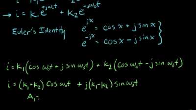
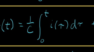
Natural and forced response