A-level Applied Science/Synthesising Organic Compounds
About this Unit
From the AQA Specification:
In this unit you will learn about:
- the wide range and number of organic compounds formed by carbon;
- how to describe organic compounds;
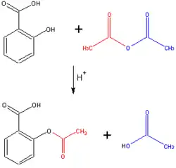
- how to recognise a range of aliphatic compounds, their functional groups, structural formula and shape;
- recognising examples of a range of chemical reactions and writing balanced equations;
- how to make and purify organic compounds;
- how to determine theoretical and actual percentage yield.
How you will be assessed
This unit is assessed through the work you complete for your portfolio.
The marking criteria are found in the AQA specification.
What you need to know
| Organic chemicals | Organic reactions | Spectroscopy | Practical |
References & notes
Organic chemistry: wikibook



