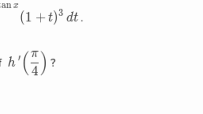
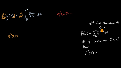
The fundamental theorem of calculus and accumulation functions