Khan Academy (English - US curriculum)
Math by grade
Eureka Math/EngageNY
Algebra 1 (Eureka Math/EngageNY)
Module 4: Polynomial and quadratic expressions, equations, and functions
Topic A: Lessons 1-2: Factoring binomials intro
Topic A: Lessons 1-2: Factoring binomials intro
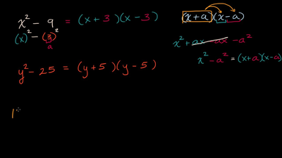
Difference of squares intro
Difference of squares intro
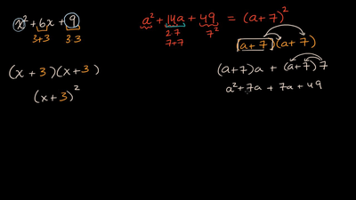
Perfect square factorization intro
Perfect squares intro
Factoring quadratics as (x+a)(x+b)
Factoring quadratics as (x+a)(x+b) (example 2)
More examples of factoring quadratics as (x+a)(x+b)
Warmup: factoring quadratics intro
Factoring quadratics intro