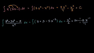
Finding antiderivatives and indefinite integrals: basic rules and notation: reverse power rule