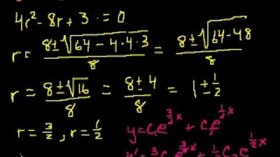
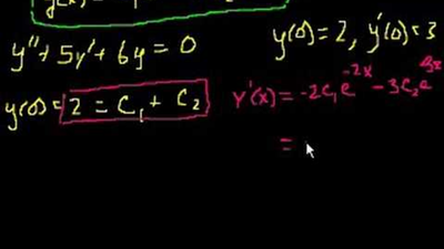
Linear homogeneous equations

To make your life interesting, we'll now use the word "homogeneous" in a way that is not connected to the way we used the term when talking about first-order equations. As you'll see, second order linear homogeneous equations can be solved with a little bit of algebra (and a lot of love).