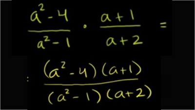
Multiplying & dividing rational expressions

Learn how to multiply and divide rational expressions. You will be surprised to see how similar it is to multiplying and dividing fractions!