignola Christiane Gamache Sol Zanetti Alex Paradis-Bellefeuille Anne Deblois Raymond Côté Marie-Pierre Deschênes (CAP)
Nicolas Bouffard-Savoie (Auto.)
Claude Moreau (ML)
Charles Verreault-Lemieux (Nul)
André Drolet[74]
Jean-Talon Sébastien Proulx Sylvain Barrette Joëlle Boutin Patrick Provost Macarena Diab Carl Bérubé Hamid Nadji Ginette Boutet (ML)
Ali Dahan (Ind.)
Stéphane Pouleur (Auto.)
Sébastien Proulx
La Peltrie Stéphane Lacasse Doni Berberi Éric Caire Alexandre Jobin-Lawler Sandra Mara Riedo Julie Plamondon Kevin Bouchard (Nul)
Yohann Dauphinais (CAP)
Josée Mélanie Michaud (Auto.)
Stephen Wright (P51)
Éric Caire
Louis-Hébert Julie-Maude Perron Normand Beauregard Geneviève Guilbault Guillaume Boivin Daydree Vendette Natalie Bjerke Caroline Côté Vincent Bégin (Ind.)
Jean-Luc Rouckout (Auto.)
Geneviève Guilbault
Montmorency Marie France Trudel Alexandre Huot Jean-François Simard Marie-Christine Lamontagne Nicholas Lescarbeau Daniel Beaulieu Jean Bédard (ML)
Jean-François Simard (Ind.)
Raymond Bernier[75]
Portneuf Philippe Gasse Christian Hébert Vincent Caron Odile Pelletier Guy Morin Constance Guimont (CAP) Michel Matte[76]
Taschereau Florent Tanlet Diane Lavallée Svetlana Solomykina Catherine Dorion Élisabeth Grégoire Roger Duguay Christian Lavoie (CAP)
Guy Boivin (Auto.)
Nicolas Pouliot (Nul)
Agnès Maltais[77]
Vanier-Les Rivières Patrick Huot William Duquette Mario Asselin Monique Voisine Samuel Raymond Alain Fortin Carl Côté (Ind.)
David Dallaire (CAP)
Carl-André Poliquin (Nul)
Patrick Huot
Electoral district Candidates Incumbent
Liberal PQ CAQ QS Green Conservative Other
Champlain Pierre-Michel Auger Gaëtan Leclerc Sonia LeBel Steven Roy Cullen Stéphanie Dufresne Pierre-Benoit Fortin Éric Gauthier (Auto.)
Anthony Rouss (BP)
Pierre-Michel Auger
Laviolette–Saint-Maurice Pierre Giguère Jacynthe Bruneau Marie-Louise Tardif Christine Cardin Ugo Hamel Jacques Gosselin (CAP) Julie Boulet[78]
Laviolette
Merged riding
Pierre Giguère
Saint-Maurice
Maskinongé Marc H. Plante Nicole Morin Simon Allaire Simon Piotte Amélie St-Yves Maxime Rousseau Jonathan Beaulieu-Richard (Ind.)
Alain Bélanger (CAP)
Marc H. Plante
Trois-Rivières Jean-Denis Girard Marie-Claude Camirand Jean Boulet Valérie Delage Adis Simidzija Daniel Hénault Jean-Denis Girard
Electoral district Candidates Incumbent
Liberal PQ CAQ QS Green CAP Other
Mégantic Robert G. Roy Gloriane Blais François Jacques Andrée Larrivée Sylvain Dodier Richard Veilleux Ghislain Bolduc[79]
Orford Guy Madore Maxime Leclerc Gilles Bélanger Annabelle Lalumière-Ting Stéphanie Desmeules Tommy Poulin Joseph Tremblay-Bonsens (Cons.) Pierre Reid[80]
Richmond Annie Godbout Véronique Vigneault André Bachand Colombe Landry Yves la Madeleine Déitane Gendron Karl Brousseau (Cons.) Karine Vallières[81]
Saint-François Charles Poulin Solange Masson Geneviève Hébert Kévin Côté Mathieu Morin Cyrille Mc Elreavy Guy Hardy[82]
Sherbrooke Luc Fortin Guillaume Rousseau Bruno Vachon Christine Labrie Marie-Maud Côté-Rouleau Éric Lebrasseur Luc Lainé (Ind.)
Mona Louis-Jean (NDP)
Sara Richard (Nul)
Jossy Roy (BP)
Patrick Tétreault (Ind.)
Luc Fortin

East

Electoral district Candidates Incumbent
Liberal PQ CAQ QS Green Conservative NDP Other
Anjou–Louis-Riel Lise Thériault Karl Dugal Michèle Gamelin Marie-Josée Forget Hamza Madani Vincent Henes Lise Thériault
Bourassa-Sauvé Paule Robitaille Karine Gauvin Julie Séide Alejandra Zaga Mendez Karina Barros Michel Boissonneault Abed Louis Jean-François Brunet (BP)
Sabrinel Laouadi (CINQ)
Jean Marie Floriant Ndzana (Ind.)
Rita de Santis[83]
Bourget Vincent Girard Maka Kotto Richard Campeau Marlène Lessard Marieke Hassell-Crépeau Dany Roy (CAP)
Claude Brunelle (ML)
Maka Kotto
Gouin Alessandra Lubrina Olivier Gignac Arianne Lebel Gabriel Nadeau-Dubois Alice Sécheresse Jenny Cartwright (Nul)
Ana da Silva (BP)
Gabriel Nadeau-Dubois
Hochelaga-Maisonneuve Julien Provencher-Proulx Carole Poirier Sarah Beaumier Alexandre Leduc Mathieu Beaudoin Éric-Abel Baland Gabriel Boily (CAP)
Christine Dandenault (ML)
Etienne Mallette (BP)
Carole Poirier
Jeanne-Mance–Viger Filomena Rotiroti Marie-Josée Bruneau Sarah Petrari Ismaël Seck Sylvie Hétu Sylvain Dallaire Garnet Colly (ML) Filomena Rotiroti
LaFontaine Marc Tanguay Claude Gauthier Loredana Bacchi David Touchette Caleb Lavoie Yves Le Seigle (ML) Marc Tanguay
Laurier-Dorion George Tsantrizos Marie-Aline Vadius Simon Langelier Andrés Fontecilla Juan Vazquez Mohammad Yousuf Apostolia Petropoulos Arezki Malek (ML)
Mathieu Marcil (Nul)
Eric Lessard (CAP)
Hugô St-Onge (BP)
Chef Jean Louis Thémis (Cul.)
Gerry Sklavounos[84]
Maurice-Richard Marie Montpetit Frédéric Lapointe Manon Gauthier Raphaël Rebelo Gilles Fournelle Jean Rémillard Morgan Ali (BP)
Manon Dupuis (Nul)
Daniel St-Hilaire (CAP)
Marie Montpetit
Mercier Gabrielle Collu Michelle Blanc Johanne Gagné Ruba Ghazal Stephanie Rochemont Ludovic Proulx Conrad Thompson Serge Lachapelle (ML)
Malou Marcil (Nul)
Amir Khadir[85]
Pointe-aux-Trembles Eric Ouellette Jean-Martin Aussant Chantal Rouleau Céline Pereira Louis Chandonnet (Auto.)
Geneviève Royer (ML)
Pierre Surette (BP)
Nicole Léger[86]
Rosemont Agata La Rosa Jean-François Lisée Sonya Cormier Vincent Marissal Karl Dubois Alexandra Liendo Paulina Ayala Stéphane Chénier (ML)
Coralie Laperrière (BP)
Catherine Raymond-Poirier (Nul)
Jean-François Lisée
Sainte-Marie–Saint-Jacques Louis Charron Jennifer Drouin Anna Klisko Manon Massé Anna Calderon Don Ivanski Alexis Cossette-Trudel (CAP)
Henri Ladouceur (BP)
Manon Massé
Viau Frantz Benjamin Mounddy Sanon Janny Gaspard Sylvain Lafrenière Patrick St-Onge Mamoun Ahmed Beverly Bernardo (Ind.)
Hugo Pépino (BP)
David Heurtel[87]

West

Electoral district Candidates Incumbent
Liberal PQ CAQ QS Green Conservative NDP Other
Acadie Christine St-Pierre Farida Sam Sophie Chiasson Viviane Martinova-Croteau Laurence Sicotte Jocelyn Chouinard Michel Welt Yvon Breton (ML) Christine St-Pierre
D'Arcy-McGee David Birnbaum Eliane Pion Mélodie Cohn Jean-Claude Kumuyange Jérémie Alarco Yaniv Loran Leigh Smit Diane Johnston (ML) David Birnbaum
Jacques-Cartier Greg Kelley Martine Bourgeois Karen Hilchey Nicolas Chatel-Launay Catherine Polson Louis-Charles Fortier France Séguin Cynthia Bouchard (CAP)
Teodor Daiev (Ind.)
Geoffrey Kelley[88]
Marguerite-Bourgeoys Hélène David Jeannot Desbiens Vicky Michaud Camille St-Laurent Smail Louardiane Nashaat Elsayed Robert Poëti[89]
Marquette Enrico Ciccone Carole Vincent Marc Hétu Anick Perreault Kimberly Salt Olivia Boye John Symon Roger Déry (Ind.)
Patrick Desjardins (CAP)
François Ouimet[90]
Mont-Royal–Outremont Pierre Arcand Caroline Labelle Anne-Marie Gagnon Eve Torres Vincent J. Carbonneau Yaakov Pollak Rebecca Anne Clark Normand Fournier (ML) Pierre Arcand
Mont-Royal
Merged riding
Hélène David
Outremont
Nelligan Monsef Derraji Chantal Legendre Angela Rapoport Simon Tremblay-Pepin Giuseppe Cammarrota Mathew Levitsky-Kaminski Leslie Eric Murphy Martin Coiteux[91]
Notre-Dame-de-Grâce Kathleen Weil Lucie Bélanger Nathalie Dansereau Kathleen Gudmundsson Chad Walcott Souhail Ftouh David-Roger Gagnon Rachel Hoffman (ML)
Cynthia Nichols (Ind.)
Kathleen Weil
Robert-Baldwin Carlos J. Leitão Marie-Imalta Pierre-Lys Laura Azéroual Zachary Williams Catherine Richardson Michael-Louis Coppa Luca Brown Carlos Leitão
Saint-Henri–Sainte-Anne Dominique Anglade Dieudonné Ella-Oyono Sylvie Hamel Benoit Racette Jean-Pierre Duford Caroline Orchard Steven Scott Félix Gagnon-Paquin (BP)
Linda Sullivan (ML)
Christopher Young (CINQ)
Dominique Anglade
Saint-Laurent Marwah Rizqy Elias Dib Nicolas Marc Baaklini Marie Josèphe Pigeon Halimatou Bah Guy Morissette Jacques Dago Fernand Deschamps (ML) Jean-Marc Fournier[92]
Verdun Isabelle Melançon Constantin Fortier Nicole Leduc Vanessa Roy Alex Tyrrell Yedidya-Eitan Moryoussef Raphaël Fortin Marc-André Milette (Nul)
Hugo Richard (BP)
Eileen Studd (ML)
Isabelle Melançon
Westmount–Saint-Louis Jennifer Maccarone J. Marion Benoit Michelle Morin Ekaterina Piskunova Samuel Dajakran Kuhn Mikey Colangelo Lauzon Nicholas Peter Lawson Jacques Chagnon[93]
Electoral district Candidates Incumbent
Liberal PQ CAQ QS Green Conservative CAP Other
Abitibi-Est Guy Bourgeois Élizabeth Larouche Pierre Dufour Lyne Cyr Mélina Paquette Éric Caron Guy Bourgeois
Abitibi-Ouest Martin Veilleux Sylvain Vachon Suzanne Blais Rose Marquis Yan Dominic Couture Eric Lacroix Stéphane Lévesque Maxim Sylvestre (Ind.) François Gendron[86]
Rouyn-Noranda–Témiscamingue Luc Blanchette Gilles Chapadeau Jérémy G. Bélanger Émilise Lessard-Therrien Jessica Wells Guillaume Lanouette Fernand St-Georges Luc Blanchette
Electoral district Candidates Incumbent
Liberal PQ CAQ QS Green Conservative Marxist-Leninist Other
Chapleau Marc Carrière Blake Ippersiel Mathieu Lévesque Alexandre Albert Rowen Tanguay Françoise Roy Marc Carrière
Gatineau Luce Farrell Jonathan Carreiro-Benoit Robert Bussière Milan Bernard Jasper Boychuk Mario Belec Alexandre Deschênes Stéphanie Vallée[94]
Hull Maryse Gaudreault Marysa Nadeau Rachel Bourdon Benoit Renaud Patricia Pilon Jean-Philippe Chaussé Pierre Soublière Marco Jetté (CAP)
Nichola St-Jean (NDP)
Maryse Gaudreault
Papineau Alexandre Iracà Yves Destroismaisons Mathieu Lacombe Mélanie Pilon-Gauvin Michel Tardif Joanne Godin Lynn Boyer (CAP)
Claude Flaus (P51)
Isabelle Yde (Nul)
Alexandre Iracà
Pontiac André Fortin Marie-Claire Nivolon Olive Kamanyana Julia Wilkie Roger Fleury Kenny Roy Louis Lang Samuel Gendron (NDP) André Fortin
Electoral district Candidates Incumbent
Liberal PQ CAQ QS Green Conservative CAP Other
Beauce-Nord Myriam Taschereau Daniel Perron Luc Provençal Fernand Dorval Isabelle Villeneuve Nicole Goulet André Spénard[95]
Beauce-Sud Paul Busque Guillaume Grondin Samuel Poulin Diane Vincent Cassandre Poulin Milan Jovanovic Jean Paquet Hans Mercier (P51) Paul Busque
Bellechasse Dominique Vien Benoît Béchard Stéphanie Lachance Benoit Comeau Dominique Messner Simon Guay (BP)
Sébastien Roy (Prov.)
Dominique Vien
Chutes-de-la-Chaudière Ghyslain Vaillancourt Serge Bonin Marc Picard Olivier Bolduc Philippe Gaboury Stéphane Blais Evelyne Henry (NDP) Marc Picard
Lévis Abdulkadir Abkey Pierre-Gilles Morel François Paradis Georges Goma Maude Bussière Michel Walters Nancy Fournier Lorraine Chartier (NDP)
Stéphane L'heureux-Blouin (BP)
François Paradis
Lotbinière-Frontenac Pierre-Luc Daigle Yohann Beaulieu Isabelle Lecours Normand Beaudet Marie-Claude Dextraze Réjean Labbé Yves Roy Daniel Croteau (P51) Laurent Lessard[96]
Electoral district Candidates Incumbent
Liberal PQ CAQ QS Green Conservative CAP Other
Arthabaska Pierre Poirier Jacques Daigle Éric Lefebvre William Champigny-Fortier Jean-Charles Pelland Lisette Guay Gaudreault Jean Landry (Prov.) Éric Lefebvre
Drummond–Bois-Francs Kevin Deland Diane Roy Sébastien Schneeberger Lannïck Dinard François Picard Sylvain Marcoux (Ind.)
Steve Therion (Auto.)
Sébastien Schneeberger
Johnson François Vaes Jacques Tétreault André Lamontagne Sarah Saint-Cyr Lanoie Émile Coderre Jean-François Vignola Yves Audet Andrew Leblanc-Marcil (NDP) André Lamontagne
Nicolet-Bécancour Marie-Claude Durand Lucie Allard Donald Martel François Poisson Vincent Marcotte Jessie Mc Nicoll Blak D. Blackburn (BP) Donald Martel
Electoral district Candidates Incumbent
Liberal PQ CAQ QS Green Conservative NDP Other
Chomedey Guy Ouellette Ouerdia Nacera Beddad Alice Abou-Khalil Rabah Moulla Fatine Kabbaj Nick Keramarios Omar El-Harrache Guy Ouellette
Fabre Monique Sauvé Odette Lavigne Adriana Dudas Nora Yata David Gilbert-Parisée Juliett Zuniga Lopez Karim Mahmoodi Monique Sauvé
Laval-des-Rapides Saul Polo Jocelyn Caron Christine Mitton Graciela Mateo Estelle Obeo Benoit Larocque Jean Phariste Pharicien Bianca Bozsodi (CAP)
Elias Progakis (PL)
Saul Polo
Mille-Îles Francine Charbonneau Michel Lachance Mauro Barone Jean Trudelle Alain Joseph Dwayne Cappelletti (PL)
Jason D'Aoust (BP)
Francine Charbonneau
Sainte-Rose Jean Habel Marc-André Constantin Christopher Skeete Simon Charron Caroline Bergevin Benoit Blanchard Alain Giguère Valérie Louis-Charles (CINQ) Jean Habel
Vimont Jean Rousselle Sylvie Moreau Michel Reeves Caroline Trottier-Gascon Mélanie Messier Rachel Landerman Andriana Kocini Jean-Marc Boyer (Ind.)
Rachel Demers (CAP)
Jean Rousselle
Electoral district Candidates Incumbent
Liberal PQ CAQ QS Green Conservative CAP
Berthier Robert Magnan André Villeneuve Caroline Proulx Louise Beaudry Jérôme St-Jean Rémi Bourdon André Villeneuve
Joliette Emilie Imbeault Véronique Hivon François St-Louis Judith Sicard Étienne St-Jean Sébastien Dupuis Véronique Hivon
L'Assomption Virginie Bouchard Sylvie Langlois Brouillette François Legault Marie-Claude Brière Eve Bellavance Charles-Etienne Everitt-Raynault Sylvie Tougas François Legault
Masson Maryanne Beauchamp Diane Gadoury Hamelin Mathieu Lemay Stéphane Durupt Véronique Dubois David Morin Mathieu Lemay
Repentigny Emilie Therrien Eric Tremblay Lise Lavallée Olivier Huard Chafika Hebib Pierre Lacombe Julie Girard Lise Lavallée
Rousseau Patrick Watson Nicolas Marceau Louis-Charles Thouin Hélène Dubé Richard Evanko Michel Lacasse Nicolas Marceau
Terrebonne Margaux Selam Mathieu Traversy Pierre Fitzgibbon Anne B-Godbout Carole Dubois Jules Néron Mathieu Goyette Mathieu Traversy
Electoral district Candidates Incumbent
Liberal PQ CAQ QS Green Conservative CAP Other
Argenteuil Bernard Bigras-Denis Patrick Côté Agnès Grondin Céline Lachapelle Carole Thériault Sherwin Edwards Louise Wiseman Stéphanie Boyer (PL)
Yves St-Denis (Ind.)
Yves St-Denis
Bertrand Diane de Passillé Gilbert Lafrenière Nadine Girault Mylène Jaccoud Natacha Alarie Kathy Laframboise Benoît Pigeon Benoit Martin (PL) Claude Cousineau[86]
Blainville Lucia Carvalho Gabriel Gousse Mario Laframboise William Lepage Valérie Fortier Jean Bastien Thierry Gervais (NDP) Mario Laframboise
Deux-Montagnes Fabienne Fatou Diop Daniel Goyer Benoit Charette Audrey Lesage-Lanthier Isabelle Dagenais Delia Fodor Denis Paré Martin Brulé (PL)
Eric Emond (CINQ)
Hans Roker Jr (BP)
Benoit Charette
Groulx Sabrina Chartrand Jean-Philippe Meloche Eric Girard Fabien Torres Robin Dick Vincent Aubé Chantal Lavoie Claude Surprenant (Ind.) Claude Surprenant
Labelle Nadine Riopel Sylvain Pagé Chantale Jeannotte Gabriel Dagenais René Fournier Francis Brosseau Régis Ostigny Sylvain Pagé
Les Plaines Vincent Orellana-Pepin Marc-Olivier Leblanc Lucie Lecours Kévin St-Jean Boris Geynet Mathieu Laliberté Mathieu Stevens (PL) New district
Mirabel Camille Arsenault Brideau Denise Beaudoin Sylvie D'Amours Marjolaine Goudreau Émilie Paiement Désiré Mounanga Vincent Laurin (BP)
Patricia Vaca (CINQ)
Sylvie D'Amours
Prévost Naömie Goyette Paul St-Pierre Plamondon Marguerite Blais Lucie Mayer Malcolm Mulcahy Michel Leclerc (PL) New district
Saint-Jérôme Antoine Poulin Marc Bourcier Youri Chassin Ève Duhaime Annabelle Desrochers Normand Michaud Sylvie Brien Christine Simon (NDP)
Giuseppe Starnino (PL)
Marc Bourcier

Eastern

Electoral district Candidates Incumbent
Liberal PQ CAQ QS Green Conservative NDP Other
Borduas Martin Nichols Cédric G.-Ducharme Simon Jolin-Barrette Annie Desharnais Nicolas Gravel André Lecompte André Martin Razz E. (BP)
Stéphane Thévenot (CAP)
Simon Jolin-Barrette
Brome-Missisquoi Ingrid Marini Andréanne Larouche Isabelle Charest Alexandre Legault Elisabeth Dionne Marc Alarie (VP)
Manon Gamache (CAP)
Pierre Paradis[97]
Chambly François Villeneuve Christian Picard Jean-François Roberge Francis Vigeant Camille B. Jannard Guy L'Heureux Gilles Létourneau Gilles Guindon (CINQ)
Benjamin Vachon (BP)
Jean-François Roberge
Granby Lyne Laverdure Chantal Beauchemin François Bonnardel Anne-Sophie Legault Daphné Poulin Pierre Bélanger Stéphane Deschamps (Nul)
Kevin Robidas (BP)
François Bonnardel
Iberville Mylène Gaudreau Nicolas Dionne Claire Samson Philippe Jetten-Vigeant Michelle Kolatschek Serge Benoit Marc-André Renaud Dany Desjardins (BP) Claire Samson
Richelieu Sophie Chevalier Sylvain Rochon Jean-Bernard Émond Sophie Pagé-Sabourin Ksenia Svetoushkina Patrick Corriveau Sylvain Rochon
Saint-Hyacinthe Annie Pelletier Daniel Breton Chantal Soucy Marijo Demers Luc Chulak Chantal Soucy
Saint-Jean Vanessa Parent Dave Turcotte Louis Lemieux Simon Lalonde Véronique Langlois Philippe Perreault Geneviève Ruel Louis Saint-Jacques (CAP) Dave Turcotte
Verchères Agnieszka Wnorowska Stéphane Bergeron Suzanne Dansereau Jean-René Péloquin Pierre-Olivier Downey Lisette Benoit Vincent Hillel Stéphane Bergeron

South Shore

Electoral district Candidates Incumbent
Liberal PQ CAQ QS Green Conservative NDP Other
Beauharnois Félix Rhéaume Mireille Théorêt Claude Reid Pierre-Paul St-Onge Yannick Campeau François Mantion Tommy Mathieu (CAP) Guy Leclair[98]
Châteauguay Pierre Moreau Jean-Philippe Thériault MarieChantal Chassé Sandrine Garcia-McDiarmid Stephanie Stevenson Jeff Benoit Marie-Ève Masucci-Lauzon Pierre Moreau
Huntingdon Stéphane Billette Huguette Hébert Claire IsaBelle Aiden Hodgins-Ravensbergen Victoria Mary Haliburton Jérémie Ouellette Charles Orme Stéphane Billette
La Pinière Gaétan Barrette Suzanne Gagnon Sylvia Baronian Marie Pagès Aziza Dini Anwar El Youbi Djaouida Sellah Patrick Hayes (Ind.)
Fang Hu (Ind.)
Gaétan Barrette
Laporte Nicole Ménard Annie Lessard Jacinthe-Eve Arel Claude Lefrançois Sabrina Huet-Côté Linda Therrien Marc André Audet Nicole Ménard
La Prairie Richard Merlini Cathy Lepage Christian Dubé Daniel Blouin Alexandre Caron Alain Desmarais Boukare Tall Normand Chouinard (ML)
Liana Minato (P51)
Richard Merlini
Marie-Victorin Sonia Ziadé Catherine Fournier Martyne Prévost Carl Lévesque Laeticia Poiré-Hill Myriam de Grandpré-Ruel Shirley Cedent (CINQ)
Pierre Chénier (ML)
Florent Portron (Auto.)
Catherine Fournier
Montarville Ludovic Grisé Farand Daniel Michelin Nathalie Roy Caroline Charette Lise Roy Jean Dury (BP) Nathalie Roy
Sanguinet Marcelina Jugureanu Alain Therrien Danielle McCann Maya Fréchette-Bonnier Antonino Geraci Nikolai Grigoriev Hélène Héroux (ML) Alain Therrien
Soulanges Lucie Charlebois Samuelle Ducrocq-Henry Marilyne Picard Maxime Larue-Bourdages Bianca Jitaru Felice Trombino Etienne Madelein Jean-Patrick Berthiaume (BP)
Patrick Marquis (Auto.)
Dominik Prud'homme (CAP)
Lucie Charlebois
Taillon Mohammed Barhone Diane Lamarre Lionel Carmant Manon Blanchard Mel-Lyna Cadieux Walker Gerardin Verty Jonathan Leduc Diane Lamarre
Vachon Linda Caron Patrick Ney Ian Lafrenière André Vincent Lise des Greniers Ian Lecourtois Hugo Bluntss (BP)
Stéphane Marginean (CAP)
Martine Ouellet
Vaudreuil Marie-Claude Nichols Philip Lapalme Claude Bourbonnais Igor Erchov Jason Mossa Ryan Robertson Ryan Young Camille Piché-Jetté (BP)
Daniel Pilon (CAP)
Marie-Claude Nichols

Results

The CAQ went into the election as the third party in the legislature, but won a decisive victory with 74 seats, exceeding all published opinion polling. The Liberals won 31 seats, while Québec solidaire and the Parti Québécois each won 10 seats.[99] This is the second election in a row in which a government has been defeated after only one term.

The CAQ formed government for the first time, mainly by dominating its traditional heartlands of Capitale-Nationale, Chaudière-Appalaches and Centre-du-Québec, while winning sweeps or near-sweeps in Mauricie, Estrie, Lanaudière, Montérégie, the Laurentides and northern Quebec. Many of their gains came at the expense of the PQ. The CAQ took a number of seats that had been in PQ hands for four decades or more, in some cases by landslide margins. It did, however, win only two seats in Montreal.

The Parti Québécois came up two seats short of official status in the legislature. Notably, it was completely shut out in Montreal for the first time in decades; indeed, it won only one seat (Marie-Victorin in Longueuil) in the entire Greater Montreal area. It was easily the PQ's worst showing in a provincial election in 45 years. For the second election in a row, its leader was unseated in his own riding. According to a postmortem by The Globe and Mail, the PQ was so decisively beaten that there were already questions about whether it could survive.[100] Echoing this, Christian Bourque of Montreal-based pollster Léger Marketing told The Guardian that he believed the PQ was likely finished in its present form, and would have to merge with another sovereigntist party to avoid fading into irrelevance.[101]

The election was viewed as the Liberals' worst defeat since the 1976 election. While the party more than held its own in Montreal (where it won 19 out of 27 seats) and Laval (where it retained all but one seat), it only won seven seats elsewhere.

This was the first election in which Québec Solidaire won seats outside Montreal, taking one seat from the PQ and three from the Liberals.

The CAQ won 37.4 percent of the popular vote, a smaller vote share than the Liberals' 41 percent in 2014 and the lowest vote share on record for a party winning a majority government.[102] However, due to the nature of the first-past-the-post system, which awards power solely on the basis of seats won, the CAQ's heavy concentration of support in the regions they dominated was enough for a strong majority of 11 seats. Quebec elections have historically seen large disparities between the raw vote and the actual seat count.

Following the elections, both Jean-François Lisée and Philippe Couillard resigned.

Summary of the National Assembly of Quebec election results (October 1, 2018)[103]
Political party[104] Party leader MNAs Votes
Candidates 2014 Dissol. 2018 ± # ± % ± (pp)
Coalition Avenir Québec François Legault 125 22 21 74 53Increase 1,509,455 533,848Increase 37.42 14.37Increase
Liberal Philippe Couillard 125 70 68 31 37Decrease 1,001,037 756,034Decrease 24.82 16.70Decrease
Parti Québécois Jean-François Lisée 125 30 28 10 18Decrease 687,995 386,125Decrease 17.06 8.32Decrease
Québec solidaire Manon Massé, Gabriel Nadeau-Dubois 125 3 3 10 7Increase 649,503 326,379Increase 16.10 8.47Increase
  Independent 21 5 5Decrease 6,462 8,899Decrease 0.16 0.20Decrease
Green Alex Tyrrell 97 67,870 44,707Increase 1.68 1.13Increase
Conservative Adrien Pouliot 101 59,055 42,626Increase 1.46 1.07Increase
New Democratic Raphaël Fortin 59 22,863 New 0.57 New
  Citoyens au pouvoir du Québec Stéphane Blais (intérim) 56 13,768 12,477Increase 0.34 0.31Increase
Bloc Pot Jean-Patrick Berthiaume 29 4,657 1,967Increase 0.12 0.06Increase
Parti nul Renaud Blais 16 3,659 3,880Decrease 0.09 0.03Decrease
Marxist–Leninist Pierre Chénier 25 1,708 308Decrease 0.04 0.01Decrease
Parti libre Michel Leclerc 8 1,678 New 0.04 New
Équipe Autonomiste Stéphane Pouleur 12 1,138 738Increase 0.03 0.02Increase
Parti 51 Hans Mercier 5 1,117 New 0.03 New
  Changement intégrité pour notre Québec Eric Emond 7 693 New 0.02 New
Alliance provinciale Sébastien Roy 2 521 New 0.01 New
Voie du peuple Marc Alarie 1 190 New New
Parti culinaire Jean-Louis Thémistocle 1 169 New New
Option nationale n/a Merged with QS 0.73Decrease
Parti équitable Patricia Domingos did not campaign 0.04Decrease
Mon pays le Québec n/a Party dissolved 0.01Decrease
Unité Nationale n/a Party dissolved 0.01Decrease
Quebec – Democratic Revolution n/a Party dissolved
Parti indépendantiste n/a Party dissolved
Quebec Citizens' Union n/a Party dissolved
Total 940 125 125 125 4,033,538 198,724Decrease
Rejected ballots 66,085 3,292Increase
Voter turnout 4,099,623 195,432Decrease 66.45% 4.99Decrease
Registered electors 6,169,772 157,282Increase

Vote and seat summaries

Vote share
CAQ
37.42%
PLQ
24.82%
PQ
17.06%
QS
16.10%
Green
1.68%
PCQ
1.46%
Others
1.46%
Seats
CAQ
59.20%
PLQ
24.80%
PQ
8.00%
QS
8.00%

Summary analysis

Popular vote
party year votes change
CAQ 2014
  
23.05% +14.37%
2018
  
37.42%
Liberal 2014
  
41.52% −16.70%
2018
  
24.82%
PQ 2014
  
25.38% −8.32%
2018
  
17.06%
QS 2014
  
7.63% +8.47%
2018
  
16.10%
Others 2014
  
2.42% +2.18%
2018
  
4.60%
Elections to the National Assembly of Quebec – seats won/lost by party, 2014-2018
Party 2014 Gain from (loss to) 2018
CAQ Lib PQ QS New
riding
Dissolved
riding
Coalition Avenir Québec 22 31 18 3 74
Liberal 70 (31) (1) (4) 1 (4) 31
Parti Québécois 30 (18) 1 (3) 10
Québec solidaire 3 4 3 10
Total 125 (49) 36 21 (1) (7) 4 (4) 125
Resulting composition of the 42nd Quebec Legislature
Source Party
CAQ Lib PQ QS Total
Seats retained Incumbents returned 18 22 8 2 50
Open seats held 2 8 1 1 12
Byelection loss reversed 1 1
Seats changing hands Incumbents defeated 33 4 37
Open seats gained 16 1 3 20
Byelection gain held 1 1
New ridings Incumbent from dissolved riding returned 1 1
Former MNA returned 1 1
New MNAs 2 2
Total 74 31 10 10 125

