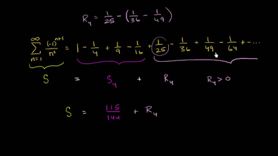
Alternating series error bound