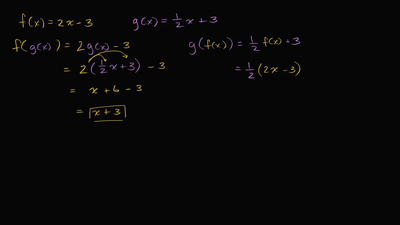
Verifying inverse functions by composition