Khan Academy (English - US curriculum)
Math by grade
Eureka Math/EngageNY
Algebra 1 (Eureka Math/EngageNY)
Module 4: Polynomial and quadratic expressions, equations, and functions
Topic B: Lessons 11-13: Completing the square
Topic B: Lessons 11-13: Completing the square
Completing the square
Worked example: Completing the square (intro)
Completing the square (intro)
Worked example: Rewriting expressions by completing the square
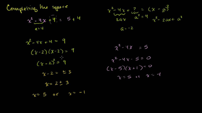
Worked example: Rewriting & solving equations by completing the square
Completing the square (intermediate)
Worked example: completing the square (leading coefficient ≠ 1)
Completing the square
Solving quadratics by completing the square: no solution