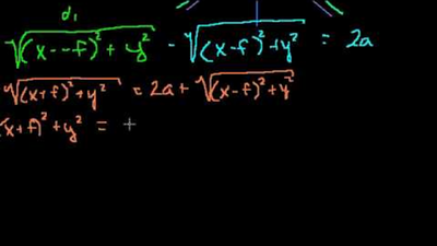
Learn about the foci of the hyperbola: How to find them from the hyperbola's equation and how to find the equation when given the foci.