Synopsis of riding results

Results by riding - 2018 Quebec general election[a 1][a 2][a 3]
Riding Winning party Turnout
[a 4]
Votes[a 5]
Name 2014 1st place Votes Share Margin
#
Margin
%
2nd place 3rd place CAQ PLQ PQ QS PVQ PCQ NDP CPQ Ind Other Total
 
Abitibi-Est PLQ CAQ 8,967 42.72% 4,877 23.23% PQ PLQ 63.79% 8,967 3,936 4,090 3,287 356 355 20,991
Abitibi-Ouest PQ CAQ 7,680 34.12% 194 0.86% PQ QS 64.75% 7,680 2,546 7,486 3,735 254 248 388 172 22,509
Acadie PLQ PLQ 14,305 53.80% 9,914 37.28% CAQ QS 54.17% 4,391 14,305 2,394 3,656 737 579 442 87 26,591
Anjou–Louis-Riel PLQ PLQ 10,802 39.06% 2,807 10.15% CAQ PQ 64.49% 7,995 10,802 4,064 4,018 519 256 27,654
Argenteuil PLQ CAQ 11,848 38.88% 5,405 17.73% PQ PLQ 65.33% 11,848 5,306 6,443 3,710 552 472 135 1,778 233 30,477
Arthabaska CAQ CAQ 25,640 61.84% 20,425 49.26% QS PLQ 69.49% 25,640 4,707 3,897 5,215 620 968 418 41,465
Beauce-Nord CAQ CAQ 20,039 66.37% 15,310 50.71% PLQ QS 70.79% 20,039 4,729 1,546 2,131 1,414 334 30,193
Beauce-Sud PLQ CAQ 20,936 62.68% 13,978 41.85% PLQ QS 69.13% 20,936 6,958 1,374 1,934 500 830 170 700 33,402
Beauharnois PQ CAQ 14,947 46.70% 7,952 24.85% PQ QS 68.62% 14,947 4,069 6,995 4,816 288 459 429 32,003
Bellechasse PLQ CAQ 16,302 53.85% 8,079 26.69% PLQ QS 70.10% 16,302 8,223 2,198 2,272 976 303 30,274
Berthier PQ CAQ 18,048 45.13% 6,481 16.21% PQ QS 69.84% 18,048 3,052 11,567 6,169 687 467 39,990
Bertrand PQ CAQ 13,867 41.55% 6,052 18.13% PQ QS 67.60% 13,867 4,471 7,815 6,047 613 261 197 107 33,378
Blainville CAQ CAQ 20,457 48.27% 12,375 29.20% PLQ QS 74.56% 20,457 8,082 5,744 6,408 1,146 286 254 42,377
Bonaventure PQ PQ 8,416 38.46% 2,830 12.93% PLQ CAQ 62.27% 3,502 5,586 8,416 3,282 312 209 575 21,882
Borduas CAQ CAQ 20,852 47.78% 11,513 26.38% PQ QS 76.41% 20,852 5,012 9,339 6,828 836 290 184 164 135 43,640
Bourassa-Sauvé PLQ PLQ 11,456 46.16% 5,630 22.69% CAQ QS 52.44% 5,826 11,456 2,640 3,469 433 363 219 92 319 24,817
Bourget PQ CAQ 8,870 27.57% 500 1.55% PQ QS 64.92% 8,870 6,074 8,370 7,865 719 200 80 32,178
Brome-Missisquoi PLQ CAQ 18,407 44.38% 8,369 20.18% PLQ QS 70.75% 18,407 10,038 4,446 7,167 978 247 190 41,473
Chambly CAQ CAQ 18,940 50.26% 12,376 32.84% PQ QS 75.35% 18,940 4,599 6,564 6,177 683 309 180 233 37,685
Champlain PLQ CAQ 21,154 51.86% 13,544 33.21% PLQ QS 70.48% 21,154 7,610 4,928 5,285 789 733 290 40,789
Chapleau PLQ CAQ 13,057 40.42% 2,537 7.85% PLQ QS 59.78% 13,057 10,520 2,922 5,122 497 182 32,300
Charlesbourg PLQ CAQ 19,985 48.13% 10,666 25.68% PLQ QS 73.37% 19,985 9,319 4,868 5,613 1,530 212 41,527
Charlevoix–Côte-de-Beaupré PLQ CAQ 15,761 45.37% 7,890 22.71% PLQ PQ 68.48% 15,761 7,871 6,012 4,472 330 292 34,738
Châteauguay PLQ CAQ 12,259 37.06% 1,121 3.39% PLQ QS 63.86% 12,259 11,138 4,055 4,236 624 458 310 33,080
Chauveau CAQ CAQ 18,424 47.06% 9,627 24.59% PLQ QS 70.80% 18,424 8,797 3,603 4,052 613 3,371 286 39,146
Chicoutimi PQ CAQ 12,123 39.26% 4,416 14.30% PQ PLQ 68.53% 12,123 6,094 7,707 3,977 551 426 30,878
Chomedey PLQ PLQ 15,982 52.68% 7,968 26.26% CAQ PQ 54.02% 8,014 15,982 2,301 2,144 538 1,084 276 30,339
Chutes-de-la-Chaudière CAQ CAQ 25,777 59.51% 19,739 45.57% PLQ QS 76.63% 25,777 6,038 4,055 4,950 1,854 301 341 43,316
Côte-du-Sud PLQ CAQ 17,595 53.64% 10,383 31.66% PLQ QS 66.83% 17,595 7,212 3,315 3,560 575 542 32,799
D'Arcy-McGee PLQ PLQ 19,085 74.32% 17,224 67.07% QS CAQ 46.56% 1,643 19,085 657 1,861 837 1,153 368 77 25,681
Deux-Montagnes CAQ CAQ 16,038 47.44% 9,574 28.32% PQ QS 71.10% 16,038 4,523 6,464 4,912 722 368 322 457 33,806
Drummond–Bois-Francs CAQ CAQ 19,577 56.30% 14,356 41.28% QS PLQ 68.82% 19,577 4,527 4,360 5,221 733 250 106 34,774
Dubuc PLQ CAQ 10,535 40.23% 4,676 17.86% PLQ PQ 65.85% 10,535 5,859 5,541 3,163 645 445 26,188
Duplessis PQ PQ 7,023 34.32% 127 0.62% CAQ PLQ 55.81% 6,896 3,668 7,023 2,534 344 20,465
Fabre PLQ PLQ 12,147 37.52% 1,607 4.96% CAQ PQ 61.23% 10,540 12,147 4,372 3,487 861 688 279 32,374
Gaspé PQ PQ 6,003 33.41% 41 0.23% PLQ CAQ 60.82% 3,521 5,962 6,003 2,482 17,968
Gatineau PLQ CAQ 14,586 41.74% 3,932 11.25% PLQ QS 59.78% 14,586 10,654 3,148 4,517 1,271 697 71 34,944
Gouin QS QS 17,977 59.14% 13,454 44.26% PQ PLQ 69.62% 3,011 3,483 4,523 17,977 1,049 356 30,399
Granby CAQ CAQ 22,570 62.38% 17,495 48.35% QS PLQ 69.82% 22,570 3,881 3,491 5,075 531 358 277 36,183
Groulx CAQ CAQ 14,771 40.61% 7,402 20.35% PLQ QS 70.25% 14,771 7,369 5,745 6,268 802 368 235 812 36,370
Hochelaga-Maisonneuve PQ QS 13,389 50.05% 7,079 26.46% PQ CAQ 63.40% 3,447 2,766 6,310 13,389 164 337 117 222 26,752
Hull PLQ PLQ 10,519 33.76% 2,281 7.32% CAQ QS 57.62% 8,238 10,519 4,238 5,764 1,099 454 721 69 56 31,158
Huntingdon PLQ CAQ 10,893 37.69% 711 2.46% PLQ QS 67.60% 10,893 10,182 3,188 3,676 444 396 126 28,905
Iberville CAQ CAQ 15,892 47.62% 10,035 30.07% PQ QS 70.88% 15,892 4,106 5,857 5,779 631 583 269 258 33,375
Îles-de-la-Madeleine PLQ PQ 2,955 38.65% 15 0.20% PLQ QS 72.66% 714 2,940 2,955 1,036 7,645
Jacques-Cartier PLQ PLQ 21,133 71.81% 18,389 62.48% CAQ PVQ 65.11% 2,744 21,133 815 1,291 1,981 762 555 72 78 29,431
Jean-Lesage PLQ QS 10,331 34.70% 699 2.35% CAQ PLQ 65.78% 9,632 5,335 2,774 10,331 343 520 399 149 288 29,771
Jean-Talon PLQ PLQ 11,069 32.58% 1,363 4.01% CAQ QS 75.16% 9,706 11,069 4,912 6,515 610 620 197 236 110 33,975
Jeanne-Mance-Viger PLQ PLQ 18,215 66.32% 13,770 50.14% CAQ QS 55.27% 4,445 18,215 1,523 2,237 570 391 83 27,464
Johnson CAQ CAQ 20,902 52.96% 13,851 35.10% QS PQ 67.47% 20,902 4,362 5,194 7,051 745 630 302 280 39,466
Joliette PQ PQ 17,685 46.23% 4,431 11.58% CAQ QS 71.93% 13,254 2,620 17,685 3,881 528 283 38,251
Jonquière PQ PQ 14,887 48.35% 4,890 15.88% CAQ PLQ 69.25% 9,997 3,029 14,887 2,242 296 337 30,788
Labelle PQ CAQ 11,784 36.50% 599 1.86% PQ QS 67.20% 11,784 3,524 11,185 4,954 395 265 181 32,288
Lac-Saint-Jean PQ CAQ 11,437 39.46% 2,299 7.93% PQ QS 68.68% 11,437 3,630 9,138 4,305 272 199 28,981
LaFontaine PLQ PLQ 14,491 58.80% 9,091 36.89% CAQ QS 59.03% 5,400 14,491 2,057 2,181 434 80 24,643
La Peltrie CAQ CAQ 23,389 57.73% 16,660 41.12% PLQ QS 70.77% 23,389 6,729 3,050 4,000 700 1,926 266 457 40,517
La Pinière PLQ PLQ 15,476 47.07% 5,996 18.24% CAQ QS 61.09% 9,480 15,476 2,921 3,300 585 435 354 329 32,880
Laporte PLQ PLQ 12,514 35.61% 2,479 7.06% CAQ QS 66.29% 10,035 12,514 4,647 6,007 980 475 480 35,138
La Prairie PLQ CAQ 14,511 43.14% 6,442 19.15% PLQ PQ 74.85% 14,511 8,069 5,290 4,362 694 379 222 107 33,634
L'Assomption CAQ CAQ 18,237 57.03% 12,812 40.06% QS PQ 71.95% 18,237 2,558 4,625 5,425 596 175 363 31,979
Laurier-Dorion PLQ QS 14,226 47.28% 5,301 17.62% PLQ CAQ 63.59% 2,664 8,925 2,344 14,226 530 354 574 60 414 30,091
Laval-des-Rapides PLQ PLQ 10,637 31.54% 271 0.80% CAQ QS 61.68% 10,366 10,637 5,195 5,721 738 361 257 271 184 33,730
Laviolette–Saint-Maurice New CAQ 16,260 45.41% 8,820 24.63% PLQ PQ 63.81% 16,260 7,440 5,611 5,414 639 444 35,808
Les Plaines New CAQ 13,818 51.22% 7,421 27.51% PQ QS 69.05% 13,818 2,160 6,397 3,738 434 293 140 26,980
Lévis CAQ CAQ 19,417 57.29% 14,516 42.83% PLQ QS 71.40% 19,417 4,901 3,475 3,979 698 931 200 174 116 33,891
Lotbinière-Frontenac PLQ CAQ 20,360 53.78% 12,618 33.33% PLQ QS 69.45% 20,360 7,742 3,591 3,593 655 1,410 304 200 37,855
Louis-Hébert PLQ CAQ 16,248 44.59% 6,548 17.97% PLQ PQ 80.52% 16,248 9,700 4,529 4,030 550 841 276 244 22 36,440
