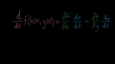
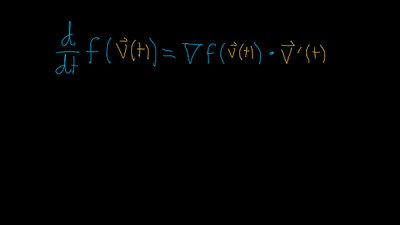
If you have one function that takes a single number to a high dimensional space, and another which maps that high dimensional space back down to the number line, applying one after the other gives a regular old single-variable function. But how do you find the derivative of this new function?