Khan Academy (English - US curriculum)
Math by grade
High school
Precalculus
Composite and inverse functions
Composing functions
Composing functions
Intro to composing functions
Evaluating composite functions
Evaluate composite functions
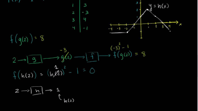
Evaluating composite functions: using tables
Evaluating composite functions: using graphs
Evaluate composite functions: graphs & tables
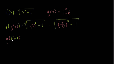
Finding composite functions
Find composite functions
Evaluating composite functions (advanced)