Khan Academy (English - US curriculum)
Math by grade
Eureka Math/EngageNY
Algebra 2 (Eureka Math/EngageNY)
Module 1: Polynomial, rational, and radical relationships
Topic C: Lesson 25: Adding and subtracting rational expressions
Topic C: Lesson 25: Adding and subtracting rational expressions
Adding & subtracting rational expressions: like denominators
Add & subtract rational expressions: like denominators
Intro to adding rational expressions with unlike denominators
Adding rational expression: unlike denominators
Subtracting rational expressions: unlike denominators
Add & subtract rational expressions (basic)
Least common multiple
Least common multiple: repeating factors
Least common multiple
Subtracting rational expressions: factored denominators
Least common multiple of polynomials
Add & subtract rational expressions: factored denominators
Subtracting rational expressions
Add & subtract rational expressions
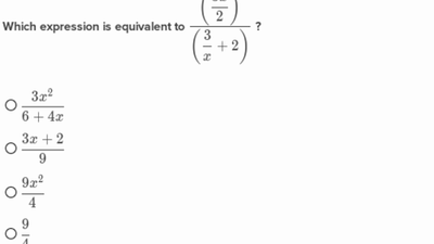
Nested fractions
Nested fractions