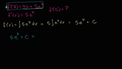
Finding particular solutions using initial conditions and separation of variables