Polynomial Remainder Theorem

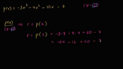
The polynomial remainder theorem allows us to easily determine whether a linear expression is a factor of a given polynomial. Learn exactly what the theorem means, practice using it, and learn about its proof.