Marguerite-Bourgeoys PLQ PLQ 15,361 53.39% 8,605 29.91% CAQ QS 54.80% 6,756 15,361 2,430 3,095 675 456 28,773
Marie-Victorin PQ PQ 8,952 30.82% 705 2.43% CAQ QS 62.91% 8,247 4,418 8,952 6,295 625 310 203 29,050
Marquette PLQ PLQ 11,819 42.99% 4,026 14.64% CAQ QS 59.61% 7,793 11,819 2,139 3,153 1,111 599 596 150 134 27,494
Maskinongé PLQ CAQ 13,199 42.42% 4,517 14.52% PLQ PQ 71.58% 13,199 8,682 3,987 3,764 609 463 206 204 31,114
Masson CAQ CAQ 17,565 53.05% 11,038 33.34% PQ QS 72.86% 17,565 3,606 6,527 4,451 699 263 33,111
Matane-Matapédia PQ PQ 20,658 69.46% 17,279 58.10% CAQ PLQ 65.38% 3,379 3,351 20,658 1,718 358 159 118 29,741
Maurice-Richard PLQ PLQ 9,459 29.52% 530 1.65% QS CAQ 68.63% 6,330 9,459 6,131 8,929 602 216 77 304 32,048
Mégantic PLQ CAQ 12,593 47.53% 7,336 27.69% PLQ QS 69.15% 12,593 5,257 3,325 4,228 809 281 26,493
Mercier QS QS 15,919 54.50% 10,747 36.79% PLQ PQ 65.56% 2,348 5,172 3,542 15,919 1,102 122 738 267 29,210
Mille-Îles PLQ PLQ 10,408 35.82% 1,206 4.15% CAQ PQ 66.47% 9,202 10,408 4,378 3,711 822 537 29,058
Mirabel CAQ CAQ 21,602 54.63% 14,440 36.52% PQ QS 70.69% 21,602 3,526 7,162 5,916 688 296 353 39,543
Montarville CAQ CAQ 17,368 41.11% 7,070 16.73% PLQ PQ 80.37% 17,368 10,298 6,820 6,716 836 214 42,252
Montmorency PLQ CAQ 20,233 50.87% 12,836 32.27% PLQ QS 70.96% 20,233 7,397 4,221 5,225 558 1,507 561 69 39,771
Mont-Royal–Outremont New PLQ 16,026 51.34% 11,206 35.90% QS CAQ 55.71% 4,218 16,026 3,672 4,820 1,344 509 548 79 31,216
Nelligan PLQ PLQ 22,421 65.12% 16,510 47.95% CAQ QS 59.58% 5,911 22,421 1,580 1,902 1,040 1,038 537 34,429
Nicolet-Bécancour CAQ CAQ 15,562 55.29% 11,139 39.57% PQ PLQ 71.77% 15,562 3,539 4,423 3,474 403 576 170 28,147
Notre-Dame-de-Grâce PLQ PLQ 16,843 62.98% 13,677 51.14% QS CAQ 56.14% 2,142 16,843 1,460 3,166 1,785 405 708 151 82 26,742
Orford PLQ CAQ 12,117 40.05% 4,569 15.10% PLQ QS 70.72% 12,117 7,548 3,744 5,406 881 344 211 30,251
Papineau PLQ CAQ 16,975 46.93% 8,617 23.82% PLQ QS 60.88% 16,975 8,358 3,828 5,434 547 463 252 311 36,168
Pointe-aux-Trembles PQ CAQ 10,579 38.96% 1,834 6.75% PQ QS 67.43% 10,579 3,410 8,745 4,036 386 27,156
Pontiac PLQ PLQ 14,869 53.89% 9,237 33.48% CAQ QS 53.53% 5,632 14,869 1,520 2,964 919 853 795 40 27,592
Portneuf PLQ CAQ 15,994 54.31% 10,435 35.43% PLQ QS 70.31% 15,994 5,559 2,727 3,364 1,524 282 29,450
Prévost New CAQ 14,876 47.03% 7,137 22.56% PQ QS 70.80% 14,876[a 6] 4,063 7,739 4,414 303 235 31,630
René-Lévesque PQ PQ 8,055 42.22% 1,623 8.51% CAQ PLQ 58.75% 6,432 2,440 8,055 1,948 204 19,079
Repentigny CAQ CAQ 18,799 49.74% 11,698 30.95% PQ QS 74.21% 18,799 5,166 7,101 5,622 441 309 357 37,795
Richelieu PQ CAQ 15,258 49.79% 8,196 26.75% PQ QS 70.43% 15,258 3,456 7,062 4,101 402 364 30,643
Richmond PLQ CAQ 17,011 39.64% 8,509 19.83% PLQ QS 72.11% 17,011 8,502 7,654 8,110 680 600 353 42,910
Rimouski PQ PQ 13,940 43.92% 6,037 19.02% CAQ QS 70.25% 7,903 3,914 13,940 5,531 220 123 106 31,737
Rivière-du-Loup–Témiscouata PLQ CAQ 13,439 39.18% 1,962 5.72% PLQ PQ 69.41% 13,439 11,477 5,230 3,783 373 34,302
Robert-Baldwin PLQ PLQ 22,426 73.85% 18,988 62.53% CAQ QS 55.60% 3,438 22,426 994 1,317 781 921 488 30,365
Roberval PLQ PLQ 11,807 42.46% 5,088 18.30% CAQ PQ 63.39% 6,719 11,807 5,290 2,975 478 305 236 27,810
Rosemont PQ QS 12,920 35.25% 2,500 6.82% PQ PLQ 69.40% 5,703 6,148 10,420 12,920 521 217 314 410 36,653
Rousseau PQ CAQ 14,464 53.24% 7,304 26.88% PQ QS 66.15% 14,464 1,419 7,160 3,531 271 323 27,168
Rouyn-Noranda-Témiscamingue PLQ QS 9,304 32.08% 506 1.74% CAQ PQ 65.60% 8,798 4,753 5,311 9,304 389 253 195 29,003
Sainte-Marie-Saint-Jacques QS QS 12,429 49.28% 7,094 28.13% PLQ PQ 59.42% 2,773 5,335 3,528 12,429 881 130 72 73 25,221
Sainte-Rose PLQ CAQ 13,491 36.84% 2,462 6.72% PLQ PQ 70.01% 13,491 11,029 5,309 5,082 923 423 250 110 36,617
Saint-François PLQ CAQ 13,524 34.73% 4,450 11.43% PLQ QS 69.15% 13,524 9,074 6,304 8,833 691 514 38,940
Saint-Henri-Sainte-Anne PLQ PLQ 11,837 38.06% 4,424 14.22% QS CAQ 56.61% 5,809 11,837 3,568 7,413 1,009 380 690 396 31,102
Saint-Hyacinthe CAQ CAQ 21,227 52.00% 14,401 35.28% QS PQ 71.46% 21,227 5,758 6,524 6,826 486 40,821
Saint-Jean PQ CAQ 16,789 39.50% 3,618 8.51% PQ QS 71.28% 16,789 4,946 13,171 6,137 694 368 159 240 42,504
Saint-Jérôme PQ CAQ 17,225 43.74% 6,425 16.31% PQ QS 65.87% 17,225 3,534 10,800 6,243 677 345 141 294 123 39,382
Saint-Laurent PLQ PLQ 17,669 61.97% 13,347 46.81% CAQ QS 50.96% 4,322 17,669 1,846 2,458 849 863 432 75 28,514
Sanguinet PQ CAQ 12,986 43.54% 5,597 18.77% PQ QS 72.45% 12,986 4,169 7,389 4,390 456 355 81 29,826
Sherbrooke PLQ QS 12,315 34.27% 3,450 9.60% PLQ CAQ 71.51% 8,403 8,865 5,244 12,315 423 141 162 156 223 35,932
Soulanges PLQ CAQ 15,307 39.23% 2,142 5.49% PLQ QS 70.33% 15,307 13,165 4,001 4,508 729 322 424 292 270 39,018
Taillon PQ CAQ 12,186 33.76% 2,048 5.67% PQ QS 69.12% 12,186 6,042 10,138 6,382 766 235 349 36,098
Taschereau PQ QS 15,373 42.52% 8,511 23.54% CAQ PLQ 73.74% 6,862 6,387 6,379 15,373 534 196 152 274 36,157
Terrebonne PQ CAQ 17,638 42.97% 5,532 13.48% PQ QS 72.34% 17,638 4,976 12,106 5,279 522 287 244 41,052
Trois-Rivières PLQ CAQ 15,323 41.07% 6,801 18.23% PLQ QS 70.22% 15,323 8,522 5,758 6,411 653 639 37,306
Ungava PLQ CAQ 2,270 26.51% 46 0.54% PQ PLQ 30.89% 2,270 2,134 2,224 1,416 183 192 145 8,564
Vachon PQ CAQ 15,625 43.61% 8,089 22.58% PLQ PQ 70.86% 15,625 7,536 6,106 5,194 436 453 200 278 35,828
Vanier-Les Rivières PLQ CAQ 18,267 45.10% 7,916 19.55% PLQ QS 71.82% 18,267 10,351 4,028 4,946 668 1,454 242 299 245 40,500
Vaudreuil PLQ PLQ 15,143 39.92% 2,765 7.29% CAQ PQ 65.70% 12,378 15,143 3,813 3,811 1,026 644 568 343 206 37,932
Verchères PQ CAQ 17,073 37.49% 827 1.82% PQ QS 77.38% 17,073 4,017 16,246 6,723 701 380 403 45,543
Verdun PLQ PLQ 11,054 35.51% 3,597 11.55% QS CAQ 63.19% 6,343 11,054 3,929 7,457 1,157 217 717 256 31,130
Viau PLQ PLQ 10,113 46.63% 4,837 22.30% QS CAQ 53.44% 3,411 10,113 1,803 5,276 274 494 153 162 21,686
Vimont PLQ PLQ 11,474 36.69% 567 1.81% CAQ PQ 69.15% 10,907 11,474 3,875 3,602 652 291 230 131 115 31,277
Westmount-Saint-Louis PLQ PLQ 14,547 66.71% 12,311 56.46% QS CAQ 48.47% 2,110 14,547 1,105 2,236 730 479 598 21,805
  1. ^ "Data archives". www.dgeq.org. Élections Québec. Retrieved May 22, 2024.
  2. ^ "Les membres de l'Assemblée nationale par circonscription" [National Assembly members by riding] (in French). National Assembly of Quebec. Retrieved May 12, 2024.
  3. ^ "Les résultats électoraux depuis 1867" [Electoral results since 1867] (in French). National Assembly of Quebec. Retrieved May 12, 2024.
  4. ^ including spoilt ballots
  5. ^ All parties with more than 1% of the vote are shown individually. Independent candidates and other minor parties are aggregated separately. Parties are presented in the order shown on EQ data.
  6. ^ Marguerite Blais was previously the Liberal incumbent in Saint-Henri-Sainte-Anne
  = open seat
  = turnout is above provincial average
  = winning candidate was in previous Legislature
  = incumbent had switched allegiance
  = previously incumbent in another riding
  = not incumbent; was previously elected to the Legislature
  = incumbency arose from byelection gain
  = other incumbents renominated
  = previously an MP in the House of Commons of Canada
  = multiple candidates

