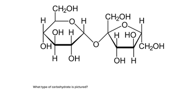
Do you have a sweet tooth? Learn more about different types of sugar molecules: their structure, their chemical behavior, and how they can combine to form chains. Starring glucose (blood sugar), sucrose (table sugar), and fructose (fruit sugar).