Khan Academy (English - US curriculum)
Math by grade
Eureka Math/EngageNY
Algebra 1 (Eureka Math/EngageNY)
Module 1: Relationships between quantities and reasoning with equations and their graphs
Topic C: Lesson 23: Solution sets to simultaneous equations
Topic C: Lesson 23: Solution sets to simultaneous equations
Systems of equations with elimination: King's cupcakes
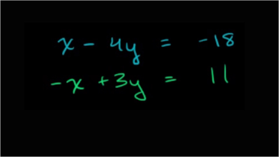
Systems of equations with elimination: x-4y=-18 & -x+3y=11
Systems of equations with elimination
Systems of equations with elimination: potato chips
Systems of equations with elimination (and manipulation)
Systems of equations with elimination challenge
Why can we subtract one equation from the other in a system of equations?
Worked example: equivalent systems of equations
Worked example: non-equivalent systems of equations
Reasoning with systems of equations