Khan Academy (English - US curriculum)
Math
AP®︎ Calculus AB
AP Calculus AB solved free response questions from past exams
AP Calculus AB 2015 free response
AP Calculus AB 2015 free response
Solved examples from AP Calculus AB 2015.
2015 AP Calculus AB/BC 1ab
2015 AP Calculus AB/BC 1c
2015 AP Calculus AB/BC 1d
2015 AP Calculus AB 2a
2015 AP Calculus AB 2b
2015 AP Calculus 2c
2015 AP Calculus AB/BC 3a
2015 AP Calculus AB/BC 3b
2015 AP Calculus AB/BC 3cd
2015 AP Calculus AB/BC 4ab
2015 AP Calculus AB/BC 4cd
2015 AP Calculus AB 5a
2015 AP Calculus AB 5b
2015 AP Calculus AB 5c
2015 AP Calculus AB 5d
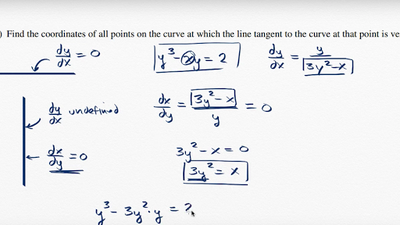
2015 AP Calculus AB 6a
2015 AP Calculus AB 6b
2015 AP Calculus AB 6c