Khan Academy (English - US curriculum)
Math by grade
High school
Get ready for Algebra 2
Get ready for polynomial operations and complex numbers
Special products of binomials
Special products of binomials
Special products of the form (x+a)(x-a)
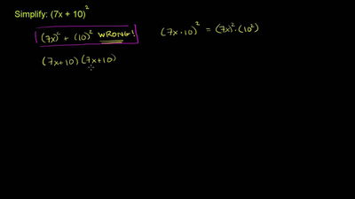
Squaring binomials of the form (x+a)²
Multiply difference of squares
Multiply perfect squares of binomials
Special products of the form (ax+b)(ax-b)
Squaring binomials of the form (ax+b)²