Comparative analysis for ridings (2018 vs 2014)

Summary of riding results by turnout and vote share for winning candidate (vs 2014)[105]
Riding and winning party Turnout Vote share
% Change (pp) % Change (pp)
 
Abitibi-Est   CAQ Gain 63.79 0.91
 
42.72 23.68
 
Abitibi-Ouest   CAQ Gain 64.75 1.40
 
34.12 20.07
 
Acadie   PLQ Hold 54.17 -15.53
 
53.80 -17.16
 
Anjou–Louis-Riel   PLQ Hold 64.49 -8.80
 
39.06 -11.75
 
Argenteuil   CAQ Gain 65.33 -3.60
 
38.88 15.25
 
Arthabaska   CAQ Hold 69.49 -3.78
 
61.84 16.35
 
Beauce-Nord   CAQ Hold 70.79 -3.19
 
66.37 15.48
 
Beauce-Sud   CAQ Gain 69.13 -1.67
 
62.68 24.46
 
Beauharnois   CAQ Gain 68.62 0.66
 
46.70 23.73
 
Bellechasse   CAQ Gain 70.10 -5.13
 
53.85 20.67
 
Berthier   CAQ Gain 69.84 0.98
 
45.13 14.09
 
Bertrand   CAQ Gain 67.60 -3.50
 
41.55 14.62
 
Blainville   CAQ Hold 74.56 -2.29
 
48.27 14.36
 
Bonaventure   PQ Hold 62.27 -7.17
 
38.46 -7.24
 
Borduas   CAQ Hold 76.41 -0.38
 
47.78 14.28
 
Bourassa-Sauvé   PLQ Hold 52.44 -10.69
 
46.16 -14.32
 
Bourget   CAQ Gain 64.92 -3.44
 
27.57 7.93
 
Brome-Missisquoi   CAQ Gain 70.75 -2.38
 
44.38 16.49
 
Chambly   CAQ Hold 75.35 -1.27
 
50.26 16.02
 
Champlain   CAQ Gain 70.48 -1.75
 
51.86 21.43
 
Chapleau   CAQ Gain 59.78 -3.19
 
40.42 25.68
 
Charlesbourg   CAQ Gain 73.37 -3.57
 
48.13 15.70
 
Charlevoix–Côte-de-Beaupré   CAQ Gain 68.48 -5.00
 
45.37 19.29
 
Châteauguay   CAQ Gain 63.86 -8.70
 
37.06 16.81
 
Chauveau   CAQ Hold 70.80 -5.22
 
47.06 -5.35
 
Chicoutimi   CAQ Gain 68.53 -2.04
 
39.26 21.81
 
Chomedey   PLQ Hold 54.02 -18.27
 
52.68 -20.35
 
Chutes-de-la-Chaudière   CAQ Hold 76.63 -4.43
 
59.51 11.80
 
Côte-du-Sud   CAQ Gain 66.83 -2.75
 
53.64 30.37
 
D'Arcy-McGee   PLQ Hold 46.56 -25.50
 
74.32 -17.84
 
Deux-Montagnes   CAQ Hold 71.10 -3.35
 
47.44 13.28
 
Drummond–Bois-Francs   CAQ Hold 68.82 -0.41
 
56.30 16.38
 
Dubuc   CAQ Gain 65.85 -4.63
 
40.23 21.35
 
Duplessis   PQ Hold 55.81 -2.86
 
34.32 -5.67
 
Fabre   PLQ Hold 61.23 -16.00
 
37.52 -17.62
 
Gaspé   PQ Hold 60.82 -2.32
 
33.41 -18.63
 
Gatineau   CAQ Gain 59.78 -5.38
 
41.74 27.73
 
Gouin   QS Hold 69.62 -3.56
 
59.14 8.16
 
Granby   CAQ Hold 69.82 0.31
 
62.38 9.33
 
Groulx   CAQ Hold 70.25 -3.23
 
40.61 9.76
 
Hochelaga-Maisonneuve   QS Gain 63.40 -0.29
 
50.05 19.48
 
Hull   PLQ Hold 57.62 -6.22
 
33.76 -21.41
 
Huntingdon   CAQ Gain 67.60 -2.52
 
37.69 14.03
 
Iberville   CAQ Hold 70.88 -0.12
 
47.62 13.39
 
Îles-de-la-Madeleine   PQ Gain 72.66 -4.35
 
38.65 -1.51
 
Jacques-Cartier   PLQ Hold 65.11 -16.07
 
71.81 -13.62
 
Jean-Lesage   QS Gain 65.78 -2.13
 
34.70 23.10
 
Jean-Talon   PLQ Hold 75.16 -2.78
 
32.58 -11.92
 
Jeanne-Mance-Viger   PLQ Hold 55.27 -15.82
 
66.32 -12.21
 
Johnson   CAQ Hold 67.47 0.03
 
52.96 16.90
 
Joliette   PQ Hold 71.93 2.08
 
46.23 1.90
 
Jonquière   PQ Hold 69.25 -0.26
 
48.35 4.84
 
L'Assomption   CAQ Hold 71.95 -1.43
 
57.03 7.65
 
La Peltrie   CAQ Hold 70.77 -6.38
 
57.73 7.40
 
La Pinière   PLQ Hold 61.09 -13.68
 
47.07 -11.22
 
La Prairie   CAQ Gain 74.85 -3.42
 
43.14 10.52
 
Labelle   CAQ Gain 67.20 1.85
 
36.50 15.41
 
Lac-Saint-Jean   CAQ Gain 68.68 -1.16
 
39.46 21.15
 
LaFontaine   PLQ Hold 59.03 -15.35
 
58.80 -14.46
 
Laporte   PLQ Hold 66.29 -6.75
 
35.61 -12.04
 
Laurier-Dorion   QS Gain 63.59 -9.01
 
47.28 19.59
 
Laval-des-Rapides   PLQ Hold 61.68 -9.23
 
31.54 -12.67
 
Laviolette–Saint-Maurice   CAQ New 63.81 New 45.41 New
Les Plaines   CAQ New 69.05 New 51.22 New
Lévis   CAQ Hold 71.40 -4.03
 
57.29 16.80
 
Lotbinière-Frontenac   CAQ Gain 69.45 -4.12
 
53.78 24.01
 
Louis-Hébert   CAQ Gain 80.52 -3.14
 
44.59 18.67
 
Marguerite-Bourgeoys   PLQ Hold 54.80 -17.54
 
53.39 -16.70
 
Marie-Victorin   PQ Hold 62.91 -3.41
 
30.82 -7.35
 
Marquette   PLQ Hold 59.61 -11.54
 
42.99 -19.52
 
Maskinongé   CAQ Gain 71.58 -2.24
 
42.42 14.13
 
Masson   CAQ Hold 72.86 3.35
 
53.05 14.70
 
Matane-Matapédia   PQ Hold 65.38 2.18
 
69.46 8.30
 
Maurice-Richard   PLQ Hold 68.63 -6.37
 
29.52 -9.48
 
Mégantic   CAQ Gain 69.15 -0.70
 
47.53 24.66
 
Mercier   QS Hold 65.56 -6.84
 
54.50 8.31
 
Mille-Îles   PLQ Hold 66.47 -10.83
 
35.82 -14.68
 
Mirabel   CAQ Hold 70.69 0.21
 
54.63 15.39
 
Mont-Royal–Outremont   PLQ New 55.71 New 51.34 New
Montarville   CAQ Hold 80.37 -2.80
 
