Cefapirin

Cefapirin
Clinical data
Pregnancy
category
  • US: B (No risk in non-human studies)
Routes of
use
Intravenous, intramuscular
External links
AHFS/Drugs.comInternational Drug Names
MedlinePlusa601206
Legal
Legal status
Chemical and physical data
FormulaC17H17N3O6S2
Molar mass423.46 g·mol−1
3D model (JSmol)
SMILES
  • O=C2N1/C(=C(\CS[C@@H]1[C@@H]2NC(=O)CSc3ccncc3)COC(=O)C)C(=O)O
InChI
  • InChI=1S/C17H17N3O6S2/c1-9(21)26-6-10-7-28-16-13(15(23)20(16)14(10)17(24)25)19-12(22)8-27-11-2-4-18-5-3-11/h2-5,13,16H,6-8H2,1H3,(H,19,22)(H,24,25)/t13-,16-/m1/s1 checkY
  • Key:UQLLWWBDSUHNEB-CZUORRHYSA-N checkY

Cefapirin (INN, also spelled cephapirin) is an injectable, antibiotic. It is marketed under the trade name Cefadyl. Production for use in humans has been discontinued in the United States.[1]

It is in the first-generation cephalosporin family of medications.[2]

It also has a role in veterinary medicine as Metricure, an intrauterine preparation, and combined with prednisolone in Mastiplan, an intramammary preparation. Both are licensed in cattle.

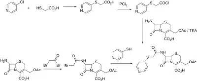
Synthesis

Cephapirin synthesis:[3] U.S. Patent 3,422,100 U.S. Patent 3,503,967 U.S. Patent 3,578,661

In one of the syntheses, 7-aminocephalosporanic acid (7-ACA) is reacted with bromoacetyl chloride to give the amide. The halo group is then displaced by 4-thiopyridine.[3]

References

  1. "CEFADYL". U.S. Food and Drug Administration. Archived from the original on 2006-09-26. Retrieved 2020-09-20.
  2. Beauduy, Camille E.; Winston, Lisa G. (2020). "43. Beta-lactam and other cell wall - & membrane - active antibiotics". In Katzung, Bertram G.; Trevor, Anthony J. (eds.). Basic and Clinical Pharmacology (15th ed.). New York: McGraw-Hill. p. 830. ISBN 978-1-260-45231-0. Archived from the original on 2021-10-10. Retrieved 2021-11-30.
  3. 3.0 3.1 Crast LB, Graham RG, Cheney LC (December 1973). "Synthesis of cephapirin and related cephalosporins from 7-(alpha-bromoacetamido)cephalosporanic acid". Journal of Medicinal Chemistry. 16 (12): 1413–5. doi:10.1021/jm00270a025. PMID 4148798.

External links

Identifiers: