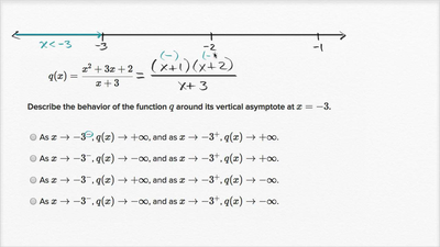
Discontinuities of rational functions

Learn about the ways in which rational functions behave when their denominator is equal to zero. This gets interesting when vertical asymptotes are involved! Learn how to determine this behavior for any kind of rational function.