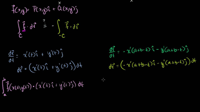
Line integrals in vector fields

You've done some work with line integral with scalar functions and you know something about parameterizing position-vector valued functions. In that case, welcome! You are now ready to explore a core tool math and physics: the line integral for vector fields. Need to know the work done as a mass is moved through a gravitational field. No sweat with line integrals.