Khan Academy (English - US curriculum)
Math by grade
Eureka Math/EngageNY
Algebra 1 (Eureka Math/EngageNY)
Module 1: Relationships between quantities and reasoning with equations and their graphs
Topic B: Lesson 8: Adding and subtracting polynomials with 2 variables
Topic B: Lesson 8: Adding and subtracting polynomials with 2 variables
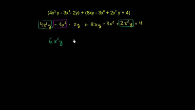
Adding polynomials: two variables (intro)
Subtracting polynomials: two variables (intro)
Add & subtract polynomials: two variables (intro)
Subtracting polynomials: two variables
Add & subtract polynomials: two variables
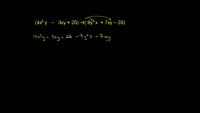
Finding an error in polynomial subtraction
Add & subtract polynomials: find the error