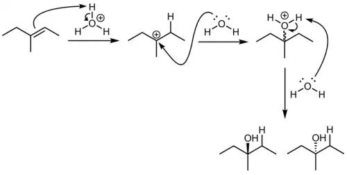
Organic Chemistry/Introduction to reactions/Acid-catalyzed hydration
An acid-catalyzed hydration is an addition reaction in which a water molecule is added across the double bond of an alkene as a hydrogen () and a hydroxyl group (). The addition follows Markovnikov regioselectivity and lacks stereospecificity, resulting in a mixture of enantiomers.
