Khan Academy (English - US curriculum)
Math
Precalculus
Rational functions
Multiplying and dividing rational expressions
Multiplying and dividing rational expressions
Multiplying & dividing rational expressions: monomials
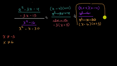
Multiplying rational expressions
Dividing rational expressions
Multiply & divide rational expressions: Error analysis
Multiply & divide rational expressions