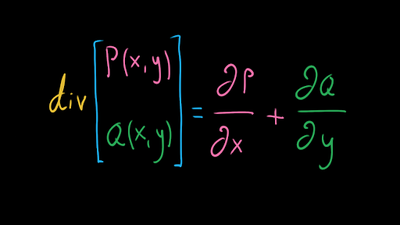
Divergence

In the fluid flow interpretation of vector fields, divergence is a measure of how much fluid tends to flow away from each point. However, his turns out to have far-reaching consequences beyond the specific case of fluid flow.