41.11 6.07
 
Montmorency   CAQ Gain 70.96 -5.56
 
50.87 17.04
 
Nelligan   PLQ Hold 59.58 -19.03
 
65.12 -15.22
 
Nicolet-Bécancour   CAQ Hold 71.77 -2.43
 
55.29 16.64
 
Notre-Dame-de-Grâce   PLQ Hold 56.14 -16.36
 
62.98 -13.63
 
Orford   CAQ Gain 70.72 -2.10
 
40.05 19.03
 
Papineau   CAQ Gain 60.88 -2.67
 
46.93 30.84
 
Pointe-aux-Trembles   CAQ Gain 67.43 -2.00
 
38.96 14.89
 
Pontiac   PLQ Hold 53.53 -14.71
 
53.89 -21.87
 
Portneuf   CAQ Gain 70.31 -5.40
 
54.31 16.32
 
Prévost   CAQ New 70.80 New 47.03 New
René-Lévesque   PQ Hold 58.75 -0.61
 
42.22 -12.79
 
Repentigny   CAQ Hold 74.21 -1.81
 
49.74 13.67
 
Richelieu   CAQ Gain 70.43 0.85
 
49.79 22.98
 
Richmond   CAQ Gain 72.11 -0.50
 
39.64 17.61
 
Rimouski   PQ Hold 70.25 2.98
 
43.92 3.34
 
Rivière-du-Loup–Témiscouata   CAQ Gain 69.41 -0.59
 
39.18 22.62
 
Robert-Baldwin   PLQ Hold 55.60 -21.39
 
73.85 -13.42
 
Roberval   PLQ Hold 63.39 -8.90
 
42.46 -12.72
 
Rosemont   QS Gain 69.40 -3.27
 
35.25 16.57
 
Rousseau   CAQ Gain 66.15 1.68
 
53.24 16.54
 
Rouyn-Noranda-Témiscamingue   QS Gain 65.60 1.35
 
32.08 20.52
 
Saint-François   CAQ Gain 69.15 -1.00
 
34.73 17.64
 
Saint-Henri-Sainte-Anne   PLQ Hold 56.61 -11.68
 
38.06 -14.46
 
Saint-Hyacinthe   CAQ Hold 71.46 -0.12
 
52.00 19.26
 
Saint-Jean   CAQ Gain 71.28 -0.39
 
39.50 8.42
 
Saint-Jérôme   CAQ Gain 65.87 -1.38
 
43.74 12.22
 
Saint-Laurent   PLQ Hold 50.96 -19.32
 
61.97 -20.32
 
Sainte-Marie-Saint-Jacques   QS Hold 59.42 -6.54
 
49.28 18.68
 
Sainte-Rose   CAQ Gain 70.01 -8.22
 
36.84 12.80
 
Sanguinet   CAQ Gain 72.45 -1.70
 
43.54 11.77
 
Sherbrooke   QS Gain 71.51 1.58
 
34.27 21.34
 
Soulanges   CAQ Gain 70.33 -4.60
 
39.23 New[a 1]
Taillon   CAQ Gain 69.12 -1.67
 
33.76 9.54
 
Taschereau   QS Gain 73.74 0.33
 
42.52 27.23
 
Terrebonne   CAQ Gain 72.34 -1.86
 
42.97 8.60
 
Trois-Rivières   CAQ Gain 70.22 0.77
 
41.07 18.79
 
Ungava   CAQ Gain 30.89 -10.58
 
26.51 9.99
 
Vachon   CAQ Gain 70.86 -4.12
 
43.61 18.33
 
Vanier-Les Rivières   CAQ Gain 71.82 -3.87
 
45.10 10.62
 
Vaudreuil   PLQ Hold 65.70 -12.29
 
39.92 -21.27
 
Verchères   CAQ Gain 77.38 0.42
 
37.49 7.14
 
Verdun   PLQ Hold 63.19 -7.50
 
35.51 -15.08
 
Viau   PLQ Hold 53.44 -9.89
 
46.63 -15.39
 
Vimont   PLQ Hold 69.15 -9.33
 
36.69 -13.79
 
Westmount-Saint-Louis   PLQ Hold 48.47 -13.56
 
66.71 -16.49
 
  1. ^ There was no CAQ candidate in the previous election.

See also

Notes

  1. ^ Québec solidaire designated Massé as its candidate for Premier, and Massé and Gabriel Nadeau-Dubois as co-spokespeople. The party's power is held by the general meetings of the members and a board of 16 directors; the de jure leader recognized by the Chief Electoral Officer of Quebec (DGE) is Gaétan Châteauneuf.[2]

