Khan Academy (English - US curriculum)
Math
AP®︎ Calculus BC
Differentiation: composite, implicit, and inverse functions
Differentiating inverse trigonometric functions
Differentiating inverse trigonometric functions
Derivative of inverse sine
Derivative of inverse cosine
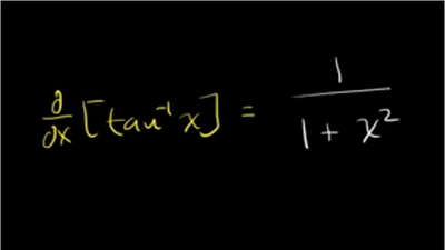
Derivative of inverse tangent
Derivatives of inverse trigonometric functions