Khan Academy (English - US curriculum)
Math
Precalculus
Rational functions
Reducing rational expressions to lowest terms
Reducing rational expressions to lowest terms
Reducing rational expressions to lowest terms
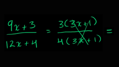
Reduce rational expressions to lowest terms: Error analysis
Reduce rational expressions to lowest terms