References

  1. ^ "Résultats de l'élection partielle dans la circonscription de Jean-Talon | Élections provinciales".
  2. ^ "Québec solidaire". Élections Québec. Archived from the original on May 12, 2021. Retrieved June 20, 2017.
  3. ^ An Act to amend the Election Act for the purpose of establishing fixed-date elections, L.Q. 2013, c. 13, s. 3
  4. ^ "Future Quebec elections to be held on first Monday in October". CTV News. June 14, 2013. Retrieved August 21, 2018.
  5. ^ "Historique des circonscriptions du Québec" [History of Quebec's electoral districts]. electionsquebec.qc.ca (in French). Retrieved December 26, 2023.
  6. ^ Authier, Philip (August 15, 2014). "CAQ heavyweight Christian Dubé leaving politics". Montreal Gazette. Retrieved August 22, 2018.
  7. ^ Vendeville, Geoffrey (October 21, 2014). "CAQ holds the fort in Lévis byelection". Montreal Gazette. Retrieved August 21, 2018.
  8. ^ Ouellet, Martin (September 29, 2014). "Elaine Zakaïb, PQ Member, Quits Politics To Run Jacob". HuffPost Canada. Retrieved August 21, 2018.
  9. ^ "Parti Québécois wins Richelieu riding in byelection". CBC News. March 10, 2015. Retrieved March 10, 2015.
  10. ^ Authier, Philip (February 26, 2015). "Yves Bolduc turns his back on politics, heads back to medicine". Montreal Gazette. Retrieved August 21, 2018.
  11. ^ "By-election - June 8, 2015 - Official results". Archived from the original on June 14, 2015. Retrieved June 12, 2015.
  12. ^ "Gérard Deltell jumps into federal politics with Conservatives". CBC News. April 7, 2015. Retrieved April 7, 2015.
  13. ^ "Official Results". Élections Quebec. Archived from the original on June 14, 2015. Retrieved June 12, 2015.
  14. ^ Lau, Rachel (August 21, 2015). "Marguerite Blais quits politics, needed a challenge". Global News. Retrieved August 21, 2018.
  15. ^ "Le PLQ et le PQ en voie de conserver leurs sièges". Le Devoir (in French). November 9, 2015. Retrieved August 15, 2018.
  16. ^ "MNA Gilles Ouimet to quit politics". Montreal Gazette. August 24, 2015. Retrieved August 21, 2018.
  17. ^ "Sylvie Roy quits CAQ to sit as independent". CTV News. August 26, 2015. Retrieved August 21, 2018.
  18. ^ Plante, Caroline (September 3, 2015). "PQ MNA Marjolain Dufour quits for health reasons". Montreal Gazette. Retrieved October 12, 2015.
  19. ^ "Robert Dutil, former Quebec cabinet minister, retiring from National Assembly". CBC News. September 22, 2015. Retrieved October 12, 2015.
  20. ^ Plante, Caroline (October 22, 2015). "Veteran PQ MNA Stéphane Bédard quits Parti Québécois". Montreal Gazette. Retrieved October 22, 2015.
  21. ^ "Élection partielle dans Chicoutimi le 11 avril" (in French). Radio-Canada. March 9, 2016. Retrieved August 22, 2018.
  22. ^ Bélair-Cirino, Marco; Fortier, Marco (May 2, 2016). "PKP doit faire une importante déclaration vers 14h". Le Devoir (in French). Retrieved August 19, 2018.
  23. ^ "MNA Sylvie Roy dies following serious illness". CTV News. August 1, 2016. Retrieved August 1, 2016.
  24. ^ Chouinard, Tommy; Croteau, Martin (October 20, 2016). "Allégation d'agression sexuelle: Gerry Sklavounos forcé de se retirer du caucus libéral". La Presse (in French). Retrieved August 23, 2018.
  25. ^ The Canadian Press (January 19, 2017). "Quebec solidaire's Francoise David quits politics immediately". Maclean's. Retrieved January 19, 2017.
  26. ^ Authier, Philip (January 24, 2017). "François Legault kicks Claude Surprenant out of CAQ caucus". Montreal Gazette. Retrieved May 19, 2018.
  27. ^ Montpetit, Jonathan (January 27, 2017). "Pierre Paradis out of cabinet, Liberal caucus as police probe complaint of sexual nature". CBC News. Retrieved May 19, 2018.
  28. ^ "PQ MNA Martine Ouellet to run for Bloc Québécois leadership". Montreal Gazette. February 5, 2017. Retrieved May 19, 2018.
  29. ^ Hinkson, Kamila (April 27, 2017). "Sam Hamad, former Liberal cabinet minister, quits politics | CBC News". CBC News. Retrieved May 19, 2018.
  30. ^ "Élection partielle : un scrutin le 2 octobre dans Louis-Hébert". ICI.Radio-Canada.ca. August 30, 2017. Retrieved May 19, 2018.
  31. ^ Gagnon, Marc-André (October 2, 2017). "Les électeurs de Louis-Hébert optent pour le changement | JDQ". Le Journal de Québec (in French). Retrieved May 19, 2018.
  32. ^ Bellerose, Patrick (May 16, 2017). "Proximité avec la firme Roche: Gaétan Lelièvre exclu du caucus du PQ | JDM". Le Journal de Montréal (in French). Retrieved May 19, 2018.
  33. ^ Blatchford, Andy (April 8, 2014). "Pauline Marois Resigns PQ Leadership After Crushing Defeat". HuffPost Canada. Retrieved August 21, 2018.
  34. ^ "PQ elects Stephane Bedard to interim leader post". CTV News. April 10, 2014. Retrieved April 10, 2014.
  35. ^ "Pierre Karl Péladeau working to soften his image ahead of potential PQ leadership run". Montreal Gazette. September 26, 2014. Archived from the original on January 21, 2015. Retrieved January 27, 2019.
  36. ^ "Pierre Karl Peladeau elected leader of Parti Quebecois". CTV News. May 15, 2015. Retrieved May 15, 2015.
  37. ^ "Québec solidaire members to vote on starting merger talks with Option nationale". Montreal Gazette. March 24, 2017. Retrieved October 26, 2017.
  38. ^ "Gabriel Nadeau-Dubois, Manon Massé elected the new voices of Québec solidaire". Montreal Gazette. May 21, 2017. Retrieved May 19, 2018.
  39. ^ Incumbents Françoise David and Andrés Fontecilla did not seek reelection for a new mandate.
  40. ^ "Québec Solidaire and Option Nationale reach agreement in principle to merge". Montreal Gazette. October 5, 2017. Retrieved October 26, 2017.
  41. ^ "Liberal MNA withdraws from caucus during audit on his constituency office". CTV News. May 10, 2018. Retrieved May 10, 2018.
  42. ^ Busque, Simon (June 15, 2018). "Paul Busque réintègre le caucus du Parti libéral". L'Éclaireur Progrès (in French). Archived from the original on June 16, 2018. Retrieved June 16, 2018.
  43. ^ Fixed date, per section 6 of the Act respecting the National Assembly Archived May 12, 2018, at the Wayback Machine (CS, c. A-23.1): "A Legislature ends on 29 August of the fourth calendar year following the year that includes the most recent general election polling day."
  44. ^ Canadian Press (April 26, 2018). "Provincial party leaders face off in French language debate on Sept. 13". Montreal Gazette. Retrieved May 11, 2018.
  45. ^ Election Act Archived May 15, 2018, at the Wayback Machine (CS, c. E-3.3), section 237
  46. ^ "Quebec election: Party leaders' English debate set for Sept. 17". Montreal Gazette. May 15, 2018. Retrieved August 15, 2018.
  47. ^ "TVA et LCN présenteront le Face à Face des chefs". Groupe TVA. April 19, 2018. Retrieved May 11, 2018.
  48. ^ 14 members elected in the 2014 general election resigned from the National Assembly during the 41st Legislature, but two of them (Marguerite Blais and Christian Dubé) are candidates again in the 2018 general election.
  49. ^ Grondin, Marie-Renée (June 2018). "44 députés élus en 2014 qui ne seront pas de la prochaine campagne électorale" [44 MNAs elected in 2014 who will not be in the next electoral campaign]. Le Journal de Québec (in French).
  50. ^ Page, Julia (August 15, 2018). "Longtime Liberal MNA François Ouimet forced out — says Premier Couillard broke promise". CBC News. Retrieved August 19, 2018.
  51. ^ a b c d e f Kestler-D'Amours, Jillian (August 22, 2018). "What's in a slogan? Quebec's 4 main parties try to entice voters with one word or more". CBC News. Retrieved August 31, 2018.
  52. ^ "A Single Objective: Making Life Easier for Quebecers". Quebec Liberal Party. August 23, 2018. Retrieved August 26, 2018.
  53. ^ "Le Parti Québécois". Pq.org. September 3, 2018. Retrieved September 7, 2018.
  54. ^ "Accueil". Coalitionavenirquebec.org. Retrieved September 7, 2018.
  55. ^ "Votre navigateur est obsolète". Quebecsolidaire.net. Retrieved September 7, 2018.
  56. ^ "Parti Vert du Québec". pvq.qc.ca. October 26, 2018. Archived from the original on October 26, 2018. Retrieved October 26, 2018.
  57. ^ "Parti conservateur du Québec". particonservateurquebec.org. October 26, 2018. Retrieved October 26, 2018.
  58. ^ Martin Patriquin (September 30, 2018). "Canada: holdout of Quebec separatism faces end of the dream". The Guardian.
  59. ^ CBC News (August 23, 2018). "Where Quebec's parties stand on the issues that matter most to you". CBC News. Retrieved August 27, 2018.
  60. ^ "Les positions de la CAQ décortiquées" (in French). TVA Nouvelles. Retrieved September 7, 2018.
  61. ^ Andy Riga Updated: August 29, 2018 (August 29, 2018). "Quebec election live blog Aug. 28: Is Québec Solidaire's gas-car ban too 'radical'?". Montreal Gazette. Retrieved September 7, 2018.{{cite web}}: CS1 maint: numeric names: authors list (link)
  62. ^ a b Durand, Claire; Blais, André (March 2020). "Quebec 2018: A Failure of the Polls?". Canadian Journal of Political Science/Revue Canadienne de Science Politique. 53 (1): 133–150. doi:10.1017/S0008423919000787. hdl:1866/24757. ISSN 0008-4239. S2CID 212985241.
  63. ^ a b c Bélanger, Éric; Chassé, Philippe (September 26, 2021). "The 2018 Provincial Election in Quebec". Canadian Political Science Review. 15 (1): 34–43. ISSN 1911-4125.
  64. ^ Bodet, Marc André; Villeneuve-Siconnelly, Katryne (September 1, 2020). "Effective support and electoral dynamics in Quebec". French Politics. 18 (3): 221–237. doi:10.1057/s41253-020-00118-6. ISSN 1476-3427. S2CID 219083143.
  65. ^ Brie, Evelyne; Ouellet, Catherine (September 1, 2020). "Exposure to English as a determinant of support for Quebec independence in the 2018 Quebec elections". French Politics. 18 (3): 238–252. doi:10.1057/s41253-020-00119-5. ISSN 1476-3427. S2CID 219024376.
  66. ^ Bosworth, Yulia (March 2021). "'Those people who chose us': Discursive construction of identity and belonging in the context of Quebec's 2018 provincial elections". Discourse & Society. 32 (2): 135–155. doi:10.1177/0957926520970381. ISSN 0957-9265. S2CID 228875467.
  67. ^ "Official list of candidates". Élections Québec.
  68. ^ "List of provincial authorized political parties". Élections Québec. Retrieved June 22, 2017.
  69. ^ "Maps of next electoral districts 2017 by administrative region". Élections Québec. Retrieved July 19, 2018.
  70. ^ "Norbert Morin becomes seventh Liberal MNA to decide not to run for re-election". Montreal Gazette. March 9, 2018. Retrieved March 27, 2018.
  71. ^ Fortier, Dominique (June 5, 2018). "Gaétan Lelièvre ne sera pas candidat aux prochaines élections". L'Avantage gaspésien (in French). Retrieved June 5, 2018.
  72. ^ Bérubé, Joane (March 19, 2018). "Germain Chevarie ne se représentera pas aux prochaines élections". Radio-Canada (in French). Retrieved March 19, 2018.
  73. ^ Bélair-Cirino, Marco (January 16, 2018). "Alexandre Cloutier quitte la vie politique". Le Devoir (in French). Retrieved January 16, 2018.
  74. ^ Gagnon, Marc-André (February 8, 2018). "Le député libéral André Drolet annonce son retrait de la vie politique". Le Journal de Québec (in French). Retrieved February 8, 2018.
  75. ^ Gagnon, Marc-André (March 18, 2018). "Raymond Bernier quitte la politique provinciale". Le Journal de Québec (in French). Retrieved March 18, 2018.
  76. ^ Gagnon, Marc-André (April 10, 2018). "Élections générales: le libéral Michel Matte ne sera pas candidat le 1er octobre". Le Journal de Québec (in French). Retrieved August 17, 2018.
  77. ^ Bellerose, Patrick (January 16, 2018). "Agnès Maltais se retire également de la vie politique". Le Journal de Québec (in French). Retrieved January 16, 2018.
  78. ^ "La ministre Julie Boulet quitte la vie politique". Radio-Canada. May 7, 2018. Retrieved May 7, 2018.
  79. ^ "Le libéral Ghislain Bolduc annonce son retrait de la vie politique". Le Journal de Montréal (in French). March 16, 2018. Retrieved August 17, 2018.
  80. ^ "PLQ: Pierre Reid annoncera son retrait de la politique lundi". TVA Nouvelles (in French). February 9, 2018. Retrieved February 10, 2018.
  81. ^ "La députée libérale Karine Vallières quitte la politique pour sa famille". Le Journal de Québec (in French). February 5, 2018. Retrieved February 5, 2018.
  82. ^ Chouinard, Tommy (January 23, 2018). "PLQ: le député Guy Hardy quitte la vie politique". La Presse (in French). Retrieved January 23, 2018.
  83. ^ "La libérale Rita de Santis quitte la vie politique". Le Journal de Montréal (in French). June 28, 2018. Retrieved August 19, 2018.
  84. ^ Sklavounos, Gerry (May 11, 2018). "Statement of Gerry Sklavounos concerning his political future". Retrieved May 11, 2018.
  85. ^ "Québec Solidaire MNA Amir Khadir to leave politics". Montreal Gazette. May 4, 2018. Retrieved August 19, 2018.
  86. ^ a b c Bellerose, Patrick (January 15, 2018). "La péquiste Nicole Léger quitte la vie politique". Le Journal de Montréal (in French). Retrieved January 16, 2018.
  87. ^ Lessard, Denis (May 1, 2018). "David Heurtel et Laurent Lessard partiront également". La Presse (in French). Retrieved May 1, 2018.
  88. ^ Authier, Philip (June 10, 2018). "Longtime Liberal MNA Geoffrey Kelley will not seek re-election". Montreal Gazette. Retrieved June 11, 2018.
  89. ^ Lajoie, Geneviève (May 30, 2018). "Le départ de Robert Poëti cause la surprise". Le Journal de Québec (in French). Retrieved May 31, 2018.
  90. ^ "Liberal party pushes out MNA Francois Ouimet". CTV News. August 15, 2018. Retrieved August 16, 2018.
  91. ^ "Martin Coiteux ne sera pas candidat aux prochaines élections". Le Journal de Montréal (in French). April 27, 2018. Retrieved August 21, 2018.
  92. ^ Pilon-Larose, Hugo (March 5, 2018). "Départ de la vie politique: 'Je ne fuis pas', dit Fournier". La Presse (in French). Retrieved March 5, 2018.
  93. ^ "Jacques Chagnon devient le 18e député libéral à quitter la politique". Radio-Canada (in French). June 15, 2018. Retrieved June 15, 2018.
  94. ^ "Stéphanie Vallée ne sera pas candidate aux prochaines élections" (in French). Radio-Canada. February 28, 2018. Retrieved February 28, 2018.
  95. ^ Gagnon, Marc-André (April 4, 2018). "André Spénard passera le flambeau dans Beauce-Nord". Le Journal de Québec (in French). Retrieved August 21, 2018.
  96. ^ Clavel, Émilie (June 8, 2018). "Laurent Lessard confirme qu'il ne sera pas candidat aux prochaines élections provinciales". HuffPost Canada (in French). Retrieved June 9, 2018.
  97. ^ "Pierre Paradis est réintégré au PLQ, mais ne se représentera pas comme candidat aux élections". Le Journal de Québec (in French). August 16, 2018. Retrieved August 16, 2018.
  98. ^ Curtis, Christopher (September 5, 2018). "Quebec election: PQ candidate Guy Leclair resigns amid DUI charges". Montreal Gazette. Retrieved September 5, 2018.
  99. ^ Ian Austen (October 2, 2018). "A Center-Right Party Decisively Wins Quebec Vote". The New York Times.
  100. ^ Peritz, Ingrid (October 2018). "After 50 years, Parti Québécois pushed to political margins as Lisée loses Montreal seat and resigns - The Globe and Mail". The Globe and Mail.
  101. ^ Martin Patriquin (October 2, 2018). "Quebec election: CAQ victory proves separatism is no longer a major issue". The Guardian.
  102. ^ Benjamin Shingler (October 1, 2018). "Quebec elects CAQ majority government, Liberals see historic losses". CBC News.
  103. ^ "Official results after the counting of votes". Élections Québec. Retrieved October 9, 2018.
  104. ^ "Political parties". Élections Québec. Retrieved October 9, 2018.
  105. ^ Drawn from "Data archives". www.dgeq.org. Élections Québec. Retrieved May 22, 2024.

Further reading