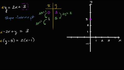
Intro to slope-intercept form

Make an introduction with the most common form of linear equations, slope-intercept form! For example, y=3x+5 is a linear equation in slope-